электронный сборник нормативных документов по строительству
Обновления
18.04.2026 23:02
электронный сборник нормативных документов по строительству

ПНСТ 482-2020 НЕФТЯНАЯ И ГАЗОВАЯ ПРОМЫШЛЕННОСТЬ. СИСТЕМЫ ПОДВОДНОЙ ДОБЫЧИ. МЕТОДИЧЕСКИЕ УКАЗАНИЯ ПО ПРОЕКТИРОВАНИЮ ОБОРУДОВАНИЯ ИЗ ДУПЛЕКСНОЙ НЕРЖАВЕЮЩЕЙ СТАЛИ ДЛЯ ПРЕДОТВРАЩЕНИЯ ВОДОРОДНОГО РАСТРЕСКИВАНИЯ

Утв. и введен в действие приказом Федерального агентства по техническому регулированию и метрологии от 18 декабря 2020 г. N 98-пнст
Предварительный национальный стандарт ПНСТ 482-2020
"НЕФТЯНАЯ И ГАЗОВАЯ ПРОМЫШЛЕННОСТЬ. СИСТЕМЫ ПОДВОДНОЙ ДОБЫЧИ. МЕТОДИЧЕСКИЕ УКАЗАНИЯ ПО ПРОЕКТИРОВАНИЮ ОБОРУДОВАНИЯ ИЗ ДУПЛЕКСНОЙ НЕРЖАВЕЮЩЕЙ СТАЛИ ДЛЯ ПРЕДОТВРАЩЕНИЯ ВОДОРОДНОГО РАСТРЕСКИВАНИЯ"

Petroleum and natural gas industry. Subsea production systems. Methodology guide for design of duplex stainless steel equipment to prevent hydrogen induced cracking

ОКС 75.020

Срок действия - с 1 августа 2021 г.
до 1 августа 2024 г.

Предисловие

1 Разработан Обществом с ограниченной ответственностью "Газпром 335" (ООО "Газпром 335")

2 Внесен Техническим комитетом по стандартизации ТК 023 "Нефтяная и газовая промышленность"

3 Утвержден и введен в действие Приказом Федерального агентства по техническому регулированию и метрологии от 18 декабря 2020 г. N 98-пнст

Введение

Создание и развитие отечественных технологий и техники для освоения шельфовых нефтегазовых месторождений должно быть обеспечено современными стандартами, устанавливающими требования к проектированию, строительству и эксплуатации систем подводной добычи. Для решения данной задачи Министерством промышленности и торговли Российской Федерации и Федеральным агентством по техническому регулированию и метрологии реализуется "Программа по обеспечению нормативной документацией создания отечественной системы подводной добычи для освоения морских нефтегазовых месторождений". В объеме работ программы предусмотрена разработка национальных стандартов и предварительных национальных стандартов, областью применения которых являются системы подводной добычи углеводородов.

1 Область применения

1.1 Настоящие методические указания предназначены для проектирования конструкционных элементов, изготовленных из дуплексных нержавеющих сталей (см. также [1]), для подводного оборудования, находящегося в условиях работы системы электрохимической защиты (ЭХЗ) с применением протекторов или наложенным током.

1.2 Настоящие методические указания включают в себя ограничения, связанные с наличием сварных швов и других концентраторов напряжений, а также критерии оценки риска возникновения водородного растрескивания под напряжением, включающие предельно допустимые напряжения и деформации.

2 Нормативные ссылки

В настоящем стандарте использованы нормативные ссылки на следующие стандарты:

ГОСТ Р ИСО 3452-1 Контроль неразрушающий. Проникающий контроль. Часть 1. Основные требования

ГОСТ Р ИСО 17637 Контроль неразрушающий. Визуальный контроль соединений, выполненных сваркой плавлением

Примечание - При пользовании настоящим стандартом целесообразно проверить действие ссылочных стандартов в информационной системе общего пользования - на официальном сайте Федерального агентства по техническому регулированию и метрологии в сети Интернет или по ежегодному информационному указателю "Национальные стандарты", который опубликован по состоянию на 1 января текущего года, и по выпускам ежемесячного информационного указателя "Национальные стандарты" за текущий год. Если заменен ссылочный стандарт, на который дана недатированная ссылка, то рекомендуется использовать действующую версию этого стандарта с учетом всех внесенных в данную версию изменений. Если заменен ссылочный стандарт, на который дана датированная ссылка, то рекомендуется использовать версию этого стандарта с указанным выше годом утверждения (принятия). Если после утверждения настоящего стандарта в ссылочный стандарт, на который дана датированная ссылка, внесено изменение, затрагивающее положение, на которое дана ссылка, то это положение рекомендуется применять без учета данного изменения. Если ссылочный стандарт отменен без замены, то положение, в котором дана ссылка на него, рекомендуется применять в части, не затрагивающей эту ссылку.

3 Термины и определения

В настоящем стандарте применены следующие термины с соответствующими определениями:

3.1 дуплексная сталь (duplex steel): Нержавеющая сталь с двухфазной феррито-аустенитной структурой.

3.2 водородное растрескивание под напряжением (hydrogen induced stress cracking): Растрескивание, возникающее при одновременном воздействии нагрузки и диффузии в металл водорода, возникающего на поверхности стали при катодной поляризации.

3.3 нагружение (load): Любое воздействие, вызывающее напряжение, деформацию, перемещение, движение и т.п. в оборудовании или системе.

3.4 остаточные напряжения (residual stress): Напряжения, возникающие в металле при механическом и тепловом воздействии, а также в ходе производства стали, которые сохраняются в изделии при отсутствии внешней нагрузки.

3.5 остаточная деформация (residual strain): Деформация, остающаяся после снятия внешней нагрузки.

3.6 сопротивление (resistance): Способность конструкции или ее части противостоять действию нагрузок.

3.7 нормативное минимальное значение временного сопротивления (specified minimum tensile strength): Минимальное временное сопротивление, установленное в технических условиях или стандартах на материал.

3.8

нормативное минимальное значение предела текучести (Specified Minimum Yield Stress, SMYS): Минимальный предел текучести, установленный в технических условиях или стандартах на материал.

[ГОСТ Р 54382-2011, пункт 3.103]

4 Обозначения

В настоящем стандарте приведены следующие обозначения:

α - понижающий коэффициент, учитывающий влияние остаточных напряжений;

αL - температурный коэффициент линейного расширения, °С -1;

β - понижающий коэффициент, учитывающий расположение сварного шва по отношению к геометрическому концентратору;

εc - максимально допустимая поверхностная деформация, %;

εmem - нелинейная мембранная деформация, %;

εpeak - пиковая поверхностная деформация, %;

μ - коэффициент Пуассона;

γ - коэффициент, учитывающий влияние микроструктуры стали;

σmax - максимальное главное напряжение, действующее на поверхности, МПа;

σlin - сумма мембранных и общих изгибных напряжений, осредненная по толщине стенки, МПа;

σhoop - окружное напряжение, определяемое при расчете трубопровода на прочность, МПа;

σaxial - осевое напряжение, определяемое при расчете трубопровода на прочность, МПа;

σbending,m - общее напряжение при изгибе, основанное на моменте сопротивления на срединном радиусе, МПа;

σbending,o - общее напряжение при изгибе, основанное на моменте сопротивления на наружном радиусе, МПа;

σmem,long - мембранное напряжение, действующее в продольном направлении, МПа;

σout,long - максимальное напряжение по сечению элемента, действующее в продольном направлении, МПа;

σmem,hoop - мембранное напряжение, действующее в окружном направлении, МПа;

σout,hoop - максимальное напряжение по сечению элемента, действующее в окружном направлении, МПа;

σlong,max - максимальное осевое напряжение, определяемое при расчете трубопровода на прочность, МПа;

σtherm - температурное напряжение, МПа;

С - концентрация водорода на поверхности металла, ppmw;

C b - концентрация водорода в объеме металла, ppmw;

C int - концентрация водорода на внутренней поверхности конструкционного элемента, ppmw;

D - коэффициент диффузии, мм 2/с;

E - модуль упругости, МПа;

L res - длина зоны влияния остаточных напряжений, возникающих при сварке, мм;

L tran - расстояние между геометрическим концентратором и границей перехода шва к основному металлу, мм;

LSPF cat1 - понижающий коэффициент, учитывающий геометрию поверхности конструкционного элемента при оценке 1-й категории;

LSMF cat2 - повышающий коэффициент, компенсирующий завышенное значение коэффициентов концентрации напряжений при оценке 2-й категории;

R - наружный радиус трубопровода, мм;

S mag - коэффициент увеличения номинальных напряжений, рассчитанных без учета геометрических концентраторов и/или отклонения от соосности конструкционного элемента;

SCF - коэффициент концентрации напряжений;

SCF analytical - коэффициент концентрации напряжений, определяемый при аналитической линейно-упругой оценке;

SMYS - нормативный минимальный предел текучести, скорректированный по температуре, МПа;

t - толщина стенки, мм;

T K - температура в области, для которой рассчитывается коэффициент диффузии, °С;

ΔТ - температурный градиент по фактической толщине стенки конструкционного элемента, °С.

5 Основные принципы проектирования

5.1 Общие положения

При определении допустимых напряжений и деформаций для оценки риска возникновения водородного растрескивания под напряжением следует учитывать проектные значения рабочего давления и значения давления при проведении подводных испытаний.

При оценке риска возникновения водородного растрескивания под напряжением на этапе проектировании следует учитывать, как минимум, следующие условия:

количество угловых сварных швов, острых кромок и других концентраторов напряжений должно быть минимизировано;

для внутренней поверхности конструкционных элементов, не контактирующих с морской водой, оценка риска возникновения водородного растрескивания под напряжением не требуется, если стенки элемента обладают толщиной, достаточной для затруднения диффузии водорода в больших количествах;

трубки с наружным диаметром не более 50 мм, включая сварные тройники (изготовленные из труб, полученных экструзией) и обжимные соединительные детали, не требуют оценки при условии, что области, подвергающиеся холодной гибке, находятся вне зоны влияния остаточных сварочных напряжений L res;

- для конструкционных элементов, подвергнутых значительной холодной деформации, оценку следует проводить с учетом требований 8.2.2.3;

для конструкционных элементов, на поверхности которых возникают преимущественно сжимающие напряжения, оценка риска водородного растрескивания под напряжением не требуется;

для конструкционных элементов, не находящихся в условиях работы системы ЭХЗ, оценка риска водородного растрескивания под напряжением не требуется.

5.2 Выбор категории оценки риска водородного растрескивания под напряжением

5.2.1 В настоящем стандарте представлены два вида оценки риска водородного растрескивания под напряжением. Оценка категории 1-1 предназначена для конструкционных элементов, обладающих осевой симметрией, а также элементов, для которых имеется аналитическое решение при расчетах на прочность. Для конструкционных элементов со сложной геометрией, для которых отсутствует аналитическое решение при расчете на прочность, следует применять оценку 2-й категории.

5.2.2 Оценку категории 1-1 следует применять для труб. Также оценку 1-й категории допускается применять для деталей трубопроводов, корпусов датчиков и других элементов, соответствующих условиям 5.1.

5.2.3 Оценку 2-й категории следует применять для соединительных муфт, многофазных расходомеров, втулок и трубопроводной арматуры. Также оценку 2-й категории следует применять для элементов, не соответствующих условиям 5.1.

6 Действующие нагрузки

6.1 Учитываемые нагрузки

Возможные изменения условий нагружения в течение всего срока эксплуатации должны быть учтены.

При оценке риска возникновения водородного растрескивания под напряжением следует учитывать как минимум следующее:

- нагрузки, возникающие за счет внешнего давления;

- нагрузки, возникающие за счет внутреннего избыточного давления;

- нагрузки, возникающие за счет термического расширения жестко закрепленных конструкционных элементов;

- нагрузки, возникающие при просадке грунта;

- нагрузки, возникающие в процессе монтажа;

- нагрузки, действующие на сварные соединения вблизи места заделки трубопровода;

- нагрузки, действующие на трубную обвязку из-за податливости опорных конструкций;

- нагрузки, возникающие при затяжке резьбовых соединений (до и после погружения конструкций в море);

- напряжения, возникающие в сварных соединениях жестко закрепленных конструкционных элементов.

6.2 Кратковременные нагрузки

Кратковременные нагрузки (возникающие при падении объектов, ударах о рыболовные тралы, зацеплениях с якорями, сейсмической активности и т.п.), со сроком действия менее одной минуты, допускается не учитывать.

Если кратковременная нагрузка может приводить к возникновению остаточных напряжений или пластической деформации конструкционных элементов или к изменению состояния грунта, то такую нагрузку следует учитывать при оценке риска возникновения водородного растрескивания под напряжением. Требования к допустимым уровням напряжений и деформаций, возникающим в результате кратковременных нагрузок, должны быть установлены в проекте.

6.3 Нагрузки, возникающие при установке

Напряжения или деформации, возникающие в конструкционных элементах при установке, не должны превышать допустимые значения, полученные при оценке риска возникновения водородного растрескивания под напряжением.

Нагрузки при установке, в том числе при врезке, со сроком действия менее одной минуты, могут иметь более высокие значения, чем полученные при оценке риска возникновения водородного растрескивания под напряжением.

6.4 Температурные напряжения

При оценке допустимых напряжений и деформаций следует учитывать тепловое расширение и температурный градиент, возникающие по всей толщине стенки элемента конструкции.

Если скорость потока флюида и другие параметры для рабочего режима неизвестны, то при расчетах следует использовать максимальные значения.

7 Особенности конструкции

7.1 Толщина стенки

Оценку риска возникновения водородного растрескивания под напряжением следует проводить, исходя из минимальной толщины стенки элемента конструкции. Необходимо учитывать минусовой допуск, уменьшение толщины по причине коррозии и/или эрозии, а также утонение стенки при гибке.

7.2 Сварные соединения

Поперечные сварные швы должны быть максимально удалены от других концентраторов напряжений, обусловленных геометрией конструкционного элемента. Не допускается наличие поперечных сварных швов в местах резкого перехода (ступеньки), а также в местах с галтелью малого радиуса. Напряжения в поперечных сварных швах, возникающие при рабочих нагрузках в ходе эксплуатации, не должны превышать 50 % от допустимых значений напряжений, рассчитанных при оценке риска возникновения водородного растрескивания под напряжением.

Не допускается наличие угловых сварных швов на конструкционных элементах, работающих под избыточным давлением. Все сварочные процедуры для угловых швов должны быть аттестованы. Каждый угловой сварной шов должен быть подвергнут визуальному контролю по ГОСТ Р ИСО 17637 и проникающему контролю по ГОСТ Р ИСО 3452-1.

При оценке напряжений, возникающих при эксплуатации в угловых швах, применяемых для приварки подкладных пластин, необходимо учитывать, что рабочее давление и температура в разной степени воздействуют на конструкционный элемент и подкладную пластину.

7.3 Резьбовые соединения

Не допускается применение дуплексных нержавеющих сталей в качестве материала для крепежных изделий, применяемых в условиях работы системы ЭХЗ.

Допускаются резьбовые отверстия в конструкционных элементах из дуплексных нержавеющих сталей, применяемых в условиях работы системы ЭХЗ.

8 Оценка риска возникновения водородного растрескивания под напряжением

8.1 Учет влияния свойств применяемых материалов при оценке

Для оценки 1-й категории следует использовать следующие значения нормативного минимального предела текучести с последующей температурной корректировкой:

- 450 МПа для дуплексной нержавеющей стали типа 22Cr;

- 550 МПа для дуплексной нержавеющей стали типа 25Cr.

Нормативные минимальные значения предела текучести и временного сопротивления, применяемые при оценке 1-й и 2-й категорий должны быть скорректированы по температуре. Применяемые для оценки кривые "напряжение-деформация" также должны быть скорректированы по температуре. Температурная корректировка должна быть основана на требованиях, изложенных в нормативной документации на проектирование или на результатах испытаний материала из дуплексных нержавеющих сталей.

Для оценки 2-й категории допускается использовать более высокие значения прочностных свойств, полученных при испытаниях в соответствии с рекомендациями раздела А.2, приложения А.

Нормативное минимальное значение предела текучести для металла сварного шва следует принимать равным значению данной величины для основного металла.

Для учета влияния микроструктуры стали необходимо применять коэффициенту, значение которого зависит от расстояния между аустенитными зернами и приведено в таблице 1 (см. также [1]).

Таблица 1 - Значение коэффициента γ в зависимости от расстояния между аустенитными зернами

Расстояние между аустенитными зернами

γ

Не более 30 мкм

1,00

Не менее 30 мкм

0,85

Допускается принимать расстояние между аустенитными зернами равным менее 30 мкм:

для конструкционных элементов, изготовленных из заготовок, полученных методом горячего изостатического прессования;

- конструкционных элементов, изготовленных из листового проката, толщиной менее 25 мм (в т. ч. для труб и деталей трубопроводов);

- металла шва (значение расстояния между аустенитными зернами для металла зоны термического влияния принимается равным расстоянию для основного металла);

- бесшовных труб.

Для остальных конструкционных элементов расстояние между аустенитными зернами следует устанавливать, исходя из металлографических исследований, а при отсутствии таковых - принимать равным не менее 30 мкм при расчетах. При определении расстояния между аустенитными зернами (см. также [2], раздел 17).

8.2 Оценка 1-й категории

Оценка заключается в сравнении значений действующих в конструкционном элементе напряжений со значением предела текучести материала, откорректированного с помощью поправочных коэффициентов, учитывающих структуру стали и наличие концентраторов напряжений. Эквивалентные напряжения по Мизесу не допускается использовать при расчетах для оценки риска водородного растрескивания под напряжением.

8.2.1 Определение значений действующих напряжений

Для проведения оценки должны быть рассчитаны значения мембранных напряжений, максимальных напряжений по сечению элемента и температурных напряжений.

8.2.1.1 Мембранное напряжение

Мембранное напряжение представляет собой среднее по толщине стенки напряжение. Мембранное напряжение, действующее в продольном направлении σmem,long, МПа, рассчитывают по формуле

σmem,long = σaxial + σbending,m.

(1)

Мембранное напряжение, действующее в окружном направлении σmem,long, МПа, принимается равным окружному напряжению, определяемому при расчете трубопровода на прочность σhoop, МПа:

σmem,hoop = σhoop.

(2)

8.2.1.2 Максимальное напряжение по сечению элемента в продольном направлении

Максимальное напряжение по сечению элемента, действующее в продольном направлении σout,long, МПа, принимают равным наибольшему осевому напряжению σlong,max, МПа или рассчитывают по формуле

σout,long = σaxial + σbending,o = σlong,max.

(3)

8.2.1.3 Максимальное напряжение по сечению элемента в окружном направлении

Максимальное напряжение по сечению элемента, действующее в окружном направлении σout,hoop, МПа, принимается равным окружному напряжению, определяемому при расчете трубопровода на прочность σhoop, МПа:

σout,hoop = σhoop.

(4)

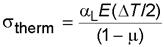
8.2.1.4 Температурное напряжение

Температурные напряжения допускается не учитывать для конструкционных элементов с теплоизоляционным покрытием, а также при оценке напряжений, возникающих на стороне конструкционного элемента, контактирующей с флюидом.

Температурное напряжение σtherm, МПа, рассчитывают по формуле

image001.jpg.

(5)

Данная формула применима к трубам, для которых отношение наружного диаметра к толщине стенки имеет значение не менее 15. Для труб с отношением наружного диаметра к толщине стенки менее 15, расчет напряжений по данной формуле приведет к менее консервативной оценке.

8.2.2 Определение поправочных коэффициентов

8.2.2.1 Коэффициент, учитывающий увеличение напряжений.

Для учета дополнительного изгибающего момента, возникающего на геометрическом концентраторе (в местах сопряжения поверхностей переходов) и/или при наличии отклонения от соосности элемента, по отношению к напряжениям, действующим на поверхности, следует применять коэффициент S mag, определяемый с помощью аналитических выражений при расчетах трубопровода или другого оцениваемого элемента на прочность. Данный коэффициент не учитывает наличие галтелей и концентраторов напряжений, уменьшающих толщину стенки.

Для напряжений, действующих в продольном направлении, значение коэффициента S mag, long следует рассчитывать с помощью выражений для определения коэффициентов концентрации напряжений (см. также [3]). Допускается при оценке использовать значение S mag = 2. Коэффициенты интенсивности напряжений в расчетах при оценке риска возникновения водородного растрескивания под напряжением использовать не допускается.

8.2.2.2 Коэффициент, учитывающий геометрию поверхности

Для учета дополнительного изгибающего момента, возникающего при наличии галтелей и других концентраторов напряжений, следует применять понижающий коэффициент LSFP cat1.

Значение LSPF cat1 может быть рассчитано с помощью аналитических выражений при расчетах трубопровода или другого оцениваемого элемента на прочность. Значение LSFP cat1 для категории 1 может также быть рассчитано с помощью методики, приведенной в разделе А.2 (приложение А).

Значение коэффициента равное LSPF cat1 = 3, следует применять:

- для галтелей с радиусом не менее 10 % от толщины стенки элемента;

- для переходов, выполненных механической обработкой, с радиусом сопряжения поверхностей более 1 мм;

- для границы перехода сварного шва к основному металлу.

Для сварных швов со снятым усилением при расчетах следует применять значение коэффициента, равное LSPF cat1 = 1.

8.2.2.3 Коэффициент, учитывающий остаточные напряжения

Для учета влияния остаточных напряжений, возникающих в пределах зоны длиной L res от центра сварного шва и при холодной деформации элементов, при оценке 1-й категории следует применять понижающий коэффициент α.

Длину зоны влияния остаточных напряжений, возникающих при сварке, L res, мм, (рисунок 1) рассчитывают по формуле

image002.jpg.

(6)

Следует учитывать только остаточные напряжения, параллельные к основным напряжениям, возникающим при эксплуатационных нагрузках (например, остаточные напряжения в поперечных сварных швах, действующие в окружном направлении и остаточные напряжения в продольных сварных швах, действующие вдоль сварного соединения, могут приниматься равными нулю, а значение понижающего коэффициента в таком случае допускается считать равным α = 1). Для элементов, для которых проводится только правка (например, холодная правка труб), понижающий коэффициент должен приниматься равным α = 1. Для конструкционных элементов, подвергаемых другим видам холодной деформации, значение понижающего коэффициента должно приниматься равным α = 0,9. При оценке элемента или его части, расположенной в пределах зоны L res, значение понижающего коэффициента должно также приниматься равным α = 0,9.

Понижающий коэффициент α не допускается применять для учета влияния остаточных напряжений, возникающих при ремонте сваркой (без проведения послесварочной термической обработки), а также для конструкционных элементов после значительной холодной деформации (степень деформации более 20 %).

image003.jpg

Рисунок 1 - Схематическое изображение зоны влияния остаточных напряжений, возникающих при сварке, длиной L res

8.2.2.4 Коэффициент, учитывающий расположение сварных швов, по отношению к геометрическому концентратору

Для учета близкого расположения сварного шва по отношению к месту сопряжения перехода должен применяться понижающий коэффициент β. Если расстояние между границей шва и основного металла и местом сопряжения перехода L tran (рисунок 2), мм, более 5 мм, то значение понижающего коэффициента должно приниматься равным β = 1.

image004.jpg

Рисунок 2 - Определение значений Ltran и угла перехода

Для остальных случаев значение понижающего коэффициента зависит от угла перехода (рисунок 2) и определяется согласно таблице 2.

Таблица 2 - Значение понижающего коэффициента β в зависимости от угла перехода

Угол перехода

β

Не более 30°

1,0

От 30° до 45°

0,9

Не менее 45°

0,8

8.2.3 Критерий оценки 1-й категории

Для мембранного напряжения σmem,i, МПа, действующего в продольном или окружном направлении должно выполняться условие:

σmem,i ≤ 0,8γ·SMYS.

(7)

Для максимального напряжения по сечению элемента в продольном или окружном направлении σout,i, МПа, должно выполняться условие:

σout,i·Smag,i + σterm ≤ α·β·γ·(1,1 – 0,07·LSPFcat1)·SMYS,

(8)

где Smag,i - коэффициент увеличения номинальных напряжений, действующих в продольном или окружном направлении и рассчитанных без учета геометрических концентраторов и/или отклонения от соосности конструкционного элемента.

Если оба условия выполняются, то конструкционный элемент может применяться в условиях работы системы ЭХЗ. В противном случае должна быть проведена оценка 2-й категории.

8.3 Оценка 2-й категории

Оценка 2-й категории заключается в сравнении значений, возникающих в конструкционном элементе деформаций, с предельно допустимым значением деформации, откорректированным с учетом геометрии поверхности. Для проведения данной оценки требуется упруго-пластический анализ геометрии конструкционного элемента методом конечных элементов. В разделе А.1 приложения А приведены рекомендации в части сходимости по сетке.

Для выполнения нелинейного анализа следует применять следующие характеристики:

- за предел пропорциональности принимается напряжение, соответствующее значению общей деформации 0,1 %;

- напряжение, соответствующее значению 0,3 % общей деформации, принимается равным значению 0,8 от нормативного минимального предела текучести;

- за минимальный нормативный предел текучести принимается значение напряжения, соответствующее значению общей деформации 0,5 %.

Используемая для расчетов кривая деформирования не должна ограничиваться значением общей деформации 0,5 %.

8.3.1 Расчет возникающих деформаций

8.3.1.1 Значение мембранной деформации εmem следует определять с помощью конечно-элементного расчета, как среднее значение деформации по толщине стенки конструкционного элемента. За толщину стенки должно приниматься минимальное расстояние от внутренней поверхности до наружной. Для конструкционных элементов со сложной геометрией следует рассчитывать деформацию, возникающую при воздействии наибольшего мембранного напряжения. При двухосном нагружении следует рассчитывать деформацию, возникающую под действием наибольшей нагрузки.

8.3.1.2 Значение максимальной деформации εpeak следует определять с помощью конечно-элементного расчета, как деформацию, возникающую под действием максимального главного напряжения на наружной поверхности в условиях работы системы ЭХЗ.

Для сварных соединений, обработанных с плавным переходом к основному металлу при расчетах радиус перехода шва к основному металлу рекомендуется принимать равным 2 мм, а для необработанных - 1 мм. Сварное соединение допускается не учитывать в расчете, при его расположении на расстоянии более 5 мм от галтели или другого геометрического концентратора (L tran > 5 мм, рисунок 2).

8.3.2 Расчет повышающего коэффициента

Во избежание чрезмерно консервативной оценки вследствие завышенных значений коэффициентов концентрации напряжений следует применять повышающий коэффициент LSMF cat2. Значение коэффициента LSMF cat2 может быть рассчитано методом конечных элементов в соответствии с рекомендациями раздела А.2 приложения А по формуле

image005.jpg.

(9)

Не допускается для вычисления SCF analytical применять выражения, приведенные в [3].

Допускается при оценке 2-й категории принимать значение коэффициента LSMF cat2 равным 1.

Значение коэффициента не должно превышать 3, если при оценке учитываются остаточные напряжения (т.е. для участков элемента в пределах зоны L res) и не должно превышать 4, если при оценке не учитываются остаточные напряжения (т.е. для участков элемента вне пределов зоны L res).

8.3.3 Критерии оценки 2-й категории

Для мембранной деформации εmem, %, должно выполняться условие:

εmem ≤ 0,3.

(10)

Для максимальной деформации εpeak должно выполняться условие:

εpeak ≤ εc,

(11)

где εc - допустимая деформация, возникающая при воздействии нагрузки на элемент в условиях работы системы ЭХЗ.

Значения допустимой деформации εc приведены в таблице 3 и определяются исходя из структуры дуплексной стали и наличия остаточных напряжений.

Таблица 3 - Значения допустимой деформации εc

Расстояние между аустенитными зернами

εc, %

Вне пределов зоны влияния остаточных напряжений L res или для элементов, не подвергаемых холодной деформации

В пределах зоны влияния остаточных напряжений L res или для элементов, подвергаемых холодной деформации

Менее 30 мкм

0,50·LSMFcat2

0,45·LSMFcat2

30 мкм и более

0,35·LSMFcat2

0,30·LSMFcat2

Если условия не выполняются, то необходимо принять следующие меры:

- изменить конструкцию элемента;

- использовать дуплексную сталь с расстоянием между аустенитными зернами менее 30 мкм (например, взамен поковок использовать заготовки, полученные методом горячего изостатического прессования);

- провести повторный анализ действующих на элемент нагрузок.

Приложение А
(справочное)

Рекомендации по проведению оценки

А.1 Сходимость по сетке

Для построения кривой сходимости используется зависимость рассчитываемого параметра (напряжения или деформации) от размерности сетки. Кривая строится по точкам, полученным при вычислении напряжения или деформации, как минимум при трех размерностях сетки. Пример кривой сходимости по сетке приведен на рисунке А.1.

Для упругого расчета сходимость по сетке допускается считать выполненной, если ошибка при вычислении напряжения не превышает 3 % при двукратном уменьшении размера элемента сетки.

Для упруго-пластического расчета сходимость по сетке допускается считать выполненной, если ошибка при вычислении общей деформации не превышает 5 % при двукратном уменьшении размера элемента сетки.

image006.jpg

Рисунок А.1 - Кривая сходимости по сетке

А.2 Определение коэффициентов LSPF cat1 и LSMF cat2

Для вычисления значений коэффициентов LSPF cat1 и LSMF cat2 может быть использована следующая последовательность действий:

- построить конечно-элементную модель, учитывающую геометрию конструкционного элемента и наличие различных концентраторов напряжений;

- определить упругие и/или упруго-пластические свойства материала;

- включить в модель все нагрузки, действующие на конструкционный элемент;

- проверить выполнение сходимости по сетке;

- вычислить σlin путем линеаризации напряжений по толщине стенки элемента в местах сопряжения переходов, галтелей и для других концентраторов напряжений (в соответствии с рисунком А.2);

- линеаризацию напряжений следует проводить с учетом максимального главного напряжения σmax (действующего перпендикулярно к направлениям, указанным стрелкой на рисунке А.2) по толщине стенки;

- определить значение коэффициентов LSPF cat1 или LSMF cat2 по формуле

image007.jpg.

(А.1)

image008.jpg

Рисунок А.2 - Пример участков элемента, для которых проводится линеаризация напряжений по толщине стенки элемента

А.3 Кривая упрочнения материала на основании проведения испытания

При отсутствии деформационной кривой для упруго-пластического расчета при оценке 2-й категории могут использоваться расчетные кривые, построенные основываясь на значениях предела текучести и временного сопротивления, полученных при испытаниях на растяжение. В таком случае за предел текучести принимается значение, полученное при испытаниях за вычетом трех стандартных отклонений, соответствующих доверительному интервалу 95 %. За временное сопротивление принимается значение, полученное при испытаниях за вычетом двух стандартных отклонений, соответствующих доверительному интервалу 95 %. За деформацию принимается значение, соответствующее временному сопротивлению.

Приложение Б
(справочное)

Оценка диффузии водорода через стенку конструкционного элемента

Б.1 Оценка глубины проникновения водорода

Основным условием отсутствия необходимости оценки риска возникновения водородного растрескивания на внутренней поверхности (не контактирующей с морской водой) конструкционного элемента является увеличение концентрации водорода на данной поверхности не более, чем на 1 ppmw от концентрации водорода в стали (C b, ppmw) за все время эксплуатации. Оценка риска возникновения водородного растрескивания под напряжением для внутренней поверхности элемента может не применяться, если глубина проникновения водорода при соответствующих температуре и времени эксплуатации меньше толщины стенки элемента. Глубина проникновения водорода (выражается в мм) при его концентрации на наружной поверхности, равной С = С b + 1, приведена в таблице Б.1. Значения в таблице 1 приведены без учета имеющихся, как правило, покрытий, изоляции и известковых отложений на наружной поверхности, препятствующих проникновению водорода в металл.

Таблица Б.1 - Глубина проникновения водорода, мм

Время, лет

Глубина проникновения водорода, мм, при температуре, С

4

10

15

20

45

60

80

100

121

150

1

1,4

1,5

1,7

1,8

2,6

3,1

3,9

4,7

5,6

6,6

4

2,8

3,1

3,3

3,6

5,2

6,2

7,8

9,4

11,1

13,3

5

3,1

3,4

3,7

4,0

5,8

7,0

8,7

10,5

12,5

14,8

10

4,4

4,8

5,3

5,7

8,2

9,9

12,3

14,9

17,6

21,0

15

5,3

5,9

6,4

7,0

10,0

12,1

15,1

18,2

21,6

25,7

20

6,2

6,8

7,4

8,1

11,6

13,9

17,4

21,1

24,9

29,7

25

6,9

7,6

8,3

9,0

12,9

15,6

19,5

23,5

27,9

33,2

30

7,5

8,4

9,1

9,9

14,2

17,1

21,3

24,8

30,5

36,3

35

8,1

9,0

9,8

10,7

15,3

18,5

23,0

27,9

33,0

39,2

40

8,7

9,7

10,5

11,4

16,3

19,7

24,6

29,8

35,2

41,9

45

9,2

10,2

11,1

12,1

17,3

20,9

26,1

31,6

27,4

44,5

50

9,7

10,8

11,7

12,7

18,3

22,1

27,5

33,3

39,4

46,9

Б.2 Оценка диффузии водорода при помощи моделирования

Для оценки диффузии водорода может использоваться конечно-элементная модель, построенная с учетом следующих рекомендаций.

Б.2.1 Если данные по фактической температуре при эксплуатации недоступны, то допускается проведение теплового расчета для определения распределения температуры в конструкционном элементе.

Б.2.2 Для моделирования процесса диффузии может использоваться уравнение Фика. Для построения модели следует определить коэффициент диффузии и концентрацию водорода.

Коэффициент диффузии D рассчитывают по формуле

image009.jpg.

(Б.1)

Значения коэффициента диффузии D, мм 2/с, приведены в таблице Б.2.

Таблица Б.2 - Зависимость коэффициента диффузии от температуры

T K, °С

D·10-8, мм 2

T K, °С

D·10-8, мм 2

161,6

15,00

60,2

2,00

143,5

11,00

49,4

1,60

126,8

8,60

39,4

1,20

111,5

6,50

29,9

0,89

97,2

4,90

21,0

0,67

84,0

3,70

9,8

0,46

71,7

2,80

2,0

0,35

Коэффициент диффузии определяется для установившейся температуры.

В качестве граничных условий при построении диффузионной модели следует использовать концентрацию водорода на наружной поверхности и концентрацию водорода на внутренней поверхности.

Концентрацию водорода на наружной поверхности С, ppmw, рассчитывают по формуле

C = 1,12464·TK + 530,99.

(Б.2)

Концентрация водорода на внутренней поверхности C int, ppmw, приравнивается к концентрации водорода в объеме металла C b, ppmw:

Cint = Cb = 2ppmw.

(Б.3)

Б.2.3 Критерием отсутствия риска возникновения водородного растрескивания считается значение концентрации водорода менее С b + 1, ppmw.

Библиография

[1]

DNVGL-RP-F112-2018

Методические указания по проектированию оборудования из дуплексной нержавеющей стали для предотвращения водородного растрескивания (Recommended practice. Duplex stainless steel - design against hydrogen induced stress cracking)

[2]

АСТМ Е112-2013

Методы определения среднего размера зерна (Standard Test Methods for Determining Average Grain Size)

[3]

DNVGL-RP-C203-2016

Расчет характеристик сопротивления усталости для подводных морских конструкций (Fatigue design of offshore steel structures)

Последние добавленные документы

Яндекс.Метрика