ГОСТ Р 58653-2019 ДОРОГИ АВТОМОБИЛЬНЫЕ ОБЩЕГО ПОЛЬЗОВАНИЯ. ПЕРЕСЕЧЕНИЯ И ПРИМЫКАНИЯ. ТЕХНИЧЕСКИЕ ТРЕБОВАНИЯ
Automobile roads of general use. Intersections and junctions. Technical requirements
ОКС 93.080.01
Дата введения - 1 марта 2020 г.
Введен впервые
Предисловие
1 Разработан Обществом с ограниченной ответственностью "ТрансИнжПроект" (ООО "ТрансИнжПроект")
2 Внесен Техническим комитетом по стандартизации ТК 418 "Дорожное хозяйство"
3 Утвержден и введен в действие Приказом Федерального агентства по техническому регулированию и метрологии от 13 ноября 2019 г. N 1120-ст
4 Введен впервые
Настоящий стандарт устанавливает требования к геометрическим элементам регулируемых и нерегулируемых пересечений и примыканий автомобильных дорог общего пользования в одном уровне и предназначен для использования при подготовке проектной документации строительства новых и реконструкции существующих автомобильных дорог общего пользования (далее - автомобильные дороги), расположенных вне пределов населенного пункта, а также при подготовке проектной документации капитального ремонта, за исключением случаев, когда выполнение требований настоящего стандарта приводит к необходимости изменения границ полосы отвода автомобильной дороги.
Настоящий стандарт не распространяется на кольцевые саморегулируемые пересечения.
В настоящем стандарте использованы нормативные ссылки на следующие документы:
ГОСТ 32944 Дороги автомобильные общего пользования. Пешеходные переходы. Классификация. Общие требования
ГОСТ 33062 Дороги автомобильные общего пользования. Требования к размещению объектов дорожного и придорожного сервиса
ГОСТ 33150 Дороги автомобильные общего пользования. Проектирование пешеходных и велосипедных дорожек. Общие требования
ГОСТ 33151 Дороги автомобильные общего пользования. Элементы обустройства. Технические требования. Правила применения
ГОСТ 33176 Дороги автомобильные общего пользования. Горизонтальная освещенность от искусственного освещения. Технические требования
ГОСТ 33475 Дороги автомобильные общего пользования. Геометрические элементы. Технические требования
ГОСТ Р 52282 Технические средства организации дорожного движения. Светофоры дорожные. Типы и основные параметры. Общие технические требования. Методы испытаний
ГОСТ Р 52289 Технические средства организации дорожного движения. Правила применения дорожных знаков, разметки, светофоров, дорожных ограждений и направляющих устройств
ГОСТ Р 52290 Технические средства организации дорожного движения. Знаки дорожные. Общие технические требования
ГОСТ Р 52398 Классификация автомобильных дорог. Основные параметры и требования
ГОСТ Р 52766 Дороги автомобильные общего пользования. Элементы обустройства. Общие требования
ГОСТ Р 54305 Дороги автомобильные общего пользования. Горизонтальная освещенность от искусственного освещения. Технические требования
СП 34.13330 "СНиП 2.05.02-85 * Автомобильные дороги"
СП 227.1326000 Пересечения железнодорожных линий с линиями транспорта и инженерными сетями
Примечание - При пользовании настоящим стандартом целесообразно проверить действие ссылочных стандартов (сводов правил) в информационной системе общего пользования - на официальном сайте Федерального агентства по техническому регулированию и метрологии в сети Интернет или по ежегодному информационному указателю "Национальные стандарты", который опубликован по состоянию на 1 января текущего года, и по выпускам ежемесячного информационного указателя "Национальные стандарты" за текущий год. Если заменен ссылочный документ, на который дана недатированная ссылка, то рекомендуется использовать действующую версию этого документа с учетом всех внесенных в данную версию изменений. Если заменен ссылочный документ, на который дана датированная ссылка, то рекомендуется использовать версию этого документа с указанным выше годом утверждения (принятия). Если после утверждения настоящего стандарта в ссылочный документ, на который дана датированная ссылка, внесено изменение, затрагивающее положение, на которое дана ссылка, то это положение рекомендуется применять без учета данного изменения. Если ссылочный документ отменен без замены, то положение, в котором дана ссылка на него, рекомендуется применять в части, не затрагивающей эту ссылку.
В настоящем стандарте применены следующие термины с соответствующими определениями:
3.1 время реакции водителя: Время между обнаружением водителем препятствия или опасности и началом срабатывания тормозной системы.
3.2
|
второстепенная дорога: Пересекаемая улица или дорога более низкой категории или функционального класса с меньшей интенсивностью движения. [ПНСТ 270-2018, пункт 3.1] |
3.3 длина очереди: Количество автомобилей, ожидающих возможность проехать пересечение.
3.4 канализированное пересечение: Пересечение или примыкание в одном уровне с выделенными с помощью разделительных островков полосами для различных направлений движения транспортных потоков.
3.5 конфликт: Ситуации, возникающие между различными потоками движения автомобилей, от помех движению до опасности столкновения.
3.6 конфликтная точка: Место, где в одном уровне пересекаются траектории движения автомобилей или автомобилей и пешеходов, велосипедистов, а также места слияния и разделения транспортных потоков.
3.7 нерегулируемое пересечение: Пересечение, очередность движения по которому определяется без использования светофорного регулирования, кроме кольцевых пересечений.
3.8
|
пересечение в одном уровне: Вид пересечения автомобильных дорог, в котором встречающиеся дороги и все специальные устройства для перевода с одной дороги на другую расположены в одном уровне. [ГОСТ 33100-2014, пункт 3.25] |
3.9 полоса разгона: Переходно-скоростная полоса, служащая для облегчения автомобилям вхождения в основной поток после пересечения или примыкания с выравниванием скорости движения с автомобилями основного потока.
3.10 полоса торможения: Переходно-скоростная полоса, служащая для снижения скорости перед пересечением или примыканием выходящими из основного потока автомобилям без помех основному движению.
3.11 примыкание в одном уровне: Пересечение в одном уровне, имеющее три подхода к пересечению, где к одной дороге присоединяется в одном уровне другая дорога, не имеющая прямого продолжения и прерывающаяся в месте соединения.
3.12 расстояние видимости для остановки: Наименьшее расстояние до препятствия, необходимое для остановки автомобиля перед препятствием, для которого должна быть обеспечена соответствующая видимость.
3.13 расчетный автомобиль: Автомобиль, масса, размеры, динамические и другие характеристики которого используют при проектировании дороги.
3.14 регулируемое пересечение: Пересечение, очередность движения на котором определяется сигналами светофоров.
3.15 съезд: Элемент пересечения или примыкания дорог, предназначенный для соединения проезжих частей пересекающихся дорог и перевода движения с одной дороги на другую.
3.16 ускорение замедления: Величина уменьшения скорости автомобиля.
3.17 частично канализированное пересечение: Пересечение или примыкание в одном уровне с выделенными с помощью разделительных островков полосами для части из осуществляемых направлений движения транспортных потоков.
3.18 экипажное время: Интервал времени между прибывающими к перекрестку автомобилями, при превышении которого происходит переключение сигнала светофора с разрешающего на запрещающий при адаптивном светофорном регулировании.
4.1.1 При проектировании пересечения или примыкания следует обеспечить:
- расстояния и условия видимости, соответствующие расчетной, но не менее разрешенной, скорости движения на участке дороги, где расположено пересечение;
- учет потребностей всех групп пользователей (пешеходы, в том числе маломобильные, велосипедисты, транзитное и грузовое движения и т.п.);
- необходимую для пропуска существующих и перспективных транспортных потоков пропускную способность пересечения;
- возможность принятия однозначных решений на пересечении, в том числе выделение основного направления движения;
- минимизацию площади пересечения и времени, требуемого для освобождения автомобилями участка конфликта пересечения или примыкания;
- стандартизацию решений на пересечениях в одном уровне на автомобильной дороге.
4.1.2 Обустройство пересечений и примыканий следует выполнять в соответствии с ГОСТ 33151, ГОСТ Р 52289, ГОСТ Р 52290.
4.2.1 Пересечения и примыкания могут быть следующих видов:
- примыкание в одном уровне с тремя подходами [рисунки 3а), 3б)];
- пересечение в одном уровне с четырьмя подходами (рисунок 3в);
- смещенные пересечения в одном уровне (согласно 6.2.4, рисунок 4);
- пересечение в одном уровне с отнесенными на разворот левыми поворотами (согласно 6.6, рисунки 15-19);
- кольцевое пересечение (следует проектировать в соответствии с требованиями к кольцевым пересечениям).
4.2.2 Пересечения и примыкания в одном уровне могут быть канализированными, частично канализированными и неканализированными.
4.2.3 Пересечения в одном уровне с более чем четырьмя подходами следует упрощать за счет:
- отмены части подходов и примыкания их в других местах;
- отмены поворотных движений и использования односторонних режимов движения на подходах;
- разделения пересечений.
4.2.4 На пересечениях в одном уровне применяют следующие виды управления движением автомобилей:
- без установки знаков приоритета на пересечениях равнозначных дорог;
- с установкой знаков приоритета на пересечениях равнозначных дорог;
- светофорное регулирование.
4.3.1 Тип пересечения или примыкания выбирают исходя из класса и категории пересекающихся дорог, а также интенсивности движения по пересекающимся дорогам. При назначении типа пересечения или примыкания следует рассмотреть возможность применения кольцевого пересечения. На магистральных автомобильных дорогах категории II и основных распределительных автомобильных дорогах категории IB устройство кольцевых пересечений за пределами населенных пунктов не рекомендуется.
4.3.2 Область применения пересечений и примыканий представлена в таблице 1. Не следует устраивать пересечения и примыкания в одном уровне в случаях, соответствующих области применения пересечений и примыканий в разных уровнях (транспортных развязок) согласно СП 34.13330. На автомобильных дорогах категории IA допускаются примыкания в одном уровне только при размещении объектов дорожного и придорожного сервиса согласно ГОСТ 33062.
|
Тип пересечения или примыканий и способ регулирования |
Категория главной автомобильной дороги с числом полос движения, шт. | ||||||
|
IБ |
IB |
II |
III |
IV 3) |
V 4) | ||
|
4 и более |
4 |
4 |
2 |
2 |
2 |
1 | |
|
С отнесенным на разворот левым поворотом, светофорное регулирование |
- |
(+) |
(+) |
(+) |
- |
- |
- |
|
С отнесенным на разворот левым поворотом, без светофорного регулирования |
(+) 1) |
+ |
+ |
(+) |
- |
- |
- |
|
Канализированное, частично канализированное, светофорное регулирование |
- |
(+) |
(+) |
(+) |
(+) |
(+) |
- |
|
Канализированное, без светофорного регулирования |
(+) 2) |
(+) 2) |
(+) 2) |
+ |
+ |
+ |
- |
|
Частично канализированное, без светофорного регулирования |
- |
- |
- |
+ |
+ |
+ |
- |
|
Неканализированное, без светофорного регулирования или со светофорным регулированием |
(+) 1) |
(+) 1) |
(+) 1) |
(+) |
(+) |
+ |
+ |
|
1) Допускается только при примыкании автомобильных дорог категорий IV и V, без пересечения главного направления движения, при интенсивности движения въезжающих и выезжающих автомобилей на дорогах категории I не более 50 автомобилей в сутки; на дорогах категории II не более 200 приведенных автомобилей в сутки, на дорогах категории III не более 200 приведенных автомобилей в сутки. 2) Допускается только при примыкании автомобильных дорог, без пересечения главного направления движения, если по СП 34.13330 не установлено требование устройства примыкания в разных уровнях. 3) В том числе автомобильные дороги с низкой интенсивностью движения категорий IVA-p, IVБ-p, IVA-п, IVБ-п. 4) В том числе автомобильные дороги с низкой интенсивностью движения категорий VA, VБ. Примечание - В настоящей таблице применены следующие обозначения: "+" - рекомендуемая область применения; "(+)" - нерекомендуемая область применения, допускается при капитальном ремонте, а также в случае невозможности или отрицательных показателей экономической эффективности применения рекомендуемых типов пересечений или кольцевых пересечений, необходимости применения светофорного регулирования с увеличением задержек на пересечении для обеспечения безопасности движения при невозможности обеспечить безопасность другими методами; "-" - не допускается. | |||||||
Типы пересечений и примыканий и рекомендуемые условия их применения приведены в приложении А.
4.3.3 При проектировании строительства пересечений и примыканий рекомендуется устраивать пересечения и примыкания без светофорного регулирования.
4.4.1 Требования к размерам автомобилей принимают в соответствии с требованиями [1].
4.4.2 Габариты автомобилей, которые допускается использовать как расчетные при проектировании пересечений и примыканий, приведены в таблице 2.
4.4.3 Максимальная ширина расчетного автомобиля согласно [1] не должна превышать 2,6 м. Для легкового автомобиля допускается принимать габаритную ширину 1,9 м.
4.4.4 Расчетный автомобиль следует принимать на основе анализа состава транспортного потока. Как правило, за расчетный автомобиль допускается принимать автопоезд (А20).
|
Тип расчетного автомобиля |
Обозначение |
База/расстояния между осями, м |
Размеры, м | |||
|
общие |
свес | |||||
|
длина |
ширина |
передний |
задний | |||
|
Легковой автомобиль (Л) |
М1 |
2,90 |
4,90 |
1,90 |
0,90 |
1,10 |
|
Грузовой автомобиль (Г) |
N3 |
5,70/1,40 |
12,0 |
2,50 |
1,50 |
3,70 |
|
Автобус (А) |
М3 |
6,20 |
12,0 |
2,50 |
2,75 |
3,05 |
|
Сочлененный автобус (Ас) |
М3 * |
5,96/6,05 |
18,4 |
2,55 |
2,68 |
- |
|
Автопоезд (А20) |
N3+О4 |
5,70/1,40/6,20/4,30 |
19,8 |
2,50 |
1,50 |
0,70 |
|
* Обозначение для сочлененного автобуса. | ||||||
4.5.1 Количество пересечений и примыканий на дорогах категорий I-IV должно быть минимальным. Примыкания на дорогах категорий IБ, пересечения и примыкания на дорогах категорий IB и II вне пределов населенных пунктов допускается предусматривать не чаще чем через 5 км. На дорогах категории III пересечения и примыкания допускается предусматривать не чаще чем через 2 км с учетом конкретных условий (застройка, начертание существующей сети дорог и т.д.), но, как правило, не чаще чем через 600 м.
4.5.2 Пересечения и примыкания на дорогах вне пределов населенных пунктов для дорог категории IV следует предусматривать не чаще чем через 100 м, категории V - не чаще чем через 50 м друг от друга. На дорогах категорий IV и V следует обеспечивать расстояние между пересечениями и примыканиями, достаточное для размещения очереди автомобилей перед пересечением таким образом, чтобы такая очередь не препятствовала движению по другому пересечению. Для расчета расстояния между пересечениями следует принимать длину очереди автомобилей, которая может быть превышена не более чем в 5 % случаев.
4.5.3 Расстояние между объектами дорожного и придорожного сервиса, примыкающими к автомобильной дороге, следует принимать по ГОСТ 33062, за исключением дорог с низкой интенсивностью движения. На главной автомобильной дороге расстояние от подъезда, съезда, примыкания к объекту дорожного и придорожного сервиса до ближайшего примыкания другой автомобильной дороги или иного объекта дорожного и придорожного сервиса согласно ГОСТ Р 52398 должно составлять не менее:
- 3 км - на автомобильных дорогах категории IБ;
- 600 м - на автомобильных дорогах категорий IB, II и III;
- 100 м - на автомобильных дорогах категории IV;
- 50 м - на автомобильных дорогах категории V.
Указанное расстояние измеряют между концами отгонов полос разгона и торможения при наличии таких полос и между окончаниями сопряжения проезжих частей в случае отсутствия таких полос.
5.1.1 Пересечения и примыкания дорог следует проектировать на участках с обеспеченной видимостью на главной и второстепенной дорогах. В случае невозможности обеспечить требуемое расстояние видимости при капитальном ремонте автомобильной дороги, пересечения или примыкания следует ограничивать скорость движения автомобилей до значения, при котором расстояние видимости соответствует разрешенной скорости движения, увеличенной на 10 км/ч.
5.1.2 На пересечении или примыкании должны быть обеспечены:
- минимальное расстояние видимости поверхности дороги для остановки до пересечения или примыкания на главной и второстепенной дорогах;
- треугольник видимости при выезде на главную дорогу или ее пересечении;
- минимальное расстояние видимости на пешеходных переходах и велосипедных дорожках и полосах (при их наличии).
5.1.3 Если невозможно обеспечить видимость согласно 5.3, на второстепенном направлении нерегулируемого пересечения или примыкания следует применять знак 2.5 "Движение без остановки запрещено". При расположении пересечения на выпуклой кривой продольного профиля второстепенной дороги в этом случае допускается обеспечить видимость на подходе к пересечению только направляющего островка. Направляющий островок, как правило, следует устраивать приподнятым с бортовым камнем.
5.1.4 В случае расположения пересечения или примыкания на кривой в плане на главной дороге с устройством виража при применении знака 2.5 "Движение без остановки запрещено" на подходе к пересечению или примыканию на второстепенной дороге допускается обеспечивать видимость только направляющего островка на расстоянии, достаточном для остановки автомобиля.
5.1.5 Оценку обеспечения видимости следует проводить, учитывая параметры плана и продольного профиля.
5.1.6 На пересечениях и примыканиях, регулируемых с помощью светофоров, следует обеспечивать видимость сигналов светофоров, а при наличии конфликтного левого поворота (на просачивание через встречный транспортный поток) - такие же условия видимости, как на нерегулируемых пересечениях. В случае невозможности обеспечить на регулируемом пересечении или примыкании условия видимости, установленные для нерегулируемых пересечений, отключение светофора в периоды низкой интенсивности движения не допускается.
5.1.7 При определении видимости следует исходить из высоты расположения глаз водителя над поверхностью дорожного покрытия, равной 1,0 м для легкового автомобиля.
5.1.8 В треугольнике видимости должно быть обеспечено пространство для обзора от поверхности дороги и до высоты 2,5 м от поверхности дороги, свободное от постоянных препятствий в виде стоящих автомобилей, высокой растительности, иных объектов, кроме технических средств организации дорожного движения, опор освещения и аналогичных.
5.1.9 При проверке видимости в треугольнике видимости на пешеходном переходе высота препятствия должна составлять 0,6 м, на пересечении транспортных потоков - 1,0 м.
5.1.10 Водитель, двигающийся по главной дороге, должен иметь возможность увидеть автомобиль, ожидающий возможности выезда на главную дорогу и остановившийся на второстепенной дороге на расстоянии 3,0 м от ее кромки.
5.1.11 При наличии велосипедных дорожек на главной дороге расстояние от остановившегося автомобиля до кромки проезжей части главной дороги должно быть увеличено с 3,0 до 5,0 м, чтобы автомобиль не занимал велосипедную дорожку.
5.2.1 Пересечение или примыкание в одном уровне должно быть видно водителю приближающегося к пересечению автомобиля с расстояния, позволяющего обеспечить безопасное торможение и остановку перед пересечением или примыканием.
5.2.2 Водитель автомобиля, приближающегося к пересечению или примыканию, должен видеть:
- транспортные средства, приближающиеся с других подходов, с расстояния, позволяющего ему принять решение о выполнении маневра и выполнить этот маневр в безопасном режиме;
- разметку проезжей части на пересечении или примыкании, за исключением случая, указанного в 5.1.8.
Для этого следует обеспечивать видимость пересекаемой дороги в пределах треугольника видимости, определяемого согласно 5.3 и 5.4.
5.2.3 Минимальное расстояние видимости для остановки должно обеспечивать видимость разметки на проезжей части (высота препятствия 0 м и более), находящихся на середине полосы движения, с высоты глаз водителя автомобиля 1,0 м от поверхности проезжей части, за исключением дорог с низкой интенсивностью движения.
5.2.4 Минимальное расстояние видимости для остановки Sост вычисляют по формуле
,
(1)
где Vpacч - расчетная скорость движения в начале торможения, км/ч;
а - ускорение замедления при торможении, принимаемое равным 3,4 м/с2;
tp - расчетное время реакции водителя, равное 2,5 с;
i - продольный уклон, в виде десятичной дроби;
g - ускорение свободного падения, равное 9,81 м/с2.
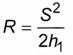
5.2.5 Следует избегать расположения пересечений и примыканий на вертикальных выпуклых кривых. Минимальный радиус вертикальной выпуклой кривой R, м, на которой допускается размещение пересечения или примыкания, вычисляют по формуле
,
(2)
где S - расстояние видимости из условий полной остановки, м;
h1 - высота глаз водителя над уровнем проезжей части - 1,0 м.
5.2.6 Минимальное расстояние видимости, необходимое для остановки, и минимальный радиус вертикальной выпуклой кривой должны быть не менее установленных СП 34.13330 и ГОСТ 33475, за исключением дорог с низкой интенсивностью движения.
5.2.7 Значения минимальных радиусов выпуклых вертикальных кривых, на которых допускается размещение пересечения или примыкания, допускается принимать по таблице 3. Как правило, радиус вертикальной выпуклой кривой должен быть не менее рекомендуемого минимального радиуса. Применение минимального радиуса допускается на основе технико-экономического обоснования.
|
Расчетная скорость, км/ч |
Минимальный радиус выпуклой вертикальной кривой, м |
Рекомендуемый минимальный радиус выпуклой вертикальной кривой, м |
|
30 |
600 |
2500 |
|
40 |
1060 |
4500 |
|
50 |
1990 |
7000 |
|
60 |
3440 |
10 000 |
|
70 |
5500 |
13 600 |
|
80 |
8300 |
18 000 |
|
90 |
12 000 |
22 500 |
|
100 |
17 000 |
28 000 |
|
120 |
30 500 |
40 000 |
|
Примечание - Применение минимального радиуса вертикальной выпуклой кривой допускается в стесненных условиях и в горной местности. | ||
5.3.1 Если допускается проезд пересечения с второстепенной автомобильной дороги без остановки, необходимо обеспечивать зону, в которой обеспечена видимость, в виде треугольника (см. рисунок 1).
5.3.2 Взаимная видимость для водителей на главной и второстепенной дорогах должна быть обеспечена в пределах треугольника, образуемого сторонами, равными:
- на второстепенной дороге - минимальному расстоянию видимости для остановки автомобиля Sb движущегося с расчетной скоростью Vpacч второстепенной дороги на пересечении и со скоростью, обеспечиваемой радиусом закругления при выезде на главную дорогу, но не менее 30 м, на примыкании;
- на главной дороге - расстоянию, которое автомобиль на главной дороге проедет с постоянной расчетной скоростью главной дороги за время, необходимое автомобилю на второстепенной дороге для проезда с постоянной расчетной скоростью минимального расстояния видимости на второстепенной дороге Sb, вычисляемого по формуле (1) на пересечении, и расстоянию видимости для остановки согласно 5.2 на примыкании.

Sa - расстояние видимости вдоль главной дороги; Sb - расстояние видимости вдоль второстепенной дороги
Рисунок 1 - Схема расчета минимального треугольника видимости на нерегулируемых пересечениях и примыканиях
5.4.1 На пересечениях с обязательной остановкой на второстепенной дороге водитель автомобиля, остановившегося на второстепенной дороге, должен иметь возможность видеть проезжую часть главной дороги на расстоянии, необходимом для остановки автомобилю, приближающемуся по главной дороге. Расстояние от кромки проезжей части до глаз водителя на второстепенной дороге в этом случае следует принимать равным 4,5 м.
5.4.2 При наличии велосипедных дорожек на главной дороге, расстояние от глаз водителя автомобиля на второстепенной дороге до кромки проезжей части главной дороги должно быть увеличено на ширину велосипедной дорожки.
5.4.3 Видимость должна быть обеспечена внутри треугольника видимости (рисунок 2), сторонами которого являются;
- вдоль второстепенной дороги - расстояние от положения глаз водителя до ближней оси движения автомобиля по главной дороге при правом повороте, и до оси ближайшей полосы движения (без учета полосы торможения для правого поворота), приближающегося слева автомобиля - при левом повороте;

а)

б)
Рисунок 2 - Схема определения минимального расстояния видимости для остановки Sn на нерегулируемом пересечении с обязательной остановкой
- вдоль главной дороги - расстояние, которое необходимо автомобилю, двигающемуся по главной дороге, для остановки согласно 5.2.
5.5.1 При наличии пешеходного перехода или пересечения с велосипедной дорожкой на пересечении или примыкании следует обеспечивать видимость пешеходов и велосипедистов для водителя автомобиля и приближающегося автомобиля - для пешеходов и велосипедистов.
5.5.2 Минимальное расстояние видимости перед пешеходным переходом Sпеш, м, вычисляют исходя из времени, необходимого пешеходу для пересечения проезжей части, по формуле
,
(3)
где Lпер - длина пешеходного перехода, м;
Vрасч - расчетная скорость движения автомобиля, км/ч;
Vпеш - скорость пешехода, 1,1 м/с.
5.5.3 На пешеходных переходах и пересечениях с велосипедными дорожками для водителей должен быть обеспечен треугольник видимости, рассчитываемый из условия видимости ожидающего момента пересечения дороги велосипедиста. Сторона треугольника видимости вдоль велосипедной дорожки должна составлять не менее 4 м.
5.5.4 Минимальное расстояние боковой видимости в зоне пешеходного перехода следует обеспечивать согласно ГОСТ 33150.
5.5.5 При выезде на дорогу с прилегающей территории при наличии пешеходной дорожки или тротуара должна быть обеспечена видимость двигающихся по пешеходной дорожке или тротуару пешеходов. При расстоянии от переднего бампера автомобиля до пешеходной дорожки или тротуара не менее 5,0 м боковая видимость вдоль тротуара или пешеходной дорожки должна составлять не менее 2,0 м.
6.1.1 Форма пересечения или примыкания должна быть выбрана таким образом, чтобы главная дорога на пересечении или примыкании имела естественное продолжение.
6.1.2 Главная дорога определяется на основании категории пересекающихся дорог, а если пересекающиеся дороги одной категории - на основании интенсивности движения.
6.1.3 Если форма пересечения или примыкания не предусматривает визуальное выделение главной дороги, необходимо исправить формы пересечения или примыкания в соответствии с решениями, показанными в приложении Б.
6.1.4 Пересечение или примыкание следует устраивать под углом от 60° до 100°, отмеряя его от направления главной дороги к второстепенной против часовой стрелки. Рекомендуемым является угол, близкий к значению 90°.
6.1.5 При необходимости устройства пересечения или примыкания двух дорог, оси которых пересекаются под углом менее 60° и более 100°, измеренным согласно 6.1.4, следует, как правило, устраивать смещенное пересечение.
6.1.6 Не допускается располагать пересечения и примыкания с внутренней стороны на кривых в плане радиусами менее 2000 м - на дорогах категорий I и II и с радиусами, как правило, менее 800 м - на дорогах категорий III, IV и V. Примыкания второстепенной дороги с внешней стороны кривой в плане допускается размещать, как правило, при радиусе круговой кривой не менее 600 м. Допускается уменьшать радиусы кривых в плане, на которых располагаются примыкания второстепенных дорог, при условии обеспечения видимости и на дорогах с низкой интенсивностью движения.
6.2.1.1 Ширина полос движения для прямого движения должна соответствовать ширине полос на участке дороги на подходах к пересечению. Ширину полос для поворота на участках торможения, накопления очереди автомобилей и разгона, параллельных полосам прямого движения, определяют согласно требованиям ГОСТ 33475 и СП 34.13330 к ширине переходно-скоростных полос.
6.2.1.2 При наличии на подходе к пересечению обеих полос - для правого и левого поворотов - как правило, следует разносить точки начала отгона полос для правого и левого поворотов.
6.2.1.3 Длина полос для правого и левого поворотов должна позволять:
- движение по таким полосам при наличии очереди на смежной полосе прямого движения;
- размещение очереди (при наличии), длину которой не превышают в 95 % случаев, на полосе для поворота без создания помех для прямого движения.
6.2.1.4 Дороги категории V на протяжении не менее 20 м от кромки пересекаемой дороги должны иметь две полосы движения, за исключением примыкания к дорогам с низкой интенсивностью движения.
6.2.1.5 При реконструкции и капитальном ремонте автомобильной дороги при невозможности размещения одновременно двух переходно-скоростных полос для правого и левого поворотов следует предусматривать в первую очередь полосу для левого поворота. При невозможности при капитальном ремонте устройства переходно-скоростных полос нормальной длины для правых поворотов допускаются переходно-скоростные полосы неполной длины или только отгоны полос. При капитальном ремонте при недостаточной площади полосы отвода полосы разгона допускается не устраивать.
6.2.2.1 На второстепенном направлении нерегулируемого пересечения или примыкания допускается устраивать только одну полосу для прямого движения (при наличии) и левого поворота. Устраивать полосу для поворота налево дополнительно к полосе прямого движения не допускается.
6.2.2.2 Дополнительную полосу для поворота направо на второстепенном направлении допускается устраивать, если возможно следующее:
- разнести места остановки на полосах движения достаточно далеко для обеспечения видимости за счет канализирования правого поворота [рисунок 3а)];
- устроить переходно-скоростную полосу разгона для поворота направо [рисунки 3б) и 3в)].
|
|
|
|
а) Полоса поворота для поворота направо на второстепенном направлении примыкания без полосы разгона |
б) Полоса поворота для поворота направо на второстепенном направлении примыкания с полосой разгона |
Рисунок 3, лист 1 - Организация дополнительной полосы для поворота направо на второстепенном направлении

в) Полоса поворота для поворота направо на второстепенном направлении пересечения с полосой разгона
Рисунок 3, лист 2
6.2.3.1 На регулируемом пересечении или примыкании число полос для прямого движения может быть больше, чем на перегоне дороги. Допускается организация необходимого числа полос для поворота налево и направо, а также при капитальном ремонте и реконструкции увеличивать число полос для прямого движения на одну полосу, если средняя интенсивность движения по полосе превышает 450 приведенных автомобилей в час. Если число полос для поворота налево или направо две и более, следует устраивать направляющие островки.
6.2.3.2 Дополнительные полосы для поворота на регулируемом пересечении или примыкании следует устраивать при интенсивности движения поворачивающих налево или направо более 100 приведенных автомобилей в час по каждому направлению.
6.2.4.1 Смещенные пересечения в одном уровне подразделяют на две основные группы (см. рисунок 4):
- левое смещенное пересечение в одном уровне;
- правое смещенное пересечение в одном уровне.
Смещенные пересечения могут иметь последовательное [рисунки 4б), 4в)] и параллельное расположение полос для поворота налево [рисунки 4г), 4д)].

а) Левое смещенное пересечение
Рисунок 4, лист 1 - Смещенные пересечения в одном уровне

б) Правое смещенное пересечение при отсутствии центральной разделительной полосы с последовательным расположением левоповоротных полос

в) Правое смещенное пересечение при наличии центральной разделительной полосы с последовательным расположением левоповоротных полос

г) Правое смещенное пересечение при отсутствии центральной разделительной полосы с параллельным расположением левоповоротных полос

д) Правое смещенное пересечение при наличии центральной разделительной полосы с параллельным расположением левоповоротных полос
Рисунок 4, лист 2
6.2.4.2 На смещенных пересечениях следует предусматривать искусственное освещение.
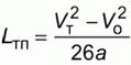
6.2.5.1 Длину участка торможения вычисляют по формулам:
- полосы для поворота направо главного направления движения нерегулируемого пересечения Lтп
,
(4)
где Vт - скорость автомобиля в момент начала торможения, принимается равной разрешенной скорости на автомобильной дороге V, км/ч;
Vо - скорость автомобиля в момент окончания торможения, принимается равной расчетной скорости поворота, км/ч;
а - расчетное ускорение замедления, м/с2;
- полосы для поворота налево главной дороги, полос для поворота направо и налево второстепенной дороги и регулируемого пересечения или примыкания со всех направлений Lтл
.
(5)
6.2.5.2 Ускорения замедления на полосах для поворота следует принимать равными 2,4 м/с2, если иное не установлено настоящим стандартом.
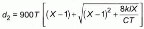
6.2.5.3 Расчетную скорость движения при выполнении маневра поворот Vpacч, км/ч, допускается вычислять по формуле
,
(6)
где R - радиус круговой кривой внутреннего края проезжей части полосы для поворота направо, м;
i - значение поперечного уклона проезжей части на участке кривой, в виде десятичной дроби;
f - коэффициент поперечного сцепления колес автомобиля с проезжей частью (в долях единицы, допускается принимать по таблице 9).
6.2.5.4 Длину участка торможения допускается принимать по таблице 4.
|
Разрешенная скорость движения на главной дороге, км/ч |
Длина участка торможения, м, при расчетной скорости на участке кривой поворота, км/ч | ||||||
|
0 |
20 |
30 |
40 |
50 |
60 |
70 | |
|
при разрешенной скорости на участке кривой поворота, км/ч | |||||||
|
0 |
10 |
20 |
30 |
40 |
50 |
60 | |
|
60 |
58 |
51 |
43 |
32 |
18 |
- |
- |
|
70 |
79 |
72 |
64 |
53 |
38 |
21 |
- |
|
80 |
103 |
96 |
88 |
77 |
63 |
45 |
24 |
|
90 |
130 |
123 |
115 |
104 |
90 |
72 |
51 |
6.2.5.5 На участках спуска или подъема требуется изменение длины участка торможения в соответствии с таблицей 5.
|
Уклон |
Коэффициент поправки к значениям длин | |
|
Подъем |
Спуск | |
|
25-40 ‰ |
0,9 |
1,2 |
|
50-60 ‰ |
0,8 |
1,35 |
6.2.6.1 Длину участка накопления определяют длиной очереди, рассчитываемой на основании перспективной интенсивности и состава движения. Длина участка накопления должна быть не менее длины очереди, не превышаемой в 95 % случаев, а при отсутствии очередей - не менее 20 м.
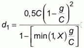
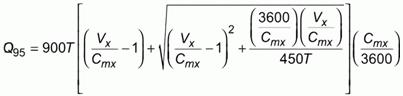
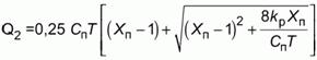
6.2.6.2 Длину очереди допускается рассчитывать по методике, приведенной в приложении В.
6.2.7.1 Для расчета длины участка ускорения принимают следующее:
- начало ускорения проводят в точке выхода автомобиля из кривой правого поворота со скоростью потока правого поворота, на 10 км/ч менее расчетной, которая может быть определена согласно 6.2.5.3;
- значение ускорения в зависимости от скорости автомобиля - 1,3 м/с2 - для скорости до 50 км/ч, 1,0 м/с2 - для скорости от 50 до 90 км/ч;
- вливание автомобиля в основной поток осуществляют на скорости на 10 км/ч менее разрешенной скорости (ограничения скорости) основной дороги.
6.2.7.2 Допускается принимать минимальную длину участков разгона и маневрирования по таблице 6.
|
Разрешенная скорость движения на главной дороге, км/ч |
Скорость автомобиля в момент начала вливания в поток, км/ч |
Длина участка разгона, м, при расчетной скорости на участке кривой поворота, км/ч |
Длина участка маневрирования (время совершения перестроения 3,0 с), м |
Отгон параллельной полосы разгона | |||||
|
20 |
30 |
40 |
50 |
60 |
70 | ||||
|
при разрешенной скорости на участке кривой поворота, км/ч | |||||||||
|
10 |
20 |
30 |
40 |
50 |
60 | ||||
|
60 |
50 |
71 |
62 |
47 |
27 |
- |
- |
42 |
1:20 |
|
70 |
60 |
104 |
95 |
80 |
59 |
42 |
- |
50 |
1:20 |
|
80 |
70 |
142 |
133 |
118 |
98 |
92 |
50 |
58 |
1:20 |
|
90 |
80 |
186 |
178 |
163 |
142 |
150 |
108 |
67 |
1:30 |
6.2.7.3 При значении продольного уклона участка более 25 ‰ длину участка разгона следует откорректировать согласно таблице 7.
|
Расчетная скорость движения по дороге, км/ч |
Коэффициент поправки при расчетной скорости кривой поворота, км/ч | |||
|
20-30 |
40-50 |
60-70 |
Любая скорость | |
|
Подъем |
Спуск | |||
|
Уклон 25-40 ‰ | ||||
|
80-90 |
1,3 |
1,4 |
1,4 |
0,65 |
|
100-110 |
1,4 |
1,5 |
1,5 |
0,60 |
|
Уклон 50-60 ‰ | ||||
|
80-90 |
1,5 |
1,7 |
1,9 |
0,55 |
|
100-110 |
1,7 |
1,9 |
2,2 |
0,50 |
6.2.8.1 Значения уширения проезжей части на кривых в плане съездов полос для поворота следует принимать не менее установленных ГОСТ 33475 и СП 34.13330.
6.2.8.2 Ширину полосы движения на съездах в составе полос для правого и левого поворотов следует принимать по таблице 8. Для промежуточных значений допускается принимать ширину полосы по интерполяции. Если на однополосном съезде ширина проезжей части согласно 6.2.8.1 более, чем по таблице 8 с учетом 6.2.8.3 и 6.2.8.4, следует нанести разметку или выполнить покрытие краевых полос, отличающихся по цвету и фактуре, ограничив ширину, используемую для движения (см. рисунок 5).
|
Радиус внутреннего края полосы движения, м |
Ширина полосы, м, для вариантов функционирования поворотного съезда | |||
|
Однополосный поворотный съезд без возможности объезда остановившегося автомобиля |
Однополосный поворотный съезд с возможностью объезда остановившегося автомобиля |
Двухполосный съезд | ||
|
левая полоса |
правая полоса | |||
|
Тип расчетного автомобиля | ||||
|
А20 |
А20 |
Л |
А20 | |
|
15 |
6,00 |
7,00 |
5,00 |
6,00 |
|
25 |
5,50 |
6,50 |
4,70 |
5,50 |
|
30 |
5,40 |
6,40 |
4,50 |
5,40 |
|
40 |
5,20 |
6,20 |
4,20 |
5,20 |
|
50 |
5,10 |
6,00 |
4,10 |
5,10 |
|
60 |
5,00 |
5,70 |
4,00 |
5,00 |
|
150 и более |
4,50 |
5,10 |
3,90 |
4,50 |
Размеры в метрах

1 - бортовой камень; 2 - обочина; 3 - специальное мощеное покрытие; 4 - размело белого цвета шириной 0,15 м; 5 - трехцентричный поворот: радиусы, зависящие от траектории движения расчетного автомобиля (тип 1 или тип 2) с учетом бокового зазора безопасности 0,6 м; 6 - ширина съезда, зависящая от траектории движения грузового расчетного автомобиля при правом повороте
Рисунок 5 - Пример планировочного решения полосы для поворота направо с ограничением ширины полосы движения
6.2.8.3 При установке бортового камня по кромкам проезжей части следует устраивать краевую полосу шириной не менее 0,5 м с каждой стороны, на которой установлен бортовой камень.
6.2.8.4 Ширину укрепленной полосы обочин поворотных съездов без бортового камня следует принимать 0,75 м для дорог категорий I, II и 0,5 м - для дорог других категорий.
6.2.9.1 При проектировании геометрических параметров края проезжей части для сопряжения дорог на пересечениях и примыканиях следует учитывать:
- состав движения - радиус поворота должен соответствовать параметрам поворота расчетного автомобиля. Максимально длинный автомобиль может частично занимать часть второй полосы движения от края проезжей части, если доля таких автомобилей в потоке менее 3 %, за исключением случая выезда на полосу встречного движения на всех дорогах, кроме второстепенных дорог категории V и с низкой интенсивностью движения;
- направление поворотного движения - как правило, следует применять кривые большего радиуса для поворотного движения с главной дороги на второстепенную и кривые меньшего радиуса - со второстепенного направления на главную дорогу.
6.2.9.2 Основными формами края проезжей части являются:
- круговая кривая единого радиуса;
- круговая кривая единого радиуса, вписанная между двумя отгонами уширения;
- составная круговая кривая из трех кривых - коробовая кривая;
- круговая кривая единого радиуса, вписанная между двумя переходными кривыми.
6.2.9.3 Минимальный радиус кривой определяют на основании траектории движения расчетного автомобиля, при котором он в состоянии завершить маневр поворота без выезда на часть второй полосы движения от края проезжей части дороги, на которую он поворачивает. В момент выполнения маневра минимальное расстояние между транспортным средством и краем проезжей части должно составлять не менее 0,2 м.
6.2.9.4 Минимальный радиус круговой кривой единого радиуса при сопряжениях дорог в местах пересечений или примыканий в одном уровне принимают в зависимости от категории дороги, с которой происходит поворот направо:
- не менее 25 м - для категорий I, II;
- 20 м - для категории III;
- 15 м - для категорий IV, V.
При расчете на регулярное движение автопоездов (более 25 % в составе потока) радиусы кривых на съездах следует увеличивать до 30 м.
На основании 6.2.9.3 радиусы сопряжений допускается уменьшать:
- на пересечениях и примыканиях с дорогами низкой интенсивности движения, примыканиях дорог необщего пользования, полевых и лесных дорог - до 12 м;
- на примыканиях частных проездов и съездов к отдельным усадьбам (участкам для индивидуального жилищного строительства) - до 6 м.
6.2.9.5 На регулируемых пересечениях без пешеходных переходов рекомендуется увеличить радиус кривой при угле 90° до 25 м на дорогах всех категорий.
6.2.9.6 Минимальные радиусы круговых кривых при использовании поворотного съезда, отделенного направляющим треугольным островком, следует принимать по таблице 9.
|
Расчетная скорость поворота, км/ч |
Коэффициент поперечного сцепления |
Минимальный поперечный уклон на вираже |
Минимальный радиус круговой кривой, м |
|
20 |
0,27 |
0,02 |
15 |
|
30 |
0,27 |
0,02 |
25 |
|
40 |
0,23 |
0,03 |
50 |
|
50 |
0,20 |
0,04 |
85 |
|
60 |
0,17 |
0,05 |
130 |
|
70 |
0,16 |
0,06 |
175 |
6.2.9.7 Минимальные радиусы края проезжей части круговой кривой единого радиуса, вписанной между двумя отгонами уширения, и симметричной коробовой кривой допускается принимать по таблице 10.
|
Угол поворота, град |
Тип расчетного автомобиля |
Кривая, вписанная между отгонами уширения |
Симметричная коробовая кривая | |||
|
Радиус, м |
Максимальный угол отгона |
Максимальное уширение за счет отгона, м |
Радиус, м |
Смещение центральной кривой в максимальной точке, м | ||
|
75 |
А |
13,5 |
1:10 |
0,6 |
40 - 14 - 40 |
0,6 |
|
А20 |
20,0 |
1:15 |
0,9 |
45 - 15 - 45 |
1,8 | |
|
90 |
А |
12,0 |
1:10 |
0,6 |
40 - 12 - 40 |
0,6 |
|
А20 |
18,0 |
1:15 |
1,2 |
55 - 12 - 55 |
1,8 | |
|
105 |
А |
11,0 |
1:10 |
0,9 |
30 - 10 - 30 |
1,0 |
|
А20 |
17,0 |
1:15 |
1,2 |
55 - 14 - 55 |
2,4 | |
6.2.9.8 Несимметричная коробовая кривая из трех частей включает в себя круговые кривые со следующими соотношениями радиусов
RВХ : RСР : RВЫХ=2: 1: 3,
где RBX - радиус первой по ходу движения кривой, м;
RCP - радиус основной кривой, м;
RВЫХ - радиус завершающей закругление по ходу движения кривой, м.
Минимальный радиус основной кривой для дорог категорий I, II - не менее 15 м; для дорог категории V и дорог с низкой интенсивностью движения, на которых в качестве типа расчетного автомобиля могут быть приняты Г, А или Л - не менее 10 м; для дорог всех иных категорий - не менее 12 м.
6.2.9.9 При этом центральный угол первого радиуса RBX и последнего радиуса RВЫХ, по ходу движения вне зависимости от общего угла изменения направления края проезжей части, остаются всегда неизменными (αЕ = 15.75° и αА = 20.25°).
6.2.9.10 Примеры построения различных типов закругления приведены в приложении Г.
6.3.1.1 Полоса для поворота направо может включать в себя следующее:
- полосу торможения и, при необходимости, накопления очереди автомобилей;
- поворотный съезд, отделенный треугольным направляющим островком;
- полосу разгона.
6.3.1.2 Допускается применять для организации поворота направо полосы, показанные на рисунке 6.
|
|
|
|
а) Совмещенная полоса прямого движения и правого поворота |
б) Полоса для поворота без направляющего островка |
Рисунок 6, лист 1 - Варианты планировочного решения полосы для поворота направо
|
|
|
|
в) Полоса для поворота с направляющим островком без полосы разгона |
г) Полоса для поворота с направляющим островком с полосой разгона |
Рисунок 6, лист 2
6.3.2.1 Съезд для поворота направо следует применять:
- на регулируемом пересечении или примыкании при выделении отдельной фазы светофора только для поворота направо;
- при интенсивности пешеходного движения вдоль главной дороги более 300 пешеходов в час;
- при необходимости организации правоповоротного движения со скоростью 25 км/ч и выше;
- при малых углах пересечения для поворотных движений в остром угле пересечения.
6.3.2.2 Съезд для поворота направо следует, как правило, устраивать с одной полосой движения. Допускается применение двух и более полос движения на съезде для поворота направо на регулируемом пересечении или примыкании в случае движения без конфликта с другими потоками автомобилей.
6.3.3.1 Полосу торможения следует применять:
- при устройстве съезда, отделенного треугольным направляющим островком, кроме случая устройства съезда для поворота направо в остром угле пересечения или примыкания при малых углах пересечения (примыкания) - на автомобильных дорогах категорий IV и V;
- при интенсивности съезжающих или въезжающих на дорогу 50 и более приведенных автомобилей в сутки - на дорогах категории I;
- при интенсивности съезжающих или въезжающих на дорогу 200 и более приведенных автомобилей в сутки - на дорогах категорий II и III.
6.3.3.2 Допускается применять две основные формы полосы торможения в составе полосы для поворота направо:
- параллельная форма, с участком отгона полосы - во всех случаях;
- клиновидная форма в виде отгона уширения на всем протяжении полосы - на главной дороге категорий III и IV на нерегулируемом пересечении, при обосновании.
6.3.4.1 Полосу торможения следует принимать:
- на главном направлении нерегулируемого пересечения - длиной, равной длине участка торможения, необходимой для снижения скорости до расчетной скорости правого поворота (согласно 6.2.5). Точкой начала торможения, как правило, считается точка на отгоне, в которой ширина полосы торможения равна 3,0 м;
- на второстепенном направлении нерегулируемого пересечения - длиной, равной длине предполагаемой длины очереди ожидания, не превышаемой в 95 % случаев (согласно 6.2.6);
- на регулируемом пересечении - длиной, равной сумме длин участка торможения (согласно 6.2.5) и предполагаемой длины очереди ожидания, не превышаемой в 95 % случаев (согласно 6.2.6). Точкой начала торможения, как правило, считается точка на отгоне, в которой ширина полосы торможения равна 3,0 м.
6.3.4.2 На регулируемом пересечении в стесненных условиях и при отсутствии отдельной фазы для правого поворота во всех случаях допускается принимать длину параллельного участка, равной длине очереди ожидания, не превышаемой в 95 % случаев.
6.3.4.3 Значение отгона следует принимать по таблице 11. На второстепенных дорогах нерегулируемых пересечений допускается принимать отгон 1:10.
|
Расчетная скорость дороги, км/ч |
Максимальный угол отгона полосы на главной дороге при применении параллельной полосы правого поворота |
|
До 80 |
1:18 |
|
От 80 до 90 |
1:20 |
|
От 90 до 110 |
1:22 |
|
110 и более |
1:25 |
Длину клиновидной полосы допускается принимать по таблице 12.
|
Разрешенная скорость по главной дороге, км/ч |
Длина отгона для условий продольного уклона менее 25 ‰, м |
Длина отгона на участке подъема 25-40 ‰, м |
Длина отгона на участке подъема 40-60 ‰, м |
Длина отгона на участке спуска 25-40‰, м |
Длина отгона на участке спуска 40-60 ‰, м |
Максимальный угол отгона |
|
70 |
60 |
55 |
50 |
70 |
80 |
1:15 |
|
80 |
70 |
65 |
55 |
85 |
95 |
1:20 |
|
90 |
90 |
80 |
70 |
110 |
120 |
1:20 |
|
100 и более |
105 |
95 |
85 |
125 |
140 |
1:25 |
6.3.6.1 Полосы разгона следует применять:
- при применении полосы поворота направо с использованием треугольного направляющего островка и с примыканием к проезжей части пересекаемой дороги под углом менее 70° на дорогах всех категорий;
- при повороте с второстепенной дороги на дорогу категории I при интенсивности 50 и более приведенных автомобилей в сутки, съезжающих или въезжающих на дорогу;
- при повороте с второстепенной дороги на дорогу категорий II и III при интенсивности 200 и более приведенных автомобилей в сутки, съезжающих или въезжающих на дорогу.
6.3.6.2 Допускается не применять полосу разгона при наличии светофорного регулирования с организацией движения правоповоротного потока без конфликта с другими потоками автомобилей.
6.3.6.3 Следует применять две формы полосы разгона (см. рисунок 7):
- диагональная (клиновидная) полоса разгона - в виде отгона уширения на всем протяжении полосы;
- параллельная полоса разгона.
6.3.6.4 Отгон полосы разгона при применении диагональной формы - не более 1:30. Точные параметры полосы разгона определяют на основании расчета длины участка ускорения.
6.3.6.5 Длину полосы разгона следует принимать на основании длины участка разгона. Участок разгона заканчивается в точке отгона параллельной или клиновидной полос разгона, в которой ширина полосы разгона равна 3,0 м (см. рисунок 7). Длину участка разгона следует принимать по 6.2.7.

а) Диагональная полоса разгона

б) Параллельная полоса разгона

в) Параллельная полоса разгона с двумя полосами на участке разгона
Рисунок 7 - Схема организации полосы разгона для поворота направо
6.3.6.6 В случае устройства полосы разгона при примыкании съезда с двумя полосами движения или второстепенной дороги с односторонним движением и двумя полосами движения допускается применение только параллельной полосы разгона в соответствии с рисунком 7в).
Минимальный состав полосы для поворота налево - полоса торможения и, при необходимости, накопления очереди автомобилей.
Следует устраивать отдельную полосу для поворота налево в следующих случаях:
а) на главном направлении движения:
1) на нерегулируемых пересечениях и примыканиях на дорогах категорий I-III - всегда; на дорогах категории IV - в соответствии с рисунком 8;
2) на регулируемых пересечениях и примыканиях - при наличии отдельной фазы светофора для левого поворота либо в соответствии с рисунком 8;
б) на второстепенном направлении движения на регулируемых пересечениях - при наличии отдельной фазы светофора для левого поворота либо в соответствии с рисунком 8.
На второстепенном направлении нерегулируемых пересечений устраивать отдельную полосу для поворота налево не допускается.
На дорогах категории IV, не удовлетворяющих условиям рисунка 8, категории V и на дорогах с интенсивностью движения менее 400 приведенных автомобилей в сутки или при капитальном ремонте, если имеющейся территории недостаточно для полноценного развития полосы для поворота налево, допускается добавление полосы справа (рисунок 13).

- требуется устройство полосы для левого поворота
Рисунок 8 - Диаграмма для определения необходимости полосы для левого поворота
6.4.3.1 Полосу для левого поворота на подходе к пересечению (рисунки 9, 10) следует принимать длиной, равной сумме длин участка торможения (согласно 6.2.5) и предполагаемой длины очереди ожидания, не превышаемой в 95 % случаев (согласно 6.2.6). Точкой начала торможения, как правило, считается точка на отгоне, в которой ширина полосы торможения равна 3,0 м.
6.4.3.2 Применение полосы для поворота налево допускается по следующим схемам:
- на дорогах с центральной разделительной полосой (рисунок 9) за счет разделительной полосы, в том числе с уширением такой полосы при необходимости. Значение отгона уширения центральной разделительной полосы - не круче V.V/2, где V - разрешенная скорость на автомобильной дороге на подходе к пересечению или примыканию. Допускается смещение полосы для поворота налево к встречному направлению движения;
- на дорогах без центральной разделительной полосы - за счет отклонения полос движения прямого направления и применения направляющих островков, расширяющихся по мере приближения к пересечению или примыканию (рисунки 10а, 10б). Отгон центрального разделительного островка на приближении к отгону полосы для левого поворота следует принимать не круче 1:V/2. На автомобильных дорогах категории IV и при капитальном ремонте допускается отклонение полос движения прямого направления для устройства полосы для левого поворота без применения центрального направляющего островка (рисунок 10в), отгон полосы для левого поворота в этом случае следует принимать не круче 1:V/2.

Рисунок 9 - Полоса для поворота налево при наличии центральной разделительной полосы

а)

б)

в)
Рисунок 10 - Принципиальные схемы отгона полосы для поворота налево на главной дороге
6.4.3.3 Отгон уширения полосы для поворота налево следует принимать не более V.V/4, где V - разрешенная скорость подхода к пересечению или примыканию.
6.4.3.4 На второстепенном направлении регулируемого пересечения или примыкания, на котором разрешенная скорость подхода не превышает 40 км/ч, отгон полосы для поворота налево следует принимать 1:10.
6.4.3.5 Длина параллельного участка для добавленной справа полосы (см. рисунок 11) должна составлять не менее 30 м и может быть увеличена исходя из состава транспортного потока, отгон - не более 1: V/4, а на дорогах с низкой интенсивностью движения - на протяжении не менее 10 м.

Рисунок 11 - Принципиальная схема построения полосы для поворота налево на главной дороге при низкой интенсивности движения
6.4.4.1 Полосу разгона после левого поворота следует располагать с левой стороны от основных полос движения для данного направления только на пересечениях, не регулируемых светофором.
6.4.4.2 Применение полосы разгона допускается на автомобильных дорогах категории I и при капитальном ремонте - на автомобильных дорогах категорий II и III в случае превышения расчетной интенсивности движения согласно СП 34.13330.
6.4.4.3 Форма полосы разгона - параллельная, расчет длины участка разгона выполняют согласно 6.2.7, начальную скорость при разгоне следует принимать 20 км/ч. Отгон полосы разгона - согласно рисунку 7.
6.4.4.4 Полосу разгона левого поворота допускается превращать в полосу главной дороги, при этом необходимо отогнать полосу справа. Правую полосу следует закончить на расстоянии от 500 до 700 м от острого конца направляющего островка левого поворота или полосы, отделяющей левоповоротное движение от основного прямого движения.
6.5.1.1 Допускается применять направляющие островки следующих типов:
- островки, разделяющие противоположные направления движения - располагаются, как правило, по оси дороги и на второстепенной дороге имеют каплевидную форму;
- островки, разделяющие движения автомобилей одного направления, как правило, имеют треугольную форму (рисунок 12).
6.5.1.2 Для выделения поднятых над поверхностью проезжей части островков следует применять пониженный бортовой камень возвышением 0,05-0,07 м по всему периметру островка или возвышение бортового камня над отметкой проезжей части не менее 0,15 м, с понижением бортового камня до уровня проезжей части в вершине, направленной навстречу движению автомобилей. В зонах пешеходных переходов, проходящих через островок, возвышение бортового камня должно быть не более 0,005 м.
Краевая полоса вдоль бортового камня должна быть:
- на главной дороге - не менее ширины укрепленной части обочины или краевой полосы на автомобильной дороге;
- на второстепенной дороге - согласно 6.2.8.3 и 6.2.8.4.
6.5.1.3 При проектировании центральных разделительных островков следует принимать:
- радиус поворота налево на дорогах категорий IV и V - не менее 12,5 м, при интенсивном движении грузовых автомобилей и автобусов - не менее 15,0 м;
- на дорогах категорий I - III на нерегулируемых и регулируемых пересечениях - не менее 15,0 м.

Рисунок 12 - Пример устройства полосы для поворота налево на примыкании при наличии центральной разделительной полосы с устройством направляющих островков
6.5.2.1 Минимальная площадь треугольного островка с бортовым камнем должна быть 6,5 м2, минимальная длина стороны треугольника такого островка с учетом закруглений углов - не менее 3,0 м.
6.5.2.2 Форму треугольного островка определяют траекторией расчетного автомобиля, выполняющего маневр правого поворота. Края треугольного островка выполняют с закруглением. Радиус закругления следует принимать не менее 0,30 м, рекомендуемое значение - 0,75 м.
6.5.3.1 Центральный направляющий островок каплевидной формы применяют на примыкании на второстепенной дороге. Длину такого островка следует принимать от 10,0 до 25,0 м, в зависимости от разрешенной скорости. Большее значение, равное 25,0 м, принимают для разрешенной скорости 90 км/ч, меньшее - 50 км/ч и менее. При разрешенной скорости 60 км/ч длина островка составляет 14,0 м.
6.5.3.2 Форма и размеры центрального направляющего островка должны позволить расчетному транспортному средству обогнуть островок с правой стороны без того, чтобы заехать на соседнюю полосу или на тротуар.
6.5.3.3 Ширина центрального направляющего островка при наличии движения пешеходов через автомобильную дорогу должна быть не менее 2,0 м. При отсутствии движения пешеходов через островок ширина должна быть не менее 1,5 м.
6.5.3.4 Рекомендуемый радиус закругления края островка - 0,75 м, минимальная ширина краевой полосы островка при наличии бортового камня - 0,5 м, минимальный радиус закругления края островка - 0,3 м.
6.5.4.1 Расстояние между окончаниями центральных направляющих островков или центральной разделительной полосы должно обеспечивать разъезд одновременно поворачивающих налево расчетных автомобилей встречных направлений главной дороги с зазором между ними не менее 0,5 м.
6.5.4.2 Указанное требование следует применять в двух случаях:
- на любом пересечении в одном уровне, с двух противоположных направлений;
- на регулируемом светофором пересечении в одном уровне при повороте налево одновременно с двух противоположных направлений.
6.5.4.3 Минимальное расстояние между внутренними радиусами левых поворотов должно быть не менее 9,0 м (см. рисунок 13).
6.5.4.4 На второстепенном направлении максимальное расстояние от вершины центрального направляющего островка или центральной разделительной полосы до края проезжей части главной дороги должно составлять не менее ширины укрепленной части обочины, но не превышать 2,0 м (см. рисунок 14).

Рисунок 13 - Организация движения при одновременном левом повороте с противоположных направлений
Размеры в метрах

X - ширина полосы движения при въезде на пересечение; Y - ширина полосы при выезде с пересечения
Рисунок 14 - Схема построения центрального направляющего островка, используемого как с целью направления движения, так и с целью безопасного движения пешеходов
6.6.1 Пересечения и примыкания с отнесенным на разворот левоповоротным движением применяют в случаях, когда необходимо обеспечить повышение пропускной способности по одному или обоим направлениям прямого движения. Это достигается за счет снижения пропускной способности по другим направлениям. Основная схема пересечения с отнесенными на разворот левыми поворотами представлена на рисунке 15. Допускается применение других схем.
6.6.2 Пересечения со сквозным проездом по обоим направлениям рекомендуется устраивать только как временное решение в ожидании реконструкции пересечения.

Рисунок 15 - Схема пересечения с отнесенными левыми поворотами с центральной разделительной полосой без прямого проезда второстепенного направления
6.6.3 На пересечениях с центральной разделительной полосой ширина такой полосы в месте разворота должна, как правило, позволять развернуться максимально длинному расчетному автомобилю (рисунок 15). При отсутствии центральной разделительной полосы (рисунок 16) или недостаточной ширине центральной разделительной полосы для разворота расчетного автомобиля (рисунок 17) следует предусматривать дополнительные площадки разворота. Параметры дополнительной площадки для разворота показаны на рисунке 18.

Рисунок 16 - Схема нерегулируемого пересечения с отнесенными разворотами без центральной разделительной полосы
Примечание - Для исключения возможности сквозного проезда по второстепенному направлению на центральной разделительной полосе следует устанавливать ограждения.
6.6.4 На выезде с площадки для разворота, как правило, следует устраивать полосу разгона. Допускается не устраивать полосу разгона при устройстве светофорного регулирования.
6.6.5 Без светофорного регулирования допускается устраивать разворот с устройством дополнительной площадки (рисунок 18) при одной полосе движения на развороте и одной или двух полосах движения в каждом направлении на пересекаемой при развороте автомобильной дороге. В иных случаях следует устраивать светофорное регулирование.
6.6.6 При проектировании разворота возможность проезда расчетным автомобилем следует проверять моделированием траектории проезда. Расчетным принимается автомобиль, имеющий наибольшую длину, доля которого в составе потока не менее 3 %.
Уширение проезжей части следует принимать согласно ГОСТ 33475 и СП 34.13330.
6.6.7 Минимальную ширину полос движения в составе проезжей части следует принимать по таблице 13, выделяя полосу движения разметкой или покрытием, отличающимся по цвету и фактуре.

Рисунок 17 - Схема пересечения в одном уровне с отнесенными левыми поворотами с недостаточной для разворота шириной центральной разделительной полосы

1 - расстояние не менее 32 м для расчетного транспортного средства типа автопоезд А20; 2 - ширина разворота не менее 6,5 м для грузовых транспортных средств; 3 - геометрия островка и центральной разделительной полосы, определяемая по габаритам поворачивающих транспортных средств; 4 - геометрия разворота, определяемая по габаритам поворачивающих транспортных средств при скорости движения 5-15 км/ч
Рисунок 18 - Устройство дополнительной площадки для разворота
|
Радиус внутренней кромки, м |
Минимальная ширина полосы для расчетного автомобиля типа А20 |
|
10 |
6,50 |
|
15 |
6,00 |
|
20 |
5,50 |
|
25 |
5,10 |
|
30 |
4,90 |
|
35 |
4,65 |
6.6.8 С обеих сторон полосы (полос) движения на развороте должна быть краевая полоса с твердым покрытием шириной не менее 1,0 м.
6.6.9 Полоса торможения перед разворотом должна обеспечивать размещение очереди такой длины, которая не будет превышена как минимум в 95 % случаев. Расстояние от примыкания второстепенной дороги до начала отгона полосы торможения и накопления очереди для разворота должно оставлять не менее 75 м на одну полосу движения, которую требуется пересечь после правого поворота с второстепенной дороги.
6.6.10 Пересечения с левым поворотом с главной дороги и без обеспечения прямого движения по второстепенному направлению (рисунок 19) используют при низкой интенсивности прямого движения по второстепенному направлению и высокой по направлению левых поворотов. Рекомендуемые геометрические параметры центрального островка приведены на рисунке 20. На таком пересечении следует устраивать светофорное регулирование.

Рисунок 19 - Пересечение в одном уровне с отнесенными левыми поворотами с второстепенной дороги и левым поворотом с главной дороги без обеспечения прямого проезда по второстепенному направлению
Размеры в метрах

1 - область, на которой при необходимости может быть использовано плиточное покрытие или обособленный островок с высотой бортового камня от 15 до 30 см; W - ширина полосы движения, включая уширения на кривых; WT - ширина полосы движения для совершения поворота, включая уширения на кривых в соответствии с расчетным транспортным средством
Рисунок 20 - Рекомендуемые параметры островка, разделяющего левоповоротные потоки встречных направлений
7.1 Пешеходные переходы на пересечениях и примыканиях должны соответствовать требованиям ГОСТ 32944, велосипедные дорожки - ГОСТ 33150 и должны быть выделены разметкой согласно ГОСТ Р 52289. При наличии интенсивного движения пешеходов следует предусматривать устройство направляющих ограждений или других мер, препятствующих выходу пешеходов на проезжую часть вне пешеходного перехода. Направляющие ограждения не должны ограничивать видимость как для водителей, так и для пешеходов.
7.2 На пересечении или примыкании вне населенных пунктов пешеходное и велосипедное движения могут отсутствовать.
7.3 На пешеходных переходах должна быть обеспечена площадка для пешеходов и велосипедистов, ожидающих возможности пересечь автомобильную дорогу. Ожидающие пешеходы и велосипедисты не должны создавать помех для движения пешеходов и велосипедистов вдоль автомобильной дороги.
7.4 Пешеходные переходы должны быть оборудованы пандусами согласно ГОСТ 32944. Разность уровней пешеходного пути и проезжей части должна составлять не более 0,005 м. Значение уклона пандуса должно быть не более 50 ‰. Использование в качестве пандуса бортовых камней не допускается.
7.5 На пересечениях и примыканиях автомобильных дорог велосипедные дорожки должны пересекать автомобильные дороги рядом с пешеходными переходами (рисунок 21).

Рисунок 21 - Совмещение пешеходных путей и велосипедных дорожек
7.6 При устройстве пересечения или примыкания с отнесенным на разворот левым поворотом, независимо от наличия прямого проезда по пересечению по второстепенной автомобильной дороге, пешеходные переходы и пересечения с велосипедными дорожками устраивают следующим образом:
- через главную автомобильную дорогу - при наличии светофорного регулирования на развороте переносят к развороту, регулируемому светофором, при отсутствии светофорного регулирования - переносят от пересечения на расстояние не менее 20 м за разворот;
- через второстепенную автомобильную дорогу - при наличии светофорного регулирования размещают перед стоп-линией светофора, на расстоянии не более 4 м от края проезжей части главной дороги, при отсутствии светофорного регулирования - переносят от пересечения на расстояние не менее 6 м от знака 2.4 "Уступите дорогу" или 2.5 "Движение без остановки запрещено".
7.7 В случае устройства канализированного, частично канализированного или неканализированного пересечения или примыкания со светофорным регулированием пешеходные переходы и Пересечения с велосипедными дорожками следует устраивать на пересечении или примыкании с выделением пешеходного движения при проектировании пофазового разъезда, при наличии направляющих островков - через такие островки.
7.8 В случае устройства канализированного, частично канализированного или неканализированного пересечения или примыкания без светофорного регулирования пешеходные переходы и пересечения с велосипедными дорожками следует устраивать:
- через главную автомобильную дорогу - как правило, на расстоянии не менее 20 м от начала отгонов полос для правого и левого поворотов;
- через второстепенную автомобильную дорогу - через треугольный и центральный направляющие островки (при их наличии), перед стоп-линией светофора или знаков 2.4 "Уступите дорогу", 2.5 "Движение без остановки запрещено", на расстоянии не более 4 м от края проезжей части главной дороги или на расстоянии не менее 6 м от края проезжей части главной дороги с увеличением при необходимости размеров направляющих островков (при их наличии).
7.9 В случае устройства канализированного примыкания без светофорного регулирования с устройством треугольного островка между полосами разгона и торможения для поворота налево на основной проезжей части (рисунок 12), противоположной примыканию, устройство пешеходных переходов и пересечений с велосипедными дорожками на главной дороге не допускается.
7.10 Если на пересечении или примыкании в одном уровне отсутствуют полосы для поворота направо, пешеходный переход и пересечение с велосипедными дорожками на второстепенной дороге рекомендуется смещать от края проезжей части главной дороги на расстояние не менее 6 м, достаточное для размещения легкового автомобиля.
7.11 Треугольные направляющие островки, через которые организовано движение пешеходов, как правило, следует устраивать с бортовым камнем.
7.12 В случае отнесения пешеходного перехода от регулируемого пересечения или примыкания с устройством светофорного регулирования на пешеходном переходе, необходимо обеспечивать скоординированное управление смежными светофорами.
7.13 В случае расположения на пересечении или примыкании остановки наземного пассажирского транспорта общего пользования пешеходный переход следует устраивать перед посадочной площадкой остановки.
7.14 В случае устройства пересечений или примыканий со светофорным регулированием автомобильных дорог с велосипедными дорожками для обеспечения левого поворота справа от проезжей части устраивается зона для накопления велосипедистов, ожидающих возможности совершить левый поворот по велосипедной дорожке, расположенной в соответствии с 7.5.
7.15 В случае устройства пересечений или примыканий автомобильных дорог с велосипедными полосами велосипедное движение следует перенести за пределы проезжей части, велосипедная полоса должна быть расположена совместно с пешеходным переходом (рисунок 22).

Рисунок 22 - Пример расположения велосипедной полосы относительно полосы для поворота направо
8.1.1 На пересечениях и примыканиях светофорное регулирование следует применять в соответствии с ГОСТ Р 52289. При проектировании светофорных объектов следует выполнять требования ГОСТ Р 52282.
8.1.2 Рекомендуемые условия видимости светофоров приведены в приложении Д.
8.2.1 Различие пропускной способности регулируемого светофорами пересечения или примыкания на автомобильных дорогах категорий I-III и автомобильной дороги на подходе к пересечению более чем в два раза, как правило, не допускается.
8.2.2 В случае интенсивности левоповоротного движения менее 100 приведенных автомобилей в час, допускается устраивать поворот налево без выделения отдельной фазы светофорного регулирования для левого поворота.
8.2.3 При интенсивности левоповоротного движения более 600 приведенных автомобилей в час следует, как правило, устраивать сдвоенную выделенную полосу для поворота налево.
8.2.4 Если уровень загрузки пересечения или примыкания более 0,8, а обустройство дополнительной полосы не представляется возможным, следует рассмотреть вариант отказа от левоповоротного движения на данном пересечении.
8.2.5 При интенсивности правоповоротного движения более 800 приведенных автомобилей в час следует рассмотреть возможность обустройства сдвоенной полосы для поворота.
8.2.6 На полосе для поворота направо, отделенной островком безопасности, фазы светофорного регулирования могут не совпадать с фазами по прямому направлению движения.
Если на автомобильной дороге последовательно расположено несколько пересечений или примыканий со светофорным регулированием, и расстояние между ними, как правило, не более 1 км, следует обеспечивать скоординированную работу светофорных объектов.
9.1 Освещение пересечения или примыкания следует устраивать в соответствии с ГОСТ 33151, ГОСТ 33176, ГОСТ Р 54305 (в части, не противоречащей ГОСТ 33151 и ГОСТ 33176), ГОСТ Р 52766.
9.2 Размещение светильников должно подчеркивать направление главной дороги и обеспечивать освещение опасных зон (конфликтные точки, переходно-скоростные полосы, места изменения направления движения). При наличии на пересечении или примыкании пешеходного перехода освещение такого перехода следует устраивать в соответствии с ГОСТ 32944.
10.1.1 При проектировании вертикальной планировки пересечений или примыканий следует учитывать:
- продольный профиль подходов к пересечению;
- высотные отметки и поперечный уклон проезжей части главной дороги, в том числе вираж на главной дороге в случае расположения пересечения на кривой в плане;
- обеспечение водоотвода на пересечении.
10.1.2 При проектировании вертикальной планировки пересечений и примыканий следует обеспечивать видимость пересечения или примыкания с учетом вертикальной планировки самого пересечения и прилегающей территории.
10.1.3 Рекомендуется располагать пересечения или примыкания на вогнутой кривой.
10.1.4 Расположение пересечения или примыкания на вершине выпуклой кривой продольного профиля с радиусом, при котором не обеспечена видимость пересечения в соответствии с требованиями настоящего стандарта, как правило, не допускается.
10.1.5 В случае невозможности обеспечить расстояние видимости на пересечении, расположенной на выпуклой кривой, следует предусмотреть одно из следующих мероприятий или их комплекс:
- отмену левых поворотов;
- продление дополнительных полос для поворотного движения до участка дороги с обеспеченной видимостью для остановки при движении с расчетной скоростью автомобильной дороги;
- ограничение скорости на подходах к пересечению или примыканию до уровня, который на 10 км/ч ниже значения скорости, соответствующего имеющемуся расстоянию видимости.
10.1.6 На подходах к пересечениям и примыканиям дорог, за исключением дорог с низкой интенсивностью движения, следует уменьшать наибольшие продольные уклоны на 10 ‰, а в районах с частыми гололедами - на 20 ‰. Протяженность подходов следует принимать не менее 50,0 м до стоп-линий или начала кривой съезда.
10.2.1 Суммарный (косой) уклон в любой точке проезжей части (от начала полос торможения и до завершения полос разгона, а при их отсутствии от точек начала закруглений, сопрягающих проезжие части пересекающихся дорог) должен быть не менее 5 ‰.
Продольные уклоны главной дороги на подходах к пересечениям и примыканиям в одном уровне не должны превышать значения, указанные в таблице 14, на протяжении расстояния видимости согласно 5.2.
|
Категория дороги (подход к пересечению или примыканию) |
Разрешенная скорость, км/ч | ||||||
|
30-40 |
50 |
60 |
70 |
80 |
90 |
100 | |
|
Максимальный продольный уклон, ‰ | |||||||
|
Категории I, II |
- |
- |
- |
40 |
40 |
40 |
30 |
|
Категория III |
- |
- |
50 |
50 |
40 |
40 |
30 |
|
Категория IV |
- |
60 |
50 |
50 |
40 |
40 |
- |
|
Категория V |
60 |
60 |
60 |
50 |
40 |
40 |
- |
10.2.2 Продольный уклон второстепенной дороги на расстоянии 20 м от кромки проезжей части главной дороги, как правило, не должен превышать 20 ‰. На второстепенных дорогах допускается применение перелома продольного профиля при примыкании к поперечному профилю главной дороги не более 40 ‰.
10.3.1 Поперечный профиль полос прямого движения главной автомобильной дороги следует устраивать в соответствии с ГОСТ 33475 и СП 34.13330, за исключением дорог с низкой интенсивностью движения.
10.3.2 Поперечный профиль полос для правого и левого поворотов, полос разгона должен соответствовать поперечному профилю дороги, на которой такие полосы расположены, до момента отмыкания от дороги.
10.3.3 Виражи на полосах для поворота направо следует устраивать в соответствии с ГОСТ 33475 и СП 34.13330. Отгон виража допускается начинать после отмыкания полос правого поворота от проезжей части прямого движения.
10.3.4 Разница продольных уклонов оси съезда для поворота направо и края проезжей части на участке отгона виража должна быть не более 20 ‰.
10.4.1 Откосные водоотводящие лотки и решетки ливневой канализации (при их наличии), как правило, устанавливают в низких точках на подходах к пересечению или примыканию.
10.4.2 Не следует размещать водоотводящие лотки (откосные и аналогичные, кроме прикромочных) и решетки ливневой канализации (при их наличии) в пределах наземных пешеходных переходов.
11.1 Остановки наземного пассажирского транспорта общего пользования вне населенных пунктов, как правило, следует устраивать за пределами пересечения или примыкания.
11.2 При необходимости разместить остановку автобуса на нерегулируемых пересечениях или примыканиях рекомендуется размещать ее после пересечения или примыкания (рисунки 23 и 24).

Рисунок 23 - Пример расположения автобусных остановок вблизи пересечения

Рисунок 24 - Пример расположения автобусных остановок вблизи примыкания
11.3 При размещении автобусной остановки вблизи пересечения должно быть минимизировано негативное влияние остановившегося автобуса на пропускную способность пересечения или примыкания.
11.4 При размещении остановки наземного пассажирского транспорта общего пользования вблизи пересечения или примыкания следует обеспечить выполнение всех требований по обеспечению видимости, установленных в настоящем стандарте. При размещении автобусных остановок у примыканий, расположенных с противоположной стороны дороги, и у примыканий, на которых предусматривается только правоповоротное движение, расстояние от конца закругления съезда до посадочной площадки следует принимать не менее 30 м.
11.5 На регулируемых пересечениях или примыканиях допускается устройство мероприятий по обеспечению приоритета проезда наземного пассажирского транспорта общего пользования - устройство на подходе к пересечению или примыканию выделенной полосы, в том числе с выдвинутой вперед по отношению к остальному потоку стоп-линий, применение отдельной фазы светофорного регулирования или более раннего начала фазы разрешающего сигнала для наземного пассажирского транспорта общего пользования.
11.6 В случае применения выделенной полосы для наземного пассажирского транспорта общего пользования для прямого движения такая полоса должна быть расположена между полосой(ами) для поворота направо и полосами движения для прямого проезда через пересечение.
12.1 Пересечения автомобильных дорог категорий I-III с железными дорогами, а также в иных случаях, предусмотренных СП 227.1326000, следует предусматривать в разных уровнях.
12.2 Пересечения автомобильных дорог категорий IV, V, включая автомобильные дороги с низкой интенсивностью движения, следует проектировать в соответствии с СП 227.1326000.
12.3 При проектировании железнодорожных переездов следует обеспечивать видимость приближающегося поезда из автомобиля, находящегося на расстоянии 50 м до ближайшего рельса, на расстоянии, указанном в таблице 15.
|
Скорость поезда, км/ч |
Расстояние видимости, м |
|
121-140 |
500 |
|
81-120 |
400 |
|
41-80 |
250 |
|
26-40 |
150 |
|
25 и менее |
100 |
12.4 Разметка 1.12 "Стоп-линия" наносится на расстоянии не менее 5 м от шлагбаума или светофора, а при их отсутствии - на расстоянии не менее 10 м от ближнего рельса.
13.1 Примыкания подъездов к объектам дорожного и придорожного сервиса устраивают в соответствии с ГОСТ 33062.
13.2 Въезд и выезд объекта дорожного или придорожного сервиса принимают как одно примыкание к автомобильной дороге.
13.3 Геометрические параметры въезда и выезда объекта дорожного или придорожного сервиса следует принимать согласно 6.2.8. Параметры полос разгона и торможения следует принимать согласно 6.3.
13.4 При расположении объекта дорожного или придорожного сервиса с одной стороны дороги полосу для левого поворота следует устраивать согласно 6.4. При невозможности устроить полосу для поворота налево для подъезда к объекту дорожного или придорожного сервиса в случаях, установленных 6.4.2, поворот налево к объекту дорожного или придорожного сервиса следует запрещать с использованием дорожных знаков и разметки согласно ГОСТ Р 52289 и ГОСТ Р 52290.
13.5 При совмещении примыкания второстепенной автомобильной дороги и размещения объекта дорожного или придорожного сервиса следует размещать въезд и выезд к объекту дорожного или придорожного сервиса на второстепенной дороге на расстоянии от примыкания согласно ГОСТ 52398.
13.6 Примыкание автомобильных дорог и улиц населенных пунктов через объекты дорожного или придорожного сервиса не допускается.
Приложение А
(рекомендуемое)
А.1 Основные схемы пересечений и примыканий и условия их применения приведены в таблицах А.1 и А.2.
|
Категория главной дороги |
Тип пересечения для категории второстепенной дороги | |||||||
|
Автомагистраль 1А |
Скоростная дорога IБ |
Дорога обычного типа IB |
Дорога обычного типа II |
Дорога обычного типа III |
Дорога обычных типов IV, IVA-p, IVБ-p, IVA-п, IVБ-п |
Дорога обычных типов V, VA, VБ | ||
|
Автомагистраль 1А |
- |
- |
- |
- |
- |
- |
- | |
|
Скоростная дорога IБ |
- |
- |
- |
- |
- |
- |
- | |
|
Дорога обычного типа IB |
- |
- |
Тип 1-В-1. Регулируемое или нерегулируемое в зоне от примыкания до разворота < 1800 ** приведенных автомобилей в час на одну полосу движения, интенсивность сквозного движения на второстепенной дороге < 200 приведенных автомобилей в сутки
|
Тип 1-А-1. Регулируемое или нерегулируемое. Количество съезжающих или въезжающих автомобилей ≥ 50 приведенных автомобилей в сутки
| ||||
|
- |
- |
Тип 1-Г-1. Регулируемое или нерегулируемое, в зоне от примыкания до разворота < 1400 ** приведенных автомобилей в час на одну полосу движения, интенсивность сквозного движения на второстепенной дороге < 200 приведенных автомобилей в сутки, преобладающее направление поворотного движения < 300 приведенных автомобилей в час на одну полосу
|
Тип 1-Б-1. Регулируемое или нерегулируемое. Количество съезжающих или въезжающих автомобилей, < 50 приведенных автомобилей в сутки
| |||||
|
Дорога обычного типа II |
- |
- |
- |
Тип 2-А-1. Регулируемое или нерегулируемое. Интенсивность сквозного движения ≤ 8000 приведенных автомобилей в сутки
|
Тип 2-А-1. Регулируемое или нерегулируемое. Интенсивность сквозного движения ≤ 8000 приведенных автомобилей в сутки. Количество съезжающих или въезжающих автомобилей ≥ 200 приведенных автомобилей в сутки
| |||
|
- |
- |
- |
Тип 2-АВ-1. Регулируемое или нерегулируемое в зоне от примыкания до разворота < 1800 ** приведенных автомобилей в час на одну полосу движения
|
Тип 2-Б-1. Регулируемое или нерегулируемое. Интенсивность ≤ 8000 приведенных автомобилей в сутки. Количество съезжающих сквозного движения или въезжающих автомобилей < 200 приведенных автомобилей в сутки
| ||||
|
Дорога обычного типа III |
- |
- |
- |
- |
Тип 3-А-1. Регулируемое или нерегулируемое. Интенсивность ≤ 8000 приведенных автомобилей в сутки
|
Тип 3-Б-1. Регулируемое или нерегулируемое. Интенсивность ≤ 8000 приведенных автомобилей в сутки. Количество съезжающих сквозного движения или въезжающих автомобилей ≥ 200 приведенных автомобилей в сутки
|
Тип 3-Г-1. Регулируемое или нерегулируемое
| |
|
- |
Тип 3-В-1. Регулируемое или нерегулируемое. Интенсивность ≤ 8000 приведенных автомобилей в сутки. Количество съезжающих сквозного движения или въезжающих автомобилей < 200 приведенных автомобилей в сутки
| |||||||
|
Дорога обычных типов IV, IVA-p, IVБ-p, IVA-п, IVБ-п |
- |
- |
- |
- |
- |
Тип 4-А-1. Регулируемое или нерегулируемое. Интенсивность > 2000 приведенных автомобилей в сутки
| ||
|
- |
Тип 4-Б-1. Регулируемое или нерегулируемое. Интенсивность ≤ 2000 приведенных автомобилей в сутки
| |||||||
|
Дорога обычных типов V, VA, VБ |
- |
- |
- |
- |
- |
- |
Тип 4-Б-1. Нерегулируемое. Интенсивность ≤ 2000 приведенных автомобилей в сутки
| |
|
Категория главной дороги |
Тип примыкания для категории второстепенной дороги | |||||||
|
Автомагистраль 1А |
Скоростная дорога IБ |
Дорога обычного типа IB |
Дорога обычного типа II |
Дорога обычного типа III |
Дорога обычных типов IV, IVA-p, IVБ-p, IVA-п, IVБ-п |
Дорога обычных типов V, VA, VБ | ||
|
Автомагистраль 1А |
- |
- |
- |
- |
- |
- | ||
|
Скоростная дорога IБ |
- |
- |
- |
- |
- |
Тип 1-Б-2. Нерегулируемое. Количество съезжающих или въезжающих автомобилей < 50 приведенных автомобилей в сутки
| ||
|
Дорога обычного типа IB |
- |
- |
Тип 1-А-2. Регулируемое или нерегулируемое. В зоне от примыкания до разворота < 1800 ** приведенных автомобилей в час на одну полосу движения
|
Тип 1-А-2. Регулируемое или нерегулируемое. Количество съезжающих или въезжающих автомобилей ≥ 50 приведенных автомобилей в сутки
| ||||
|
- |
Тип 1-Б-2. Регулируемое или нерегулируемое. Количество съезжающих или въезжающих автомобилей < 50 приведенных автомобилей в сутки
| |||||||
|
Дорога обычного типа II |
- |
- |
- |
Тип 2-А-2. Регулируемое или нерегулируемое
|
Тип 2-А-2. Регулируемое или нерегулируемое. Интенсивность сквозного движения ≤ 8000 приведенных автомобилей в сутки. Количество съезжающих или въезжающих автомобилей ≥ 200 приведенных автомобилей в сутки
| |||
|
- |
Тип 2-В-2. Нерегулируемое, с полосой разгона левого поворота < 1800 приведенных автомобилей в час на одну полосу движения
|
Тип 2-Б-2. Регулируемое или нерегулируемое. Интенсивность≤ 8000 приведенных автомобилей в сутки. Количество съезжающих сквозного движения или въезжающих автомобилей < 200 приведенных автомобилей в сутки
| ||||||
|
Дорога обычного типа III |
- |
- |
- |
- |
Тип 3-А-2. Регулируемое или нерегулируемое. Интенсивность ≤ 8000 приведенных автомобилей в сутки
|
Тип 3-Б-2. Регулируемое или нерегулируемое. Интенсивность ≤ 8000 приведенных автомобилей в сутки. Количество съезжающих или въезжающих автомобилей ≥ 200 приведенных автомобилей в сутки
|
Тип 3-Г-2. Регулируемое или нерегулируемое
| |
|
- |
Тип 3-В-1. Регулируемое или нерегулируемое. Интенсивность ≤ 8000 приведенных автомобилей в сутки. Количество съезжающих сквозного движения или въезжающих автомобилей < 200 приведенных автомобилей в сутки
| |||||||
|
Дорога обычных типов IV, IVA-p, IVБ-p, IVA-п, IVБ-п |
- |
- |
- |
- |
Тип 4-А-2. Регулируемое или нерегулируемое. Интенсивность > 2000 приведенных автомобилей в сутки
| |||
|
- |
- |
Тип 4-Б-2. Регулируемое или нерегулируемое. Интенсивность ≤ 2000 приведенных автомобилей в сутки
| ||||||
|
Дорога обычных типов V, VA, VБ |
- |
- |
- |
- |
- |
Тип 4-Б-2. Нерегулируемое. Интенсивность ≤ 2000 приведенных автомобилей в сутки
| ||
Примечания к таблицам А.1 и А.2
1 В таблицах А.1 и А.2 представлены принципиальные схемы пересечений и примыканий, число полос движения следует уточнять согласно положениям настоящего стандарта.
2 Представленные схемы для пересечений и примыканий под углом менее 70° применяют с учетом особенностей, изложенных в 6.1.
3 Необходимость устройства канализированных и параметры полос для правого и левого поворотов уточняют на основе часовой пиковой интенсивности движения и иных условий поворотного движения.
4 Вид пересечения с отнесенными разворотами уточняют на основе интенсивности движения и иных условий поворотного движения.
5 При изменении на пересечении категории второстепенной дороги следует руководствоваться правилами для устройства примыканий отдельно для каждого участка второстепенной дороги.
6 При превышении значений интенсивности сквозного движения по главной дороге может быть добавлена полоса сквозного движения на регулируемом пересечении.
Приложение Б
(рекомендуемое)
Б.1 Примеры для исправления формы пересечения в одном уровне с выделением основного направления движения приведены на рисунке Б.1.

а) Нерекомендуемая форма пересечения в одном уровне (нет связи между геометрией пересечения в одном уровне и организацией главного направления)

б) Минимальная требуемая корректировка пересечения в одном уровне
Рисунок Б.1, лист 1 - Примеры для исправления формы пересечения в одном уровне с выделением основного направления движения

1 - знак, определяющий приоритет при проезде перекрестка
в) Рекомендуемая корректировка пересечения в одном уровне
Рисунок Б.1, лист 2
Приложение В
(рекомендуемое)
В.1 Нерегулируемое пересечение
В.1.1 Базовая пропускная способность
Базовую пропускную способность второстепенного х-го потока приведенных автомобилей в час Gx, вычисляют по формуле
,
(В.1)
где qр - интенсивность движения приоритетного направления (поток 1-го ранга), приведенных автомобилей в час;
е - основание натурального логарифма, математическая константа, приблизительно равно 2,71828;
tg - средний граничный интервал, с (см. таблицу В.1);
tf - средний интервал следования, с (см. таблицу В.2).
Базовую пропускную способность определяют для всех второстепенных потоков 2-4-го рангов. Далее значения базовой пропускной способности потоков 3-го и 4-го рангов корректируют. То есть базовые значения умножают на вероятность отсутствия транспортных средств:
- потоков 2-го ранга для потоков 3-го ранга;
- потоков 2-го и 3-го рангов для потоков 4-го ранга.
B.1.2 Средняя задержка
Среднюю задержку d, с, вычисляют по формуле
,
(В.2)
где Vx - интенсивность движения рассматриваемого второстепенного потока, приведенных автомобилей в час;
Сmx - пропускная способность рассматриваемого второстепенного направления движения на нерегулируемом пересечении, приведенных автомобилей в час;
Т - продолжительность анализируемого периода, доля часа (например, Т = 0,25 для периода 15 мин).
В.1.3 Длина очереди 95 %-ной обеспеченности
Длину очереди 95 %-ной обеспеченности Q95, м, вычисляют по формуле
.
(В.3)
|
Направление |
Граничный интервал tg, с | ||
|
вне застроенной территории |
на застроенной территории | ||
|
Поток направо присутствует |
Поток направо отсутствует | ||
|
Налево с главного направления |
6,0 |
5,5 |
5,5 |
|
Направо с второстепенного направления |
6,5 |
6,5 | |
|
Прямо с второстепенного направления |
6,5 |
6,5 | |
|
Налево из второстепенного направления |
6,6 |
6,6 | |
|
Прямо и налево с второстепенного направления для случая одностороннего движения |
5,6 |
5,6 | |
|
Направление |
Интервалы следования tf, с | ||
|
вне застроенной территории |
на застроенной территории | ||
|
Поток направо присутствует |
Поток направо отсутствует | ||
|
Налево из главного направления |
2,9 |
2,6 |
2,6 |
|
Направо из второстепенного направления |
3,1 |
3,1 |
3,7 |
|
Прямо из второстепенного направления |
3,5 |
3,5 |
4,0 |
|
Налево из второстепенного направления |
3,4 |
3,4 |
3,8 |
|
Прямо и налево из второстепенного направления для случая одностороннего движения |
3,4 |
3,4 |
3,8 |
В.2 Регулируемое пересечение
В.2.1 Пропускная способность
Пропускную способность Pji группы полос j в течение фазы регулирования i, приведенных автомобилей в час, вычисляют по формуле
,
(В.4)
где Sji - поток насыщения группы полос j в течение фазы регулирования i, приведенных автомобилей в час;
gi - эффективная длительность фазы регулирования i, с;
С - длительность цикла регулирования, с.
Для расчета пропускной способности одной полосы движения необходимо разделить пропускную способность группы полос Pji на число полос движения в группе.
В.2.2 Средняя задержка
Среднюю задержку регулирования на один легковой автомобиль d, с, на один приведенный автомобиль, вычисляют по формуле
d=d1(Kпр)+d2,
(В.5)
где Kпр - коэффициент прогрессии для стандартной задержки, учитывающий прогрессию регулирования (т.е. степень координации с предыдущим пересечением и наличие пачек в потоке) (см. таблицу В.3);
d1 - стандартная задержка, предполагающая одинаково повторяющееся прибытие автомобилей к пересечению, с, на один приведенный автомобиль, вычисляемая по формуле
,
(В.6)
где С - длительность цикла регулирования, с;
g - длительность зеленого сигнала, с;
X - уровень загрузки для рассматриваемой группы полос движения (коэффициент насыщения);
d2 - дополнительная задержка, учитывающая случайность прибытия автомобилей, с, вычисляемая по формуле
,
(В.7)
где Т - продолжительность анализируемого периода, доля ч;
k - коэффициент, учитывающий влияние адаптивного регулирования на величину дополнительной задержки;
I - коэффициент, учитывающий удаленность предыдущего (по направлению движения) регулируемого пересечения от рассматриваемого.
Примечания
1 Коэффициент прогрессии Kпр - данные (таблица В.3) для шести типов прибытия автомобилей (таблица В.4). Если пересечение рассматривается как изолированное, то Kпр = 1.
2 Коэффициент k - данные (таблица В.5), применяемые только при координированном регулировании (зеленая волна).
3 Коэффициент I - данные (таблица В.6), применяемые только для близко расположенных регулируемых пересечений.
|
Относительная продолжительность разрешающего сигнала светофора (g/С) |
Значения коэффициента профессии Kпр для типа прибытия ТП (таблица В.4) | |||||
|
ТП 1 |
ТП 2 |
ТП 3 |
ТП 4 |
ТП 5 |
ТП 6 | |
|
0,2 |
1,167 |
1,007 |
1,000 |
1,000 |
0,833 |
0,750 |
|
0,3 |
1,286 |
1,063 |
1,000 |
0,986 |
0,714 |
0,571 |
|
0,4 |
1,445 |
1,136 |
1,000 |
0,895 |
0,555 |
0,333 |
|
0,5 |
1,667 |
1,240 |
1,000 |
0,767 |
0,333 |
0,000 |
|
0,6 |
2,001 |
1,395 |
1,000 |
0,576 |
0,000 |
0,000 |
|
0,7 |
2,556 |
1,653 |
1,000 |
0,256 |
0,000 |
0,000 |
|
Тип прибытия ТП |
Диапазон значений показателя качества прогрессии Kр, по результатам натурных обследований |
Значения показателя качества прогрессии Kр для вновь проектируемых пересечений |
Качество прогрессии |
|
ТП 1 |
От 0,50 включ. |
0,333 |
Очень низкое |
|
ТП 2 |
Св. 0,50-0,85 включ. |
0,667 |
Низкое |
|
ТП 3 |
Св. 0,85-1,15 включ. |
1,000 |
Случайное прибытие |
|
ТП 4 |
Св. 1,15-1,50 включ. |
1,333 |
Высокое |
|
ТП 5 |
Св. 1,50-2,00 включ. |
1,667 |
Очень высокое |
|
ТП 6 |
Св. 2,00 |
2,000 |
Исключительное |
Примечания
1 Показатель качества прогрессии Kр является отношением доли транспортных средств, прибывающих к перекрестку на зеленый сигнал Р, к доле зеленого сигнала в цикле g/С рассматриваемой группы полос:
.
(В.8)
2 Для вновь проектируемых перекрестков доля транспортных средств Р, прибывающих на зеленый сигнал, вычисляют с учетом прогнозируемого качества профессии по формуле
.
(В.9)
|
Регулирование |
Коэффициент k для уровня загрузки X | |||||
|
≤ 0,5 |
0,6 |
0,7 |
0,8 |
0,9 |
21,0 | |
|
Экипажное время при адаптивном регулировании, с: | ||||||
|
≤ 2,0 |
0,04 |
0,13 |
0,22 |
0,32 |
0,41 |
0,50 |
|
2,5 |
0,08 |
0,16 |
0,25 |
0,33 |
0,42 |
0,50 |
|
3,0 |
0,11 |
0,19 |
0,27 |
0,34 |
0,42 |
0,50 |
|
3,5 |
0,13 |
0,20 |
0,28 |
0,35 |
0,43 |
0,50 |
|
4,0 |
0,15 |
0,22 |
0,29 |
0,36 |
0,43 |
0,50 |
|
4,5 |
0,19 |
0,25 |
0,31 |
0,38 |
0,44 |
0,50 |
|
5,0 |
0,23 |
0,28 |
0,34 |
0,39 |
0,45 |
0,50 |
|
Жесткое регулирование |
0,50 |
0,50 |
0,50 |
0,50 |
0,50 |
0,50 |
|
Уровень загрузки на предыдущем пересечении Хпр |
0,40 |
0,40 |
0,60 |
0,70 |
0,80 |
0,90 |
21,0 |
|
I |
0,922 |
0,858 |
0,769 |
0,650 |
0,500 |
0,314 |
0,090 |
В.2.3 Длина очереди
Среднюю длину очереди Q приведенных автомобилей вычисляют по формуле
Q=Q1+Q2,
(В.10)
где Q1 - первая составляющая длины очереди, приведенных автомобилей, вычисляемая по формуле
,
(В.11)
где Q2 - вторая составляющая длины очереди, приведенных автомобилей, вычисляемая по формуле
,
(В.12)
где С - длительность цикла регулирования, с;
g - длительность зеленого сигнала, с;
Nп - интенсивность движения, приходящаяся на одну полосу в группе, приведенных автомобилей в час;
Сп - пропускная способность полосы рассматриваемой группы полос, приведенных автомобилей в час;
Хп - уровень загрузки полосы;
kp - дополнительный коэффициент приведения, вычисляемый по формулам:
- без адаптивного регулирования; (В.13)
- с адаптивным регулированием, (В.14)
где I - коэффициент, учитывающий тип прибытия автомобилей к пересечению;
Sп - поток насыщения полосы рассматриваемой группы полос, приведенных автомобилей в час.
Приложение Г
(рекомендуемое)
Размеры в метрах

Рисунок Г.1 - Пример построения закругления с отгонами уширения и с единой круговой кривой
Размеры в метрах

Рисунок Г.2 - Пример построения закругления с серией круговых кривых из трех частей

Рисунок Г.3 - Пример построения закругления с серией круговых кривых из трех частей
Приложение Д
(рекомендуемое)
Д.1 При установке светофоров должно быть обеспечено минимальное расстояние видимости до транспортных светофоров, дополнительных секций светофоров и пешеходных светофоров по ГОСТ Р 52289.
Размещение светофоров должно обеспечивать попадание их сигналов в сектор обзора водителя автомобиля независимо от конфигурации геометрических параметров проезжей части и совершаемого маневра.
Расстояние видимости до светофора должно быть не менее, чем сумма минимального расстояния видимости для остановки Sост плюс расстояние от стоп-линий светофора до самого дальнего светофора.
Светофор должен находиться в зоне, охватываемой углом не более 20°, отсчитываемым вправо и влево от направления взгляда водителя прямо по ходу движения (рисунок Д.1). Расположение водителя принимается на центре проезжей части (при числе полос движения не более двух) или каждой полосы движения соответствующего направления, на расстоянии 3 м до стоп-линий.
Минимальное расстояние от стоп-линий, на котором допускается размещение светофора над полосой движения, составляет 12 м.
Рекомендуемое расстояние размещения от стоп-линий светофоров с диаметром сигналов 200 - до 35 м. Максимальное расстояние размещения от стоп-линий светофоров с диаметром сигналов 200 мм составляет 45 м.
Рекомендуемое расстояние размещения от стоп-линий светофоров с диаметром сигналов 300 мм составляет от 35 до 55 м.
Максимальная высота установки верхнего сигнала светофора над покрытием проезжей части дороги ограничивается и регламентируется ограничением видимости светофора водителем. Максимальная высота расположения сигнала светофора, расположенного на расстоянии от 12 до 16 м за линией остановки на светофоре, приведена на рисунке Д.2.
Размеры в метрах

──────────────────────────────
* Минимальное расстояние от стоп-линий до светофора.
** Максимальное расстояние от стоп-линий для светофоров с диаметром выходной апертуры секций 200 мм, если не используется дополнительная секция с левой стороны.
*** Максимальное расстояние от стоп-линий для светофоров с диаметром выходной апертуры секций 200 мм, если используется дополнительная секция с левой стороны.
*4 Максимальное расстояние от стоп-линий для светофоров с диаметром выходной апертуры секций 300 мм, если не используется дополнительная секция с левой стороны.
──────────────────────────────
- зона расположения светофора при диаметре выходной апертуры секций 200 или 300 мм;
- зона расположения светофора при диаметре выходной апертуры секций 300 мм и отсутствии дополнительной секции с левой стороны;
- зона расположения светофора при диаметре выходной апертуры секций 300 мм
Рисунок Д.1 - Зона нахождения светофора

Рисунок Д.2 - Максимальная высота установки верхнего сигнала светофора над проезжей частью в зависимости от расстояния до стоп-линий
Библиография
|
[1] |
Технический регламент Таможенного союза TP ТС 018/2011 |
О безопасности колесных автомобилей |


































