ГОСТ Р 57851.2-2017 СМЕСЬ ГАЗОКОНДЕНСАТНАЯ. Часть 2. КОНДЕНСАТ ГАЗОВЫЙ НЕСТАБИЛЬНЫЙ. ОПРЕДЕЛЕНИЕ КОМПОНЕНТНО-ФРАКЦИОННОГО СОСТАВА МЕТОДОМ ГАЗОВОЙ ХРОМАТОГРАФИИ С ПРЕДВАРИТЕЛЬНЫМ РАЗГАЗИРОВАНИЕМ ПРОБЫ
Gas-condensate mixture. Part 2. Unstable gas condensate. Compositional analysis by gas chromatography method with preliminary sample degasification
ОКС 70.060
Предисловие
1 Разработан Обществом с ограниченной ответственностью "Научно-исследовательский проектный институт нефти и газа "Петон" (ООО "НИПИ НГ "Петон")
2 Внесен Техническим комитетом по стандартизации ТК 52 "Природный и сжиженные газы"
3 Утвержден и введен в действие Приказом Федерального агентства по техническому регулированию и метрологии от 31 октября 2017 г. N 1550-ст
4 Введен впервые
Введение
Комплекс национальных стандартов под общим наименованием "Смесь газоконденсатная" состоит из следующих частей:
- Часть 1. Газ сепарации. Определение компонентного состава методом газовой хроматографии;
- Часть 2. Конденсат газовый нестабильный. Определение компонентно-фракционного состава методом газовой хроматографии с предварительным разгазированием пробы;
- Часть 3. Конденсат газовый нестабильный. Определение компонентно-фракционного состава методом газовой хроматографии без предварительного разгазирования пробы;
- Часть 4. Расчет компонентно-фракционного состава.
Комплекс стандартов устанавливает определение компонентно-фракционного состава газа сепарации и нестабильного газового конденсата методом газовой хроматографии с дальнейшим вычислением на основе полученных данных компонентно-фракционного состава газоконденсатной смеси.
ГОСТ Р 57851.1 устанавливает метод измерений молярной доли неуглеводородных компонентов (водорода, кислорода, гелия, азота, диоксида углерода), индивидуальных углеводородов С1-н-С5, фракций углеводородов С6-С10 (или фракции С6+высшие), серосодержащих соединений (сероводорода, карбонилсульфида, дисульфида углерода, индивидуальных меркаптанов С1-С4, сульфидов, производных тиофена), метанола в газе сепарации методом газовой хроматографии.
ГОСТ Р 57851.2 устанавливает определение молярной и массовой долей неуглеводородных компонентов (азота, диоксида углерода), индивидуальных углеводородов С1-н-С5, фракций углеводородов от С6 до С44 (или до С12+высшие), серосодержащих соединений (сероводорода, карбонилсульфида, дисульфида углерода, индивидуальных меркаптанов С1-С4, сульфидов, производных тиофена), метанола в пробе нестабильного газового конденсата методом газовой хроматографии с предварительным разгазированием пробы.
Метод определения содержания углеводородов от С6 до С44 в дегазированном конденсате адаптирован с положениями международного стандарта ИСО 3924 [1] с учетом потребностей национальной экономики Российской Федерации и особенностей национальной стандартизации.
Методика измерений молярной (массовой) доли индивидуальных компонентов и фракций нестабильного газового конденсата методом газовой хроматографии с предварительным разгазированием пробы аттестована в ФГУП "ВНИИМ им. Д.И. Менделеева", свидетельство об аттестации N 767/242-(01.00250)-2016 от 29.07.2016 г.
ГОСТ Р 57851.3 устанавливает определение молярной и массовой долей неуглеводородных компонентов (азота, диоксида углерода), индивидуальных углеводородов С1-н-С5, фракций углеводородов от С6 до С44 (или до С12+высшие), серосодержащих соединений (сероводорода, карбонилсульфида, дисульфида углерода, индивидуальных меркаптанов С1-С4, сульфидов, производных тиофена), метанола в пробе нестабильного газового конденсата прямым вводом пробы в хроматограф (без предварительного разгазирования).
ГОСТ Р 57851.4 устанавливает метод вычисления компонентно-фракционного состава газоконденсатной смеси на основе результатов экспериментального определения компонентно-фракционного состава газа сепарации и нестабильного газового конденсата.
1.1 Настоящий стандарт устанавливает определение молярной и массовой долей индивидуальных компонентов и фракций нестабильного газового конденсата, основанное на предварительном разгазировании пробы (далее - дегазации), анализе состава газовой фракции (газ дегазации) и жидкой фракции (дегазированный конденсат) хроматографическим методом и последующем объединении полученных результатов.
1.2 В газе дегазации определяют молярную долю неуглеводородных компонентов, углеводородов от С1 до С10 (или фракции С6+высшие), серосодержащих соединений и метанола в диапазонах, приведенных в таблице 1.
|
Наименование компонента, фракции* |
Диапазон значений молярной доли компонента, фракции х, % |
|
Метан |
0, 005-95 |
|
Этан |
0, 005-40 |
|
Пропан |
0, 005-60 |
|
Изобутан, н-бутан |
0, 005-20 |
|
Изопентан, н-пентан |
0, 005-5 |
|
Неопентан |
0, 005-0, 10 |
|
Углеводороды С6* |
0, 005-1, 5 |
|
Углеводороды С7 |
0, 005-0, 5 |
|
Углеводороды С8 |
0, 005-0, 25 |
|
Углеводороды С9 |
0, 005-0, 05 |
|
Углеводороды С10 |
0, 005-0, 025 |
|
Углеводороды С6+высшие |
0, 005-2, 3 |
|
Азот, диоксид углерода |
0, 005-15 |
|
Сероводород |
0, 0010-70 |
|
Карбонилсульфид** |
0, 0010-0, 25 |
|
Дисульфид углерода |
0, 0010-5 |
|
Метилмеркаптан, этилмеркаптан |
0, 001-1, 0 |
|
Диметилсульфид, изопропилмеркаптан |
0, 001-0, 5 |
|
н-пропилмеркаптан, 1-метил-1-пропилмеркаптан, метилэтилсульфид, 2-метил-1-пропилмеркаптан |
0, 0010-0, 10 |
|
2-метил-2-пропилмеркаптан, н-бутилмеркаптан, диэтилсульфид, тетрагидротиофен, диэтилдисульфид, диметилдисульфид |
0, 0010-0, 10 |
|
Метанол |
0, 005-1, 5 |
|
* Фракции углеводородов Сn, где n - число атомов углерода в молекуле входящего во фракцию н-алкана. ** Допускается серосодержащие соединения, не перечисленные в настоящей таблице, но присутствующие в пробе газа дегазации, определять по описанной в настоящем стандарте методике измерений в диапазоне значений молярной доли от 0, 0010 до 5 % и приписывать соответствующую расширенную неопределенность при соблюдении следующих условий: - определяемый серосодержащий компонент присутствует в стандартном образце; - метрологические характеристики стандартного образца соответствуют требованиям, установленным в таблице А.1 (приложение А); - соблюдаются требования к показателям точности при проведении градуировки хроматографа и при выполнении измерений молярной доли серосодержащего компонента пробы газа дегазации. | |
1.3 В дегазированном конденсате определяют молярную (массовую) долю углеводородов от С1 до С44 (или до С12+высшие), серосодержащих соединений и метанола в диапазонах, приведенных в таблице 2.
В процентах
|
Наименование компонента, фракции* |
Диапазон значений молярной доли компонента, фракции х |
Диапазон значений массовой доли компонента, фракции w |
|
Метан |
0, 005-0, 10 |
0, 005-1, 0 |
|
Этан |
0, 005-0, 5 | |
|
Пропан |
0, 005-4 |
0, 005-2, 0 |
|
Изобутан, н-бутан |
0, 005-15 |
0, 005-10 |
|
Изопентан, н-пентан |
0, 005-25 |
0, 005-15 |
|
Неопентан |
0, 005-0, 10 |
0, 005-0, 10 |
|
Углеводороды С6* |
0, 005-35 |
0, 005-35 |
|
Углеводороды С7, С8 |
0, 005-25 |
0, 005-30 |
|
Углеводороды С9 |
0, 005-15 | |
|
Углеводороды С10 |
0, 005-25 | |
|
Углеводороды от С11 до С14 |
0, 005-10 |
0, 005-10 |
|
Углеводороды от С15 до С19 |
0, 005-5 | |
|
Углеводороды от С20 до С29 |
0, 005-5 |
0, 005-2, 5 |
|
Углеводороды от С30 до С39 |
0, 005-2, 0 |
0, 005-2, 0 |
|
Углеводороды от С40 до С44 |
0, 005-1, 0 |
0, 005-1, 0 |
|
Углеводороды С12+высшие |
0, 005-40 |
0, 005-40 |
|
Сероводород |
0, 0010-0, 1 |
0, 005-0, 1 |
|
Карбонилсульфид** |
0, 0010-0, 025 |
0, 0010-0, 10 |
|
Дисульфид углерода |
0, 0010-0, 010 | |
|
Метилмеркаптан |
0, 0010-0, 20 |
0, 0010-0, 250 |
|
Этилмеркаптан |
0, 0010-0, 5 |
0, 0010-1, 0 |
|
Диметил сульфид |
0, 0010-0, 25 | |
|
Изопропилмеркаптан |
0, 0010-0, 10 |
0, 0010-1, 0 |
|
н-пропилмеркаптан |
0, 0010-0, 25 | |
|
1-метил-1-пропилмеркаптан |
0, 0010-0, 5 |
0, 0010-1, 0 |
|
Метилэтилсульфид |
0, 0010-0, 10 | |
|
2-метил-1-пропилмеркаптан, 2-метил-2-пропилмеркаптан |
0, 0010-0, 10 |
0, 0010-0, 10 |
|
н-бутилмеркаптан |
0, 0010-0, 5 | |
|
Диэтилсульфид, тетрагидротиофен, диэтилдисульфид |
0, 0010-0, 10 | |
|
Диметилдисульфид |
0, 0010-0, 10 |
0, 0010-0, 5 |
|
Метанол |
0, 005-1, 5 |
0, 005-1, 5 |
|
* Фракции углеводородов Сn, где n - число атомов углерода в молекуле входящего во фракцию н-алкана. ** Допускается серосодержащие соединения, не перечисленные в настоящей таблице, но присутствующие в пробе дегазированного конденсата, определять по описанной в настоящем стандарте методике измерений в диапазоне значений молярной (массовой) доли от 0, 0010 до 1, 0 % и приписывать соответствующую расширенную неопределенность при соблюдении следующих условий: - определяемый серосодержащий компонент присутствует в стандартном образце; - метрологические характеристики стандартного образца соответствуют требованиям, установленным в таблице А.1 (приложение А); - соблюдаются требования к показателям точности при проведении градуировки хроматографа и при выполнении измерений молярной (массовой) доли серосодержащего компонента пробы дегазированного конденсата. | ||
1.4 Метод используют в аналитических (испытательных) лабораториях предприятий и организаций по добыче и переработке сырья газоконденсатных и нефтегазоконденсатных месторождений, контролирующих физико-химические свойства нестабильного газового конденсата для целей учета и анализа показателей разработки месторождений, планирования добычи и переработки углеводородного сырья.
В настоящем стандарте использованы нормативные ссылки на следующие стандарты:
ГОСТ 12.0.004 Система стандартов безопасности труда. Организация обучения безопасности труда. Общие положения
ГОСТ 12.1.005 Система стандартов безопасности труда. Общие санитарно-гигиенические требования к воздуху рабочей зоны
ГОСТ 12.1.007 Система стандартов безопасности труда. Вредные вещества. Классификация и общие требования безопасности
ГОСТ 12.4.021 Система стандартов безопасности труда. Системы вентиляционные. Общие требования
ГОСТ 2768 Ацетон технический. Технические условия
ГОСТ 3900 Нефть и нефтепродукты. Методы определения плотности
ГОСТ 4233 Реактивы. Натрий хлористый. Технические условия
ГОСТ 7995 Краны соединительные стеклянные. Технические условия
ГОСТ 13861 (ИСО 2503-83) Редукторы для газопламенной обработки. Общие технические условия
ГОСТ 17310 Газы. Пикнометрический метод определения плотности
ГОСТ 17433 Промышленная чистота. Сжатый воздух. Классы загрязненности
ГОСТ 17567 Хроматография газовая. Термины и определения
ГОСТ 25336 Посуда и оборудование лабораторные стеклянные. Типы, основные параметры и размеры
ГОСТ 28498 Термометры жидкостные стеклянные. Общие технические требования. Методы испытаний
ГОСТ 30852.19 (МЭК 60079-20:1996) Электрооборудование взрывозащищенное. Часть 20. Данные по горючим газам и парам, относящиеся к эксплуатации электрооборудования
ГОСТ 31369-2008 (ИСО 6976:1995) Газ природный. Вычисление теплоты сгорания, плотности, относительной плотности и числа Воббе на основе компонентного состава
ГОСТ Р ИСО 5725-1 Точность (правильность и прецизионность) методов и результатов измерений. Часть 1. Основные положения и определения
ГОСТ Р ИСО 5725-6 Точность (правильность и прецизионность) методов и результатов измерений. Часть 6. Использование значений точности на практике
ГОСТ Р ИСО 14001 Системы экологического менеджмента. Требования и руководство по применению
ГОСТ Р 51673 Водород газообразный чистый. Технические условия
ГОСТ Р 53228 Весы неавтоматического действия. Часть 1. Метрологические и технические требования. Испытания
ГОСТ Р 55609-2013 Отбор проб газового конденсата, сжиженного углеводородного газа и широкой фракции легких углеводородов. Общие требования
ГОСТ Р 55878 Спирт этиловый технический гидролизный ректификованный. Технические условия
ГОСТ Р 57851.1-2017 Газоконденсатная смесь. Часть 1. Газ сепарации. Определение компонентного состава методом газовой хроматографии
ГОСТ Р 57851.3-2017 Газоконденсатная смесь. Часть 3. Конденсат газовый нестабильный. Определение компонентно-фракционного состава методом газовой хроматографии без предварительного разгазирования пробы
ГОСТ Р 57851.4-2017 Газоконденсатная смесь. Часть 4. Расчет компонентно-фракционного состава
Примечание - При пользовании настоящим стандартом целесообразно проверить действие ссылочных стандартов в информационной системе общего пользования - на официальном сайте Федерального агентства по техническому регулированию и метрологии в сети Интернет или по ежегодному информационному указателю "Национальные стандарты", который опубликован по состоянию на 1 января текущего года, и по выпускам ежемесячного информационного указателя "Национальные стандарты" за текущий год. Если заменен ссылочный стандарт, на который дана недатированная ссылка, то рекомендуется использовать действующую версию этого стандарта с учетом всех внесенных в данную версию изменений. Если заменен ссылочный стандарт, на который дана датированная ссылка, то рекомендуется использовать версию этого стандарта с указанным выше годом утверждения (принятия). Если после утверждения настоящего стандарта в ссылочный стандарт, на который дана датированная ссылка, внесено изменение, затрагивающее положение, на которое дана ссылка, то это положение рекомендуется применять без учета данного изменения. Если ссылочный стандарт отменен без замены, то положение, в котором дана ссылка на него, рекомендуется применять в части, не затрагивающей эту ссылку.
В настоящем стандарте применены термины по ГОСТ 17567, ГОСТ Р ИСО 5725-1, а также следующие термины с соответствующими определениями:
3.1
|
газоконденсатная смесь; ГКС: Природная ископаемая газожидкостная смесь, добываемая из газоконденсатных и нефтегазоконденсатных месторождений или залежей, содержащая природный газ, газовый конденсат и неуглеводородные компоненты. [ГОСТ Р 53521-2009, статья 1] |
3.2
|
нестабильный газовый конденсат: Газовый конденсат, содержащий в растворенном виде газообразные углеводороды, направляемый на переработку с целью очистки от примесей и выделения углеводородов С1-С4, отвечающий требованиям соответствующего нормативного документа. Примечание - К примесям относятся вода (водные растворы ингибиторов коррозии и/или гидратообразования), хлористые соли, сернистые соединения и механические примеси. [ГОСТ Р 53521-2009, статья 7] |
3.3 компонентно-фракционный состав (газа дегазации, дегазированного конденсата, нестабильного газового конденсата); КФС: Состав (газа дегазации, дегазированного конденсата, нестабильного газового конденсата), устанавливающий содержание индивидуальных компонентов (неуглеводородных компонентов, углеводородов С1-н-С5, серосодержащих соединений, метанола) и фракций углеводородов, выраженный в единицах молярной или массовой доли.
Примечания
1 Фракции углеводородов можно сформировать по следующим признакам:
- по времени выхода н-алканов - такие фракции включают один н-алкан и выходящие перед ним и после предыдущего н-алкана углеводороды; в этом случае фракции присваивается наименование по числу атомов углерода в молекуле входящего в нее н-алкана, например фракция С7, в которую входят углеводороды, зарегистрированные на хроматограмме после пика н-гексана, включая н-гептан;
- по интервалам времени выхода, соответствующим температурам начала и конца кипения фракций и определяемым по зависимости времени выхода от температуры кипения для н-алканов градуировочной смеси; в этом случае фракции присваивается наименование диапазона температур кипения, например фракция 100-110;
- по времени выхода углеводородов, регистрируемых на хроматограмме после какого-либо н-алкана - такие фракции включают все углеводороды, выходящие после заданного н-алкана (например, н-гексана); в этом случае фракции присваивается наименование по числу атомов углерода в заданном н-алкане с указанием на присутствие остальных более тяжелых углеводородов, например фракция С6+высшие.
2 Если во фракцию, сформированную по диапазонам температур кипения, попадает углеводород с температурой кипения, выходящей за пределы указанного в наименовании фракции диапазона, то этот углеводород учитывают в составе данной фракции, его "перераспределение" во фракцию с соответствующей температурой кипения не проводят. Причиной подобного явления является отклонение соотношений времени выхода и температуры кипения для углеводородов нелинейного строения от соответствующих значений, устанавливаемых по зависимости времени выхода от температуры кипения для н-алканов градуировочной смеси. Например, цис-2-гептен с температурой кипения 98, 41 °С при разметке хроматограммы по диапазонам температур кипения попадает во фракцию 100-110, так как на хроматограмме пик цис-2-гептена регистрируется между углеводородами, имеющими температуру кипения выше 100 °С. В этом случае цис-2-гептен учитывают в составе фракции 100-110.
3.4
|
дегазация (нестабильного газового конденсата): Выделение газообразных компонентов из нестабильного газового конденсата, осуществляемое за счет снижения давления в системе, повышения температуры или действия обоих факторов одновременно. [ГОСТ Р 53521-2009, статья 80] |
3.5 газ дегазации; ГД: Газообразная углеводородная смесь, состоящая из газообразных углеводородов С1-н-С4 с примесями жидких углеводородов, неуглеводородных компонентов, метанола, серосодержащих соединений, получаемая в процессе дегазации нестабильного газового конденсата.
3.6 дегазированный конденсат; ДК: Газовый конденсат, из которого удалена основная часть газообразных компонентов, получаемый в процессе дегазации нестабильного газового конденсата.
3.7
|
методика (метод) измерений: Совокупность конкретно описанных операций, выполнение которых обеспечивает получение результатов измерений с установленными показателями точности. [ГОСТ Р 8.563-2009, статья 3.1] |
3.8
|
показатель точности измерений: Установленная характеристика точности любого результата измерений, полученного при соблюдении требований и правил данной методики измерений. [ГОСТ Р 8.563-2009, статья 3.4] |
3.9
|
неопределенность (измерения): Параметр, относящийся к результату измерения и характеризующий разброс значений, которые могли бы быть обоснованно приписаны измеряемой величине. Примечания 1 Параметром может быть, например, стандартное отклонение (или величина, пропорциональная стандартному отклонению) или полуширина интервала, которому соответствует заданный уровень доверия. 2 Неопределенность измерения, как правило, включает в себя много составляющих. Некоторые из них могут быть оценены из статистического распределения результатов ряда измерений и описаны выборочными стандартными отклонениями. Другие составляющие, которые также могут быть описаны стандартными отклонениями, оценивают исходя из основанных на опыте предположений или иной информации о виде закона распределения. 3 Предполагается, что результат измерения является лучшей оценкой измеряемой величины, а все составляющие неопределенности, включая обусловленные систематическими эффектами (разного рода поправками, используемым эталоном сравнения), вносят вклад в разброс значений измеряемой величины. [ГОСТ Р 54500.3-2011, статья 2.2.3] |
3.10
|
государственный СО; национальный СО; ГСО: Стандартный образец, признанный национальным органом по стандартизации, метрологии и сертификации (далее - национальный орган по метрологии), применяемый во всех областях народного хозяйства страны, включая сферы распространения государственного метрологического контроля и надзора. [ГОСТ 8.315-97, статья 3.4.2] |
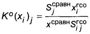
3.11 относительный градуировочный коэффициент: Отношение абсолютного градуировочного коэффициента для i-го компонента стандартного образца к абсолютному градуировочному коэффициенту сравнительного компонента стандартного образца.
3.12 сравнительный компонент: Компонент, присутствующий в стандартном образце, принятый в качестве базового для установления относительных градуировочных коэффициентов других компонентов, также присутствующих в ГСО.
Примечание - В качестве сравнительного компонента рекомендуется выбирать н-алкан с числом атомов углерода 4, 5 или 6 со значением молярной или массовой доли в интервале от 3 до 10 %.
3.13 площадь хроматограммы (пика): Площадь хроматограммы (пика), заключенная между линией хроматограммы, полученной при анализе пробы (нестабильного газового конденсата), и базовой линией, полученной при проведении холостого опыта.
3.14 базовая линия: Графическое отображение сигнала детектора, зафиксированное во время проведения холостого опыта и соответствующее нулевой концентрации анализируемых веществ в пробе.
4.1 В настоящем стандарте используют следующие обозначения:
4.1.1 Основные символы:
U - абсолютная расширенная неопределенность;
Uo - относительная расширенная неопределенность;
- относительная расширенная неопределенность при использовании относительных градуировочных коэффициентов;
х - молярная доля;
w - массовая доля;
K - градуировочный коэффициент;
S - значение сигнала детектора (площадь пика или высота пика);
RK - относительный размах градуировочных коэффициентов;
r - абсолютное расхождение;
М - молярная масса;
m - масса;
ϑ - количество вещества, моль.
Примечание - Остальные символы указаны в тексте стандарта.
4.1.2 Нижние индексы:
i - компонент или фракция пробы;
j - порядковый номер ввода градуировочной смеси (или пробы) в хроматограф.
4.1.3 Верхние индексы:
о - относительное значение;
гсо - значение для компонента в градуировочной смеси;
max - максимальное значение;
min - минимальное значение;
ср - среднеарифметическое значение;
сравн - значение для сравнительного компонента.
4.2 В настоящем стандарте используют следующие сокращения:
ДМПС - диметилполисилоксан;
ДТП - детектор по теплопроводности;
НГК - нестабильный газовый конденсат;
ПИД - пламенно-ионизационный детектор;
ПФД - пламенно-фотометрический детектор;
ССС - серосодержащие соединения;
х. ч. - химически чистый.
5.1 Абсолютная расширенная неопределенность результатов измерений молярной доли компонентов и фракций газа дегазации приведена в таблице 3.
В процентах
|
Наименование компонента, фракции |
Диапазон значений молярной доли компонента, фракции х |
Абсолютная расширенная неопределенность измерений молярной доли (при коэффициенте охвата k = 2) U(xi) |
|
Азот, диоксид углерода, углеводороды С1-С10 |
От 0, 005 до 0, 010 включ. |
0, 1х + 0, 001 |
|
Св. 0, 01 до 0, 10 включ. |
0, 15х + 0, 0005 | |
|
Св. 0, 1 до 1, 0 включ. |
0, 11х + 0, 005 | |
|
Св. 1 до 30 включ. |
0, 04х + 0, 07 | |
|
Св. 30 до 95 включ. |
0, 16х + 0, 7 | |
|
Углеводороды С6+высшие |
От 0, 005 до 1, 500 включ. |
0, 15х + 0, 0007 |
|
Серосодержащие соединения |
От 0, 001 до 0, 010 включ. |
0, 15х + 0, 00001 |
|
Св. 0, 01 до 1, 00 включ. |
0, 08х + 0, 0007 | |
|
Св. 1 до 10 включ. |
0, 05х + 0, 03 | |
|
Св. 10 до 70 включ. |
0, 03х + 0, 25 | |
|
Метанол |
От 0, 005 до 0, 010 включ. |
0, 19х + 0, 0001 |
|
Св. 0, 01 до 1, 50 включ. |
0, 15х + 0, 0005 | |
|
Примечание - Указанная абсолютная расширенная неопределенность соответствует границам абсолютной погрешности результата измерений молярной доли компонента или фракции при доверительной вероятности Р = 0, 95. | ||
5.2 Относительная расширенная неопределенность результатов измерений молярной доли компонентов и фракций дегазированного конденсата приведена в таблице 4.
|
Диапазон значений молярной доли компонента, фракции х, % |
Относительная расширенная неопределенность измерений молярной доли (при коэффициенте охвата k = 2), % | |
|
при использовании абсолютных молярных градуировочных коэффициентов [Uo(xi)] |
при использовании относительных молярных градуировочных коэффициентов [Uo(хi)] | |
|
От 0, 001 до 0, 100 включ. |
30 |
33 |
|
Св. 0, 1 до 1, 0 включ. |
30-9хi |
33-9хi |
|
Св. 1 до 10 включ. |
21-0, 5хi |
24-0, 4хi |
|
Св. 10 до 25 включ. |
19-0, 3хi |
22-0, 2хi |
|
Св. 25 до 40 включ. |
16-0, 2хi |
19-0, 1хi |
|
Примечание - Указанная относительная расширенная неопределенность соответствует границам относительной погрешности результата измерений молярной доли компонента или фракции при доверительной вероятности Р = 0, 95. | ||
5.3 Относительная расширенная неопределенность результатов измерений массовой доли компонентов и фракций дегазированного конденсата приведена в таблице 5.
|
Диапазон значений массовой доли компонента, фракции w, % |
Относительная расширенная неопределенность измерений массовой доли при использовании абсолютных массовых Uo(wi) и относительных массовых |
|
От 0, 001 до 0, 100 включ. |
33 |
|
Св. 0, 1 до 1, 0 включ. |
33-9wi |
|
Св. 1 до 10 включ. |
24-0, 4wi |
|
Св. 10 до 25 включ. |
22-0, 2wi |
|
Св. 25 до 40 включ. |
19-0, 1 wi |
|
Примечание - Указанная относительная расширенная неопределенность соответствует границам относительной погрешности результата измерений массовой доли компонента или фракции при доверительной вероятности Р = 0, 95. | |
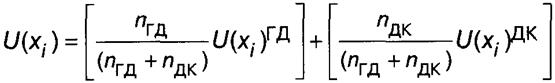
5.4 Расхождение результата определения содержания компонента (фракции) нестабильного газового конденсата, получаемого по настоящему стандарту, с результатом, получаемым по ГОСТ Р 57851.3, соответствует условию
|(xi)2-(xi)3|≤U(xi)2+U(xi)3,
|(wi)2-(wi)3|≤U(wi)2+U(wi)3,
(5.1)
где (хi)2, (хi)3 - молярная доля i-го компонента (фракции) НГК, измеренная по настоящему стандарту и ГОСТ Р 57851.3 соответственно, %;
U(xi)2, U(xi)3 - абсолютная неопределенность результата измерений молярной доли i-го компонента (фракции) НГК по настоящему стандарту и ГОСТ Р 57851.3 соответственно, %;
(wi)2, (wi)3 - массовая доля i-го компонента (фракции) НГК, измеренная по настоящему стандарту и ГОСТ Р 57851.3 соответственно, %;
U(wi)2, U(wi)3 - абсолютная неопределенность результата измерений массовой доли i-го компонента (фракции) НГК по настоящему стандарту и ГОСТ Р 57851.3 соответственно, %.
6.1 Основные средства измерений
Хроматографы газовые лабораторные, оснащенные:
а) блоком электронного управления хроматографом, обработки и хранения хроматографической информации с лицензионным (аттестованным) компьютерным программным обеспечением;
б) хроматографическими колонками (насадочными, микронасадочными или капиллярными), изготовленными из инертного по отношению к компонентам газа дегазации и дегазированного конденсата материала с неподвижной фазой, обеспечивающей удовлетворительное разделение компонентов пробы при условиях проведения анализа;
в) детекторами ДТП, ПИД, ПФД или другим сероселективным детектором (ППФД, ХЛД, ЭХД).
Примечание - Применяют детекторы, обеспечивающие предел обнаружения молярной (массовой) доли компонентов:
- по азоту и диоксиду углерода - не более 0, 001 %;
- по углеводородам для ПИД - не более 0, 0005 %, для ДТП - не более 0, 0010 %;
- по сероводороду (для ДТП) - не более 0, 001 %;
- по сере (для ПФД) - не более 0, 001 %;
г) дозирующим устройством, обеспечивающим ввод пробы газа. Объем дозируемой пробы выбирают в зависимости от конкретной комплектации хроматографа (комплект детекторов, тип применяемых хроматографических колонок и пр.), содержания компонентов в пробе газа дегазации, количество дозирующих устройств может быть более одного; системой ввода жидкой пробы, состоящей из инжектора и предколонки длиной от 150 до 300 мм (предколонка предназначена для защиты колонки от асфальтенов и смол путем их адсорбции).
Примечание - Дозирующее устройство для ввода газовой пробы рекомендуется оснащать побудителем расхода газовой смеси (пробы) через газовый канал хроматографа.
Пример - Побудитель расхода П-31 ИБЯЛ.411522.064;
д) одним или несколькими термостатом(ами), обеспечивающим(и) программируемое регулирование скорости подъема температуры и/или поддержание заданной температуры с погрешностью не более 0, 1 °С во всем интервале рабочих температур;
е) при необходимости подогреваемым краном обратной продувки для обеспечения измерений молярной доли тяжелых углеводородов в виде фракции С6+высшие или фракции С12+высшие.
6.2 Средства градуировки
6.2.1 В качестве средств градуировки используют стандартные образцы состава газовых смесей утвержденного типа с метрологическими характеристиками в соответствии с таблицами А.1 и А.2 (приложение А) и стандартные образцы состава дегазированного конденсата утвержденного типа с метрологическими характеристиками в соответствии с таблицей А.3 (приложение А).
Пример - ГСО 10540-1-2014, ГСО 10089-2012, ГСО 10537-2014 (СС-ММ-1), ГСО 8461-2003, ГСО 10525-2014 (СЖ-М-1).
6.2.2 2, 2-диметилбутан (неогексан, С6Н14) квалификации х. ч. с массовой долей основного вещества не менее 99 %.
6.3 Вспомогательные средства измерений, устройства, материалы и реактивы
6.3.1 При выполнении измерений применяют следующие вспомогательные средства измерений и устройства:
а) пробоотборники поршневого типа постоянного давления.
Пример - Пробоотборник поршневого типа по [2].
Примечание - Допускается использовать пробоотборники другого типа, рассчитанные на диапазон рабочих температур и на максимальное рабочее давление, включая температуры и давления при отборе, транспортировании, хранении и исследовании пробы, разрешенные к применению в Российской Федерации и обеспечивающие такой же состав компонентов в отобранной пробе, что и в исходном объекте;
б) манометр образцовый класса точности 0, 4.
Пример - Манометр образцовый типа МО-160-4 МПа-0, 4 по [3];
в) термометр по ГОСТ 28498 диапазоном измерений от 0 до 55 °С с ценой деления 0, 1 °С;
г) барометр-анероид диапазоном измерений от 79, 5 до 106, 5 кПа с ценой деления 0, 1 кПа.
Пример - Барометр-анероид БАММ-1 по [4];
д) гигрометр (психрометр) диапазоном измерений относительной влажности от 30 до 90 % с пределом допускаемой абсолютной погрешности не более ± 6 %.
Пример - Гигрометр психрометрический типа ВИТ-2 по [5];
е) весы лабораторные по ГОСТ Р 53228, классы точности I и II, диапазоном измерений, соответствующим массе взвешиваемого вспомогательного оборудования;
ж) вентиль тонкой регулировки расхода газа.
Пример - Натекатель Н-12 по [6];
и) фильтр тонкой очистки от механических примесей с размером пор от 4 до 6 мкм.
Пример - Фильтр 5.884.070 по [7];
к) редуктор баллонный.
Пример - Редуктор баллонный типа БКО-25-2 или БКО-50-2 по ГОСТ 13861;
л) редуктор высокого давления (для поддавливания пробы нестабильного газового конденсата, находящейся в пробоотборнике поршневого типа).
Пример - Редуктор высокого давления РК-70 (изготовитель - ОАО БАМЗ);
м) микрошприц вместимостью от 0, 1 до 10, 0 мм3 с ценой деления не более 0, 2 мм3;
н) виалы стеклянные соответствующего объема с завинчивающейся, обжимной или защелкивающейся крышкой с одноразовой прокладкой (септой);
п) термостат или термостатируемая водяная баня с погружным термостатом (один или несколько), способный поддерживать температуру 0, 20 и 38 °С с погрешностью не более ± 0, 5 °С и повышать температуру от 0 до 38 °С;
р) теплообменник - трубка из меди или другого материала диаметром от 3 до 4 мм, длиной примерно 0, 2 м в форме змеевика или прямого участка, обеспечивающая установление и поддержание заданной температуры посредством термостата;
с) склянка СН-1 по ГОСТ 25336 - приемник дегазированного конденсата.
Примечание - В качестве приемника дегазированного конденсата допускается использовать герметичную емкость соответствующего объема из инертного по отношению к компонентам дегазированного конденсата материала, имеющую входной и выходной штуцеры;
т) фильтр с пористой пластинкой для улавливания уносимых с газом дегазации капель дегазированного конденсата.
Пример - Фильтр ФГ-60-ПОР 500 по ГОСТ 25336;
у) заглушки (типа зажима Мора) или соединительные одноходовые и трехходовые стеклянные краны по ГОСТ 7995 или аналогичные из полимерного материала, устойчивого к компонентам НГК, обеспечивающие достаточную герметичность;
ф) расходомер лабораторный газовый или ротаметр максимальным диапазоном измерений объемного расхода 12 дм3/ч для измерения расхода газа дегазации;
х) счетчик газа рабочим диапазоном от 1, 0 дм3/ч и пределом допускаемой погрешности не более ± 1, 0 %.
Пример - Барабанный газовый счетчик типа TG 05 фирмы Ritter (Германия);
ц) трубки соединительные из инертного по отношению к компонентам газа дегазации и дегазированного конденсата материала (например, фторопласта);
ш) пакет пробоотборный из полимерного материала для сбора газа дегазации, обеспечивающий сохранность газовой пробы в течение не менее 24 ч, вместимостью до 50 дм3.
Пример - Тедларовый пробоотборный пакет фирмы SKC inc. (Германия).
Примечание - При измерении в газе дегазации только углеводородных компонентов для сбора газа дегазации допускается применять газометры вместимостью от 5 до 20 дм3, заполненные насыщенным раствором хлористого натрия;
щ) насос вакуумный (лабораторный) номинальной производительностью 1, 9/2, 2 м3/дм3 и предельным разряжением 8 кПа.
6.3.2 При выполнении измерений применяют следующие материалы и реактивы:
а) натрий хлористый по ГОСТ 4233 любой марки для приготовления насыщенного раствора;
б) гелий газообразный с массовой долей основного компонента не менее 99, 995 %.
Пример - Гелий марки А по [8];
в) водород газообразный первого или высшего сортов по ГОСТ Р 51673.
Примечание - Допускается использовать генератор водорода, обеспечивающий получение водорода по ГОСТ Р 51673;
г) воздух сжатый класса 0 по ГОСТ 17433;
д) растворитель легкокипящий: ацетон по ГОСТ 2768 или этиловый спирт по ГОСТ Р 55878, или петролейный эфир 40-70 квалификации х. ч.
6.3.3 Допускается использовать другие вспомогательные средства измерений и устройства аналогичного назначения, технические характеристики которых не уступают указанным, а также материалы, обеспечивающие нормативы точности при проведении измерений.
6.3.4 Все линии, а также все части основного и вспомогательного оборудования, контактирующие с градуировочной смесью и пробами газа дегазации и дегазированного конденсата, должны быть изготовлены из коррозионно-стойкого и инертного по отношению к компонентам пробы материала.
Компонентно-фракционный состав нестабильного газового конденсата устанавливают на основании измерений газохроматографическим методом состава газа дегазации и дегазированного конденсата, получаемых в процессе дегазации пробы НГК.
Дегазацию пробы нестабильного газового конденсата проводят при переменных или при постоянных значениях давления и температуры пробы с получением газовой фракции (газа дегазации) и жидкой фракции (дегазированный конденсат). Данные по количеству и компонентно-фракционному составу газа дегазации и дегазированного конденсата используют для вычисления состава исходной пробы НГК.
При анализе газа дегазации измеряют молярную долю неуглеводородных компонентов (азота и диоксида углерода), индивидуальных углеводородов от С1 до н-С5, фракций углеводородов от С6 до С10, серосодержащих соединений и метанола газохроматографическим методом.
Примечание - При измерении молярной доли азота и диоксида углерода в газе дегазации возможно фиксирование присутствия кислорода, что свидетельствует о попадании воздуха в пробу. Содержание воздуха учитывают при обработке результатов измерений.
При анализе дегазированного конденсата измеряют молярную или массовую доли индивидуальных компонентов (углеводородов от С1 до н-С5, метанола, серосодержащих соединений) и фракций углеводородов от С6 до С44 газохроматографическим методом.
В зависимости от цели анализа и возможностей хроматографического оборудования допускается определять в газе дегазации углеводороды С6-С10 в виде фракции С6+высшие, в дегазированном конденсате углеводороды С12-С44 - в виде фракции С12+высшие с использованием обратной продувки колонки потоком газа-носителя.
Для определения компонентно-фракционного состава газа дегазации и дегазированного конденсата применяют лабораторные хроматографы.
Для градуировки хроматографов используют стандартные образцы состава газа дегазации или дегазированного конденсата по 6.2 (далее - градуировочная смесь).
Компонентно-фракционный состав газа дегазации определяют в единицах молярной доли, дегазированного конденсата - в единицах молярной или массовой доли.
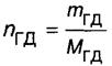
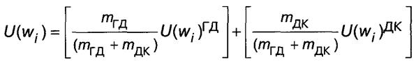
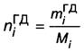
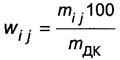
Состав газа дегазации в единицах массовой доли wi устанавливают вычислением исходя из значений измеренной молярной доли компонентов и фракций и их молярных масс по формуле
,
(7.1)
где хi - молярная доля i-го компонента или фракции газа дегазации, %;
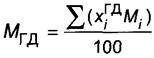
Mi - молярная масса i-го компонента или фракции газа дегазации, установленная в соответствии с 16.2.1.1-16.2.1.4, г/моль.
Состав дегазированного конденсата в единицах массовой доли wi можно определить вычислением исходя из значений измеренной молярной доли компонентов и фракций и их молярных масс по формуле (7.1).
Результаты определения КФС газа дегазации и дегазированного конденсата объединяют методом рекомбинации для установления компонентно-фракционного состава нестабильного газового конденсата.
Компонентно-фракционный состав газа дегазации, дегазированного конденсата и нестабильного газового конденсата представляют в единицах молярной (массовой) доли индивидуальных компонентов (азота, диоксида углерода, углеводородов С1-н-С5, метанола, серосодержащих соединений) и фракций углеводородов от С6 до С10 (для ГД) или от С6 до С44 (для ДК и НГК), сформированных по числу атомов углерода или по температурам кипения в диапазоне от 45 до 180 °С (для ГД) или от 45 до 540 °С (для ДК и НГК).
8.1 При работе с нестабильным газовым конденсатом, газом дегазации и дегазированным конденсатом должны соблюдаться требования Федеральных норм и правил в области промышленной безопасности [9], [10] и требования технического регламента [11].
8.2 К работе с нестабильным газовым конденсатом, газом дегазации и дегазированным конденсатом приступают после прохождения противопожарного инструктажа, обучения правилам безопасности и проверки знаний в соответствии с ГОСТ 12.0.004.
8.3 К работе на хроматографе приступают после ознакомления с мерами безопасности, изложенными в соответствующих разделах руководства по эксплуатации применяемого хроматографа.
8.4 Помещения, в которых проводятся работы с нестабильным газовым конденсатом, газом дегазации и дегазированным конденсатом, должны быть обеспечены приточно-вытяжной вентиляцией, отвечающей требованиям ГОСТ 12.4.021.
8.5 Пары углеводородов образуют с воздухом горючие взрывоопасные смеси.
Классы взрывоопасных зон определяют по ГОСТ 30852.19.
8.6 При проведении работ с нестабильным газовым конденсатом, газом дегазации и дегазированным конденсатом должны выполняться общие требования охраны окружающей среды по ГОСТ Р ИСО 14001.
8.7 По токсикологической характеристике согласно ГОСТ 12.1.007 углеводороды, входящие в состав нестабильного газового конденсата, газа дегазации и дегазированного конденсата, относят к веществам класса опасности 4, сероводород и серосодержащие соединения - к веществам классов опасности 2 и 3, метанол - к токсичным веществам класса опасности 3.
Предельно допустимые концентрации в воздухе рабочей зоны паров углеводородов установлены в ГОСТ 12.1.005 и гигиенических нормативах [12].
8.8 При работе с метанолом должны соблюдаться санитарно-гигиенические требования санитарных правил [13].
8.9 Общие правила по обеспечению взрыво- и пожаробезопасности, меры предупреждения и средства защиты работающих от воздействия газа дегазации, дегазированного конденсата, нестабильного газового конденсата, требования к личной гигиене, оборудованию и помещениям регламентируются системой стандартов безопасности труда, федеральными нормами и правилами в области промышленной безопасности.
9.1 К отбору проб нестабильного газового конденсата допускают специалистов, прошедших инструктаж по безопасности, проверку знаний в объеме производственных инструкций, имеющих допуск к самостоятельной работе с оборудованием, работающим под избыточным давлением, и изучивших требования раздела 10.
9.2 К выполнению измерений и обработке результатов допускают специалиста с высшим или средним профессиональным образованием, прошедшего инструктаж и проверку знаний по охране труда, инструктаж по безопасности и проверку знаний производственных инструкций по профессии, владеющего техникой газохроматографического анализа и процедурами обработки результатов, изучившего руководство по эксплуатации применяемого оборудования и настоящий стандарт.
9.3 Ремонт и наладку средств измерений осуществляет специалист, имеющий квалификацию в соответствии с требованиями эксплуатационной документации на оборудование.
10.1 Отбор проб нестабильного газового конденсата проводят в предварительно подготовленные пробоотборники постоянного давления поршневого типа.
Допускается для отбора проб нестабильного газового конденсата использовать пробоотборники другого типа, рассчитанные на диапазон рабочих температур и на максимальное рабочее давление, включая температуры и давления при отборе, транспортировании, хранении и исследовании пробы, разрешенные к применению в Российской Федерации и обеспечивающие такой же состав компонентов в отобранной пробе, что и в исходном объекте.
10.2 Подготовку пробоотборников проводят по ГОСТ Р 55609-2013 (пункты 6.4.1-6.4.3) с учетом рекомендаций изготовителя.
10.3 Объем пробоотборника выбирают в зависимости от количества пробы нестабильного газового конденсата, необходимого для лабораторных исследований.
10.4 Конструкция пробоотборного узла должна обеспечивать отбор представительной пробы нестабильного газового конденсата.
10.5 Ручной отбор проб нестабильного газового конденсата в пробоотборники проводят по ГОСТ Р 55609 с учетом рекомендаций изготовителя пробоотборника.
10.6 Автоматический отбор проб нестабильного газового конденсата проводят по ГОСТ Р 55609-2013 (пункт 6.4.5).
10.7 При отборе пробы нестабильного газового конденсата в пробоотборники необходимо обеспечивать условие равенства давления в пробоотборнике с пробой НГК с давлением в точке отбора. Не допускается снижение давления в пробоотборнике ниже давления насыщенных паров, в том числе кратковременное снижение давления.
После отбора пробы НГК в камере с рабочим газом пробоотборника создают и поддерживают при хранении и транспортировании давление, не менее чем на 0, 5 МПа превышающее давление в точке отбора.
10.8 По окончании отбора проб регистрируют температуру и давление в системе пробоотбора кратностью 0, 2 °С и 0, 025 МПа соответственно.
11.1 Общие положения
Дегазацию пробы нестабильного газового конденсата можно проводить двумя способами: при переменных значениях давления и температуры пробы НГК (способ 1) или при постоянных значениях давления и температуры пробы НГК (способ 2).
Примечание - Допускается применять другие способы дегазации пробы НГК, обеспечивающие возможность измерения объема газа дегазации и дегазированного конденсата с установленной в настоящем стандарте точностью и стабильность составов газа дегазации и дегазированного конденсата в диапазоне термобарических условий лаборатории.
11.2 Дегазация при переменных значениях давления и температуры пробы нестабильного газового конденсата (способ 1)
11.2.1 Метод дегазации при переменных значениях давления и температуры пробы НГК (способ 1) применяют при дегазации всего объема пробы.
11.2.2 Сущность метода заключается в дросселировании из пробоотборника через регулировочный вентиль пробы НГК. При этом в пробоотборнике постепенно снижается давление с давления насыщения до атмосферного с последующим повышением температуры. Процесс дегазации характеризуется непрерывным изменением компонентно-фракционного состава нестабильного газового конденсата, газа дегазации и дегазированного конденсата.
11.2.3 Схема установки для проведения дегазации пробы НГК при переменных значениях давления и температуры по способу 1 приведена на рисунке 1.
Установка должна состоять из трех блоков, объединенных между собой соединительными трубками: блока дегазации, блока сбора дегазированного конденсата и блока сбора газа дегазации. Соединительные трубки должны иметь минимально возможную длину.
Блок дегазации состоит из термостатируемой бани 4, в которую помещают пробоотборник 1 в вертикальном положении камерой с пробой 2 вверх.
Блок сбора дегазированного конденсата включает в себя термостат, обеспечивающий возможность создания и поддержания температуры помещенных в него ловушек ДК в диапазоне от 0 до 38 °С, и фильтр с пористой пластинкой для улавливания капельной жидкости 8.
Блок сбора газа дегазации включает в себя приемник газа дегазации 10 и расходомер 9 для установления и контроля объемной скорости выделения газа дегазации. Для сбора газа дегазации предпочтительным является использование герметичных пластиковых пробоотборных пакетов, например тедларовых.
Примечание - При контроле в газе дегазации только углеводородных компонентов для сбора газа дегазации допускается применять газометры, заполненные насыщенным раствором хлористого натрия.
11.2.4 Перед проведением дегазации вакуумируют приемник газа дегазации 10 для удаления воздуха. Взвешивают ловушки дегазированного конденсата 7 вместе с заглушками 11 с точностью до 0, 01 г. Взвешивают фильтр 8 вместе с заглушками 11 с точностью до 0, 01 г.
11.2.5 Из пробоотборника с пробой НГК 1 стравливают рабочий газ, после чего взвешивают пробоотборник с точностью до 0, 1 г.
11.2.6 Собирают схему для дегазации НГК согласно рисунку 1, для удаления воздуха продувают систему от верхнего вентиля пробоотборника до трехходового крана 12 инертным газом (гелием) примерно 10 мин. с объемной скоростью не более 5 дм3/ч. Затем трехходовый кран переводят на приемник газа дегазации 10.

1 - пробоотборник с пробой НГК; 2 - камера с пробой НГК; 3 - термометр; 4 - термостатируемая баня; 5 - вентиль тонкой регулировки; 6 - термостат; 7 - ловушки-приемники дегазированного конденсата; 8 - фильтр; 9 - лабораторный расходомер; 10 - приемник газа дегазации; 11 - заглушки; 12 - трехходовый кран
Рисунок 1 - Схема установки для дегазации пробы КГН при переменных давлении и температуре (способ 1)
11.2.7 Устанавливают в термостатируемой бане 4 температуру 20 °С и контролируют ее термометром 3.
11.2.8 Перед дегазацией снимают заглушки, приоткрывают верхний вентиль пробоотборника, затем медленно открывают вентиль тонкой регулировки 5 и начинают отбор газа дегазации в приемник газа дегазации 10 с объемным расходом не более 10 дм3/ч. Скорость дегазации устанавливают и контролируют по расходомеру 9. На протяжении отбора газа дегазации вентиль пробоотборника и вентиль тонкой регулировки 5 открывают полностью.
После прекращения выделения газа дегазации из пробоотборника при 20 °С, которое фиксируется по отсутствию расхода по расходомеру 9, температуру в термостатируемой бане 4 повышают до 38 °С и продолжают процесс дегазации до полного прекращения выделения из НГК газа дегазации. Закрывают вентиль тонкой регулировки 5 и верхний вентиль пробоотборника.
Для удаления газообразных углеводородов из дегазированного конденсата постепенно повышают температуру в термостате с ловушками дегазированного конденсата от 0 до 38 °С.
По окончании процесса дегазации, которое фиксируется по отсутствию расхода по расходомеру 9, заглушают соединительные трубки ловушки-приемника дегазированного конденсата, фильтра, заглушают приемники газа дегазации. Извлекают пробоотборник из термостатируемой бани, охлаждают до температуры окружающей среды, сушат и взвешивают с точностью до 0, 1 г.
Отсоединяют ловушки-приемники с дегазированным конденсатом, охлаждают до температуры окружающей среды, протирают от влаги и вместе с заглушками взвешивают с точностью до 0, 01 г.
Заглушают фильтр, отсоединяют и вместе с заглушками взвешивают с точностью до 0, 01 г.
Отсоединяют приемник газа дегазации. До проведения анализа приемник газа дегазации с пробой хранят при температуре от 20 до 25 °С не более 24 ч.
Охлаждают пробоотборник до температуры от 5 до 10 °С. Затем переносят пробу ДК (или ее часть) в виалу. До проведения анализа виалу с пробой дегазированного конденсата хранят при температуре не выше 10 °С не более 24 ч в таре с минимальным объемом газовой фазы.
После освобождения от дегазированного конденсата, промывки легкокипящим растворителем (ацетоном, этиловым спиртом или петролейным эфиром) и продувки сжатым воздухом или инертным газом вновь взвешивают пробоотборник с точностью до 0, 1 г.
11.2.9 Обработка результатов дегазации
11.2.9.1 Вычисляют суммарную массу дегазированного конденсата, выделившегося в процессе дегазации, г, по формуле
mДК=m1+m2+m3,
(11.1)
где m1 - масса ДК в пробоотборнике, вычисляемая как разность масс пробоотборника после дегазации и пустого пробоотборника, г;
m2 - масса ДК, собранного в ловушки, вычисляемая как разность масс ловушек после и до дегазации, г;
m3 - масса дегазированного конденсата, оставшегося на фильтре, вычисляемая как разность масс фильтра после и до дегазации, г.
11.2.9.2 Вычисляют массу газа дегазации, выделившегося в процессе дегазации, г, по формуле
mГД=mНГК-mДК,
(11.2)
где mНГК - масса НГК, вычисляемая как разность масс пробоотборника с пробой НГК и пустого пробоотборника, г;
mДК - масса ДК, вычисляемая по формуле (11.1), г.
При использовании газометров с насыщенным раствором хлористого натрия вычисляют массу выделившегося газа дегазации (г) по формуле (11.5). Объем газа дегазации определяют по объему насыщенного раствора хлористого натрия, выделившегося из газометра.
11.3 Дегазация при постоянных значениях давления и температуры пробы нестабильного газового конденсата (способ 2)
11.3.1 Сущность дегазации по способу 2 заключается в дросселировании пробы нестабильного газового конденсата из пробоотборника через регулировочный вентиль. При этом в пробоотборнике поддерживается постоянное давление выше давления насыщения, проба НГК остается в однофазном жидком состоянии на протяжении всей дегазации. Процесс характеризуется неизменным компонентно-фракционным составом нестабильного газового конденсата, что позволяет проводить дегазацию только части пробы НГК.
11.3.2 Схема установки для проведения дегазации пробы нестабильного газового конденсата при постоянных значениях давления и температуры приведена на рисунке 2.
Установка должна состоять из трех блоков, объединенных между собой соединительными трубками: блока дегазации, блока сбора дегазированного конденсата и блока сбора газа дегазации. Соединительные трубки должны иметь минимально возможную длину.
В блок дегазации входят пробоотборник 1, оснащенный манометрами 4, и вентиль тонкой регулировки 6.
Блок сбора дегазированного конденсата включает в себя термостат, в который помещен теплообменник 7, приемник дегазированного конденсата 8 и фильтр с пористой пластинкой для улавливания капельной жидкости 9. Объем приемника дегазированного конденсата должен соответствовать максимально возможному объему дегазированного конденсата.
В блок сбора газа дегазации входят счетчик газа 10 и приемник газа дегазации 11. Объем приемника газа дегазации должен соответствовать максимально возможному объему газа дегазации. Для сбора газа дегазации предпочтительно использовать герметичные пластиковые пробоотборные пакеты, например тедларовые.
Примечание - При определении в газе дегазации только углеводородных компонентов допускается применять газометры, заполненные насыщенным раствором хлористого натрия.

1 - пробоотборник (поршневого типа) с пробой НГК; 2 - камера с пробой; 3 - рабочая камера; 4 - манометр; 5 - линия подачи рабочего газа; 6 - вентиль тонкой регулировки; 7 - теплообменник; 8 - приемник дегазированного конденсата; 9 - фильтр; 10 - счетчик газа со встроенным датчиком температуры; 11 - приемник газа дегазации; 12 - заглушки; 13 - термометр; 14 - трехходовый кран
Рисунок 2 - Схема установки для дегазации пробы нестабильного газового конденсата при постоянных давлении и температуре (способ 2)
11.3.3 Перед проведением дегазации для удаления воздуха вакуумируют приемник газа дегазации 11. Взвешивают приемник дегазированного конденсата 7 вместе с заглушками 12 с точностью до 0, 01 г. Взвешивают фильтр 9 вместе с заглушками 12 с точностью до 0, 01 г.
Собирают схему для дегазации пробы НГК согласно рисунку 1. Для удаления воздуха продувают систему от верхнего вентиля пробоотборника до трехходового крана 14 инертным газом (гелием) примерно 10 мин. с объемной скоростью не более 5 дм3/ч. Затем переводят трехходовый кран на приемник газа дегазации 11.
11.3.4 Устанавливают в термостате температуру, превышающую температуру воздуха в помещении лаборатории не менее чем на 5-10 °С, и контролируют ее термометром 13. Создают в рабочей камере 3 пробоотборника с использованием рабочего газа давление, не менее чем на 0, 5 МПа превышающее зафиксированное при отборе пробы, и поддерживают его во время процесса дегазации редуктором, установленным на баллоне с рабочим газом. Давление контролируют по манометру 4.
11.3.5 Перед проведением дегазации снимают заглушки, открывают верхний вентиль пробоотборника 1, затем медленно открывают вентиль тонкой регулировки 6. Дегазированный конденсат накапливается в приемнике дегазированного конденсата 8, а газ дегазации поступает в приемник газа дегазации через фильтр 9 и счетчик газа 10. Скорость дегазации устанавливают по объемному расходу газа дегазации через счетчик газа не более 10 дм3/ч.
Продолжительность процесса дегазации зависит от количества газа, растворенного в НГК. Процесс дегазации может быть проведен для всего объема пробы нестабильного газового конденсата или для ее части. При дегазации части пробы НГК процесс останавливают не ранее чем после накопления в приемнике дегазированного конденсата не менее 10 см3 жидкости и объема газа дегазации не менее 5 дм3. Объем газа дегазации контролируют по счетчику газа 10.
Допускается проводить отбор газа дегазации для хроматографического анализа из его потока после выделения газа дегазации в объеме не менее 1 дм3. Место отбора устанавливается после счетчика газа 10.
В процессе дегазации фиксируют температуру газа дегазации (по встроенному в счетчик газа 10 термометру) и атмосферное давление - по барометру.
По окончании процесса дегазации закрывают вентиль тонкой регулировки 6, верхний вентиль пробоотборника, заглушают соединительные трубки приемника дегазированного конденсата, фильтра, приемник газа дегазации.
Отсоединяют фильтр и вместе с заглушками взвешивают с точностью до 0, 01 г.
Отсоединяют приемник дегазированного конденсата, герметично закрывают и вместе с заглушками взвешивают с точностью до 0, 01 г.
По показаниям газового счетчика фиксируют объем газа дегазации с точностью до 0, 01 дм3. При использовании для сбора газа дегазации газометров, заполненных насыщенным раствором хлористого натрия, объем выделившегося при дегазации газа можно определить по объему насыщенного раствора хлористого натрия, выделившегося из газометра.
Отсоединяют приемник газа дегазации и хранят при температуре от 20 до 25 °С не более 24 ч.
Переводят пробу дегазированного конденсата (или ее часть) в виалу. Пробу дегазированного конденсата следует хранить при температуре не выше 10 °С не более 24 ч в таре с минимальным объемом газовой фазы.
11.3.6 Обработка результатов дегазации
11.3.6.1 Вычисляют суммарную массу дегазированного конденсата, выделившегося в процессе дегазации mДК, г, по формуле
mДК=m1+m2,
(11.3)
где m1 - масса ДК в приемнике дегазированного конденсата, вычисляемая как разность масс приемника после и до дегазации, г;
m2 - масса ДК, оставшегося на фильтре, вычисляемая как разность массы фильтра после и до дегазации, г.
11.3.6.2 Объем газа дегазации, выделившегося в процессе дегазации Vгд, дм3, должен быть приведен к стандартным условиям по формуле:
при измерении по газовому счетчику
;
(11.4)
при измерении по газометру
,
где V'ГД - объем газа дегазации, выделившегося при дегазации, дм3;
РГД - атмосферное давление при дегазации, кПа;
ТГД - температура отбора газа дегазации, K;
- давление паров воды над насыщенным раствором хлористого натрия, установленное по 2 справочнику [14], кПа.
Примечание - За температуру отбора газа дегазации принимают показания термометра, встроенного в счетчик газа. Допускается за температуру газа дегазации принимать температуру воздуха в лаборатории при проведении дегазации.
11.3.6.3 Массу газа дегазации, выделившегося в процессе дегазации mгд, г, вычисляют по формуле
mгд=Vгдρгд,
(11.5)
где Vгд - объем газа дегазации, выделившегося в процессе дегазации, приведенный к стандартным условиям по формуле (11.4), дм3;
ρгд - плотность газа дегазации, измеряемая пикнометрическим методом по ГОСТ 17310 или вычисляемая по его компонентному составу по ГОСТ 31369, г/дм3.
Примечания
1 При вычислении плотности газа дегазации по ГОСТ 31369 для расчета плотности идеального газа используют значения молярных масс серосодержащих соединений по таблице Б.2 (приложение Б). При пересчете плотности идеального газа в плотность реального газа не учитывают влияние на коэффициент сжимаемости газа серосодержащих компонентов (кроме сероводорода).
2 Если при дегазации нестабильного газового конденсата отбор пробы газа дегазации для хроматографического анализа проводили не из его потока, допускается массу газа дегазации определять как разность масс приемника газа дегазации после дегазации и до дегазации (после вакуумирования), определенных с точностью до 0, 0001 г.
12.1 Общие условия хроматографических измерений
12.1.1 При выполнении хроматографических измерений следует выполнять условия, установленные организацией-изготовителем в эксплуатационной документации на прибор.
12.1.2 Диапазоны измерений применяемых вспомогательных средств измерений (термометра, гигрометра, барометра, манометра, счетчика газа и др.) должны соответствовать диапазонам изменений контролируемых параметров.
12.1.3 Основные и вспомогательные средства измерений применяют в соответствии с требованиями руководства по эксплуатации и безопасности их применения.
12.1.4 К применению допускают основные и вспомогательные средства измерения утвержденного типа, соответствующие требованиям Федерального закона [15].
12.1.5 Соотношение регистрируемого сигнала детектора (высота пика) индивидуального компонента и сигнала шума базовой линии на участке хроматограммы, соответствующем времени выхода компонента, должно быть не менее 10.
12.1.6 При настройке хроматографа в соответствии с конкретной измерительной задачей для обеспечения надежного измерения молярной или массовой доли индивидуально определяемых компонентов пробы НГК при внедрении методики измерений устанавливают норматив на приемлемое разрешение для двух соседних пиков ПР1, 2 по формуле, приведенной в стандарте [1],
,
(12.1)
где τ1 и τ2 - значения времени выхода для компонентов 1 и 2 соответственно, с;
λ1 и λ2 - и значения ширины пиков компонентов 1 и 2 на половине высоты, с.
Для каждой хроматографической системы устанавливают значение норматива на приемлемое разрешение двух соседних пиков.
Соблюдение установленного норматива контролируют в соответствии с планом внутрилабораторного контроля после регенерации хроматографической колонки и после изменения условий хроматографического разделения. При снижении полученного норматива на приемлемое разрешение от установленного более чем на 30 % проводят регенерацию (или замену) хроматографической колонки.
Примечания
1 При необходимости (например, при замене хроматографической колонки, изменении условий хроматографического разделения и др.) норматив на приемлемое разрешение можно скорректировать. Новое значение норматива фиксируют протоколом внутрилабораторного контроля.
2 Общим требованием при установлении норматива на приемлемое разрешение двух соседних пиков принимают разрешение, при котором высота точки пересечения двух пиков не превышает 1/3 высоты меньшего из них.
Пару индивидуальных компонентов для установления значения норматива на приемлемое разрешение выбирают для каждой хроматографической колонки в зависимости от условий проведения измерений и решаемой аналитической задачи.
В качестве парных компонентов рекомендуется использовать:
- для газа дегазации: азот - метан, метан - диоксид углерода, диоксид углерода - этан, пропан - изобутан, изобутан - н-бутан;
- для дегазированного конденсата: гексан - гептан, гексадекан - гептадекан;
- для серосодержащих соединений: метилмеркаптан - этилмеркаптан, изопропилмеркаптан - н-пропилмеркаптан, сероводород - метилмеркаптан.
12.2 Условия хроматографического разделения компонентов газа дегазации
12.2.1 Условия хроматографического разделения неуглеводородных компонентов, углеводородов, сероводорода и метанола, содержащихся в газе дегазации
12.2.1.1 Хроматографическое определение молярной доли азота в газе дегазации проводят на колонке с молекулярными ситами с детектированием на ДТП. В качестве газа-носителя используют гелий. При этих же условиях определяют молярную долю кислорода, который может попасть в пробу газа дегазации с воздухом при дегазации нестабильного газового конденсата или при подаче пробы в хроматограф.
12.2.1.2 Молярную долю диоксида углерода, сероводорода (при его молярной доле более 0, 10 %) в газе дегазации определяют на колонке с полимерным сорбентом с использованием гелия в качестве газа-носителя. Одновременно можно определять углеводороды от С1 до н-С5 индивидуально, а углеводороды от С6 до С10 - в виде одной фракции С6+высшие с использованием обратной продувки.
Детектирование диоксида углерода и сероводорода выполняют на ДТП. Детектирование углеводородов рекомендуется осуществлять в зависимости от их содержания с использованием следующих детекторов:
- углеводороды с молярной долей менее 0, 1 % - ПИД;
- углеводороды с молярной долей более 1, 0 % - ДТП;
- углеводороды с молярной долей от 0, 1 до 1, 0 % - ПИД или ДТП.
12.2.1.3 Углеводороды С1-С10 для представления в компонентно-фракционном виде определяют в режиме программирования температуры на капиллярной колонке с детектированием на ПИД.
12.2.1.4 Хроматографическое определение молярной доли метанола проводят на капиллярной колонке с детектированием на ПИД. Определение метанола можно совмещать с определением углеводородов.
12.2.1.5 Пример задания условий хроматографического разделения азота, диоксида углерода, сероводорода (при его молярной доле более 0, 10 %), метанола и углеводородов С1-С10 для лабораторного хроматографа приведен в ГОСТ Р 57851.1-2017 (пункт 11.2.1).
12.2.2 Условия хроматографического разделения серосодержащих компонентов газа дегазации
12.2.2.1 Хроматографическое определение молярной доли сероводорода (при его молярной доле менее 0, 10 %) и серосодержащих соединений (перечисленных в таблице 1) в газе дегазации проводят на капиллярной колонке с детектированием на сероселективном детекторе. В качестве газа-носителя применяют гелий.
12.2.2.2 Пример задания условий хроматографического разделения сероводорода (при его молярной доле менее 0, 10 %) и серосодержащих соединений для лабораторного хроматографа приведен в ГОСТ Р 57851.1-2017 (пункт 11.2.2).
12.3 Условия хроматографического разделения компонентов дегазированного конденсата
12.3.1 Условия хроматографического разделения углеводородов С1-н-С5 и метанола, содержащихся в дегазированном конденсате (на канале А)
12.3.1.1 Хроматографическое разделение углеводородов С1-н-С5 и метанола проводят на колонках с полимерным адсорбентом (основная аналитическая колонка и предколонка) в режиме программирования температуры с детектированием на ПИД. Анализ проводят, применяя обратную продувку предколонки потоком газа-носителя без измерения суммарного пика более тяжелых углеводородов.
12.3.1.2 При вычислении массовой доли компонентов с использованием метода внутреннего стандарта, в качестве которого применяют 2, 2-диметилбутан, хроматографическое разделение компонентов проводят минимум до выхода 2, 2-диметилбутана, после чего применяют обратную продувку.
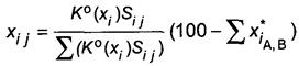
При вычислении молярной или массовой доли компонентов с использованием относительных молярных или относительных массовых градуировочных коэффициентов хроматографическое разделение компонентов проводят минимум до выхода сравнительного компонента, в качестве которого рекомендуется применять С4 или С5 с содержанием от 3 до 10 %.
12.3.1.3 Пример задания условий хроматографического разделения углеводородов и метанола приведен в таблице 6.
12.3.1.4 Хроматограмма дегазированного конденсата, полученная при условиях, указанных в таблице 6, представлена на рисунке В.1 (приложение В).
|
Параметр |
Значение |
|
Тип хроматографической колонки |
Насадочная, Porapak Q |
|
Длина основной колонки, м |
2, 0 |
|
Длина предколонки, м |
0, 3 |
|
Внутренний диаметр колонки, мм |
2, 0 |
|
Фракция, меш |
80-100 |
|
Температурный режим термостата колонок |
Программируемый |
|
Начальная температура термостата колонок (время выдержки, мин), °С |
80 (10) |
|
Скорость увеличения температуры термостата колонок, °С/мин |
10 |
|
Конечная температура термостата колонок (время выдержки, мин), °С |
240 |
|
Тип детектора |
ПИД |
|
Рабочая температура детектора, °С |
250 |
|
Температура испарительной камеры, °С |
250 |
|
Газ-носитель |
Гелий |
|
Расход газа-носителя, см3/мин |
20 |
|
Объем пробы, мм3 |
1, 0 |
12.3.2 Условия хроматографического разделения индивидуальных углеводородов и фракций углеводородов (на канале Б)
12.3.2.1 Хроматографическое разделение индивидуальных углеводородов С1-н-С5 и фракций углеводородов от С6 до С44 проводят на капиллярной колонке с диметилполисилоксановой (ДМПС) неподвижной фазой (DB-1, НР-1 или аналогичной) с детектированием на ПИД. В качестве газа-носителя применяют гелий.
12.3.2.2 Пример задания условий хроматографического разделения индивидуальных углеводородов и фракций углеводородов приведен в таблице 7.
|
Параметр |
Значение |
|
Тип хроматографической колонки |
Капиллярная, DB-1 |
|
Длина колонки, м |
30 |
|
Внутренний диаметр колонки, мм |
0, 53 |
|
Неподвижная фаза |
ДМПС |
|
Толщина пленки неподвижной фазы, мкм |
1, 5 |
|
Температурный режим термостата колонок |
Программируемый |
|
Начальная температура термостата колонок (время выдержки, мин), °С |
30 (2) |
|
Скорость увеличения температуры термостата колонок, °С/мин |
10 |
|
Конечная температура термостата колонок (время выдержки, мин), °С |
325 |
|
Температура испарительной камеры, °С |
320 |
|
Тип детектора |
ПИД |
|
Рабочая температура детектора, °С |
350 |
|
Расход водорода, см3/мин |
30 |
|
Расход воздуха, см3/мин |
300 |
|
Газ-носитель |
Гелий |
|
Расход газа-носителя, см3/мин |
10 |
|
Объем пробы, мм3 |
0, 2-0, 5 |
12.3.2.3 Хроматограмма градуировочной смеси, полученная при условиях, указанных в таблице 7, приведена на рисунках В.2-В.4 (приложение В).
12.3.3 Условия хроматографического разделения серосодержащих соединений дегазированного конденсата (на канале В)
12.3.3.1 Хроматографическое разделение серосодержащих соединений, в том числе сероводорода при его молярной (массовой) доле менее 0, 10 %, проводят в режиме программирования температуры с использованием ПФД и капиллярной колонки.
12.3.3.2 Пример задания условий хроматографического разделения серосодержащих соединений и сероводорода в дегазированном конденсате, реализуемых на лабораторном хроматографе, приведен в таблице 8.
|
Параметр |
Значение |
|
Тип хроматографической колонки |
Капиллярная, GS-GasPro |
|
Материал колонки |
Кварц |
|
Длина колонки, м |
30 |
|
Внутренний диаметр колонки, мм |
0, 32 |
|
Температурный режим термостата колонок |
Программируемый |
|
Начальная температура термостата колонок (время выдержки, мин), °С |
60 (2) |
|
Скорость увеличения температуры термостата колонок, °С/мин |
15-20 |
|
Конечная температура термостата колонок (время выдержки, мин), °С |
240 (10) |
|
Температура испарительной камеры, °С |
180 |
|
Тип детектора |
ПФД |
|
Рабочая температура детектора, °С |
250 |
|
Расход водорода, см3/мин |
120 |
|
Расход воздуха, см3/мин |
50 |
|
Газ-носитель |
Гелий |
|
Расход газа-носителя, см3/мин |
2-5 |
|
Объем пробы, мм3 |
1, 0 |
12.3.3.3 Хроматограмма дегазированного конденсата, полученная при условиях, указанных в таблице 8, приведена на рисунках В.5, В.6 (приложение В).
13.1 Установка хроматографических колонок
Установку или замену хроматографических колонок на месте эксплуатации проводит сервисный инженер или специалист пользователя в соответствии с руководством по эксплуатации хроматографа.
13.2 Кондиционирование (регенерация) хроматографических колонок
Кондиционирование (регенерацию) хроматографических колонок проводят в соответствии с рекомендациями организации-изготовителя:
- при запуске прибора в эксплуатацию;
- при ухудшении разделительных характеристик хроматографической колонки, при котором норматив на приемлемое разрешение двух соседних пиков (ПР1, 2), вычисленный по формуле (12.1), менее установленного;
- при превышении более чем в три раза значения уровня шумов нулевой линии, приведенного в методике поверки.
13.3 Настройка хроматографа
13.3.1 Подключение хроматографа к электрической сети, проверку на герметичность и вывод на режим выполняют в соответствии с руководством по эксплуатации.
13.3.2 Настройка хроматографа включает в себя выбор оптимальных условий хроматографического разделения компонентов пробы газа дегазации или дегазированного конденсата конкретного состава.
13.4 Проведение холостого опыта
13.4.1 Холостой опыт проводят перед началом измерений дегазированного конденсата для получения базовой линии и исключения любых не связанных с пробой результатов.
13.4.2 Холостой опыт на лабораторных хроматографах проводят при условиях хроматографического разделения дегазированного конденсата, но без ввода пробы в хроматограф, с регистрацией базовой линии (дрейф нулевой линии).
13.5 Градуировка хроматографа
13.5.1 Общие положения
13.5.1.1 Градуировку хроматографа проводят при внедрении методики измерений, устанавливая значения градуировочных коэффициентов для неуглеводородных компонентов, углеводородов, серосодержащих соединений и метанола.
При изменении условий хроматографического разделения компонентов, после ремонта хроматографа, после замены одной из основных частей хроматографической системы (например, крана-дозатора, колонки, детектора) устанавливают новые значения градуировочных коэффициентов.
13.5.1.2 Для градуировки хроматографа используют градуировочные смеси по 6.2.
13.5.1.3 Градуировку хроматографа проводят при выбранных условиях хроматографического разделения пробы.
13.5.1.4 Ввод градуировочной смеси в хроматограф проводят вручную или с использованием автоматического дозирующего устройства.
13.5.1.5 Для ввода газообразной градуировочной смеси баллон с градуировочной смесью через вентиль тонкой регулировки присоединяют к крану-дозатору хроматографа. Расстояние от вентиля тонкой регулировки до крана-дозатора должно быть минимально возможным.
Продувают петли крана-дозатора и подводящие линии градуировочной смесью, при этом объем продуваемого газа должен составлять не менее 20-кратного суммарного объема дозирующей петли крана-дозатора и подводящих трубок.
Примечание - Недостаточная продувка приводит к эффектам памяти от предыдущих проб и разбавлению пробы воздухом.
После завершения продувки перекрывают поток градуировочной смеси, выжидают 1-2 с для выравнивания давления пробы с давлением окружающей среды и переключают дозирующее устройство для ввода градуировочной смеси в хроматограф.
Примечания
1 При высоком содержании углеводородов С5-С10 рекомендуется использовать подогреваемые линии подачи газов в хроматограф и подогревать баллон с градуировочной смесью. Степень подогрева должна гарантировать однофазное газовое состояние градуировочной смеси.
2 Для подогрева пробоотборника можно использовать баллонный термочехол по [16].
13.5.1.6 Жидкую градуировочную смесь вводят микрошприцем, имеющим температуру не выше температуры градуировочной смеси. Для предотвращения испарения газообразных углеводородов иглу микрошприца вкалывают в септу из силиконовой резины.
Примечание - Для предотвращения испарения газообразных углеводородов можно использовать микрошприц с клапаном для удержания образца.
Необходимое количество градуировочной смеси отбирают из ампулы с градуировочной смесью. Микрошприц с градуировочной смесью взвешивают на аналитических весах с точностью до 0, 0001 г. После ввода градуировочной смеси в хроматограф микрошприц взвешивают вновь с точностью до 0, 0001 г и по разности масс определяют массу введенной градуировочной смеси.
Допускается вычислять массу введенной градуировочной смеси, mгсо, г, по формуле
mгсо=Vгсоρгсо,
(13.1)
где Vгсо - объем градуировочной смеси, введенной в хроматограф микрошприцем, см3;
ρгсо - плотность градуировочной смеси, указанная в паспорте на ГСО или установленная по ГОСТ 3900, г/см3.
Каждую градуировочную смесь хроматографируют не менее трех раз.
13.5.2 Градуировка хроматографов при измерении молярной доли неуглеводородных компонентов, углеводородов, сероводорода и метанола в газе дегазации
13.5.2.1 Градуировку хроматографов при измерении молярной доли неуглеводородных компонентов (азота, диоксида углерода), углеводородов, сероводорода (при его молярной доле более 0, 1 %) и метанола проводят методом абсолютной градуировки в одной точке.
13.5.2.2 Допускаемое отличие значений молярной доли компонентов в градуировочной смеси и анализируемой пробе должны соответствовать требованиям, приведенным в таблице 9.
|
Значение молярной доли компонента в пробе, % |
Относительное отклонение значения молярной доли компонента в градуировочной смеси от его значения в пробе, %, не более |
|
От 0, 0010 до 0, 010 включ. |
± 90 |
|
Св. 0, 010 до 10 включ. |
± 70 |
|
Св. 10 до 25 включ. |
± 50 |
|
Св. 25 до 50 включ. |
± 30 |
|
Св. 50 до 75 включ. |
± 20 |
|
Св. 75 до 90 включ. |
± 10 |
|
Св. 90 |
± 5 |
|
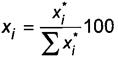
Примечание - Относительное отклонение ∆o вычисляют по формуле
где xiгсо - молярная доля i-го компонента в градуировочной смеси, указанная в паспорте на ГСО, %; хi - молярная доля i-го компонента в пробе газа дегазации, %. | |
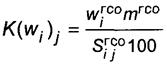
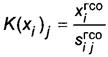
13.5.2.3 Значение абсолютного молярного градуировочного коэффициента K(хi)j вычисляют по формуле
,
(13.2)
где xiгсо - молярная доля i-го компонента в градуировочной смеси, указанная в паспорте на ГСО, %;
- значение площади пика i-го компонента градуировочной смеси, полученное при j-м вводе пробы в хроматограф, единицы счета.
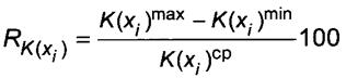
13.5.2.4 Проверку приемлемости значений абсолютных молярных градуировочных коэффициентов K(xi)j проводят по значению относительного размаха
, вычисляемого по формуле
,
(13.3)
где
,
,
- максимальное, минимальное и среднеарифметическое значения абсолютных молярных градуировочных коэффициентов для i-го компонента.
Результат градуировки хроматографа считают приемлемым, если значение относительного размаха
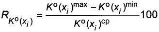
[полученных значений абсолютных молярных градуировочных коэффициентов K(хi)j] не превышает пределов допускаемых значений
, вычисляемых для каждого i-го компонента по формуле
,
(13.4)
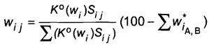
где Uo(xi) - относительная расширенная неопределенность результата измерений для значения молярной доли i-го компонента, равного значению его молярной доли в градуировочной смеси, %.
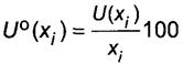
Значение относительной расширенной неопределенности Uo(xi) вычисляют по формуле
,
(13.5)
где U(xi) - абсолютная расширенная неопределенность результата измерений молярной доли i-го компонента градуировочной смеси, рассчитанная по таблице 3, %;
xi - молярная доля i-го компонента в градуировочной смеси, %.
13.5.2.5 За результат определения абсолютного молярного градуировочного коэффициента [K(хi)] для i-го компонента принимают среднеарифметическое значение трех последовательно полученных значений, удовлетворяющих требованиям приемлемости по 13.5.2.4.
Если по результатам трех измерений не получен результат, удовлетворяющий требованиям норматива размаха, проводят дополнительное измерение (не более двух) и вычисляют размах значений градуировочного коэффициента по результатам трех последовательно полученных значений.
Если в серии из пяти измерений не получены удовлетворительные результаты, работу приостанавливают, выясняют и устраняют причину нестабильности работы прибора, после чего повторяют процедуру градуировки.
13.5.3 Градуировка хроматографа при измерении молярной доли серосодержащих соединений в газе дегазации
13.5.3.1 При определении серосодержащих соединений, в том числе сероводорода при его молярной доле менее 0, 10 %, с использованием ПФД, строят градуировочный график не менее чем по двум точкам, соответствующим 20 % (
) и 80 % (
) от верхнего предела диапазона измерений молярной доли.
По полученным при анализе градуировочной смеси данным строят логарифмическую зависимость значения сигнала детектора (площади или высоты пика) i-го серосодержащего компонента Si от значения его молярной доли хi.
Примечание - Экстраполяция полученной градуировочной зависимости в области меньшего или большего содержания компонентов не должна превышать 20 %. При широком диапазоне значений молярной доли компонентов градуировочную зависимость строят для нескольких участков рабочего диапазона измерений.
13.5.3.2 Проверку приемлемости полученных значений сигналов детектора (площадей или высот пиков) Si j проводят по значению относительного размаха RSi, вычисляемого по формуле
,
(13.6)
где Simax, Simin, Sicp - максимальное, минимальное и среднеарифметическое значения сигнала детектора (площади или высоты пика) для i-го серосодержащего компонента градуировочной смеси, единицы счета.
Результат градуировки хроматографа считают приемлемым, если значение относительного размаха RSi полученных значений сигнала детектора (площади или высоты пика) Sij не превышает пределов допускаемых значений R'Si, вычисляемых для каждого i-го серосодержащего компонента по формулам:
20 % от верхнего предела диапазона измерений
R'Si=0, 8Uo(xi);
80 % от верхнего предела диапазона измерений
R'Si=0, 6Uo(xi),
(13.7)
где Uo(xi) - относительная расширенная неопределенность результата измерений для значения молярной доли i-го серосодержащего компонента, равного значению его молярной доли в градуировочной смеси, %.
Значение относительной расширенной неопределенности Uo(xi) вычисляют по формуле (13.5).
13.5.3.3 За результат определения сигнала детектора (площади или высоты пика)
и
принимают среднеарифметическое значение трех последовательно полученных значений
,
, удовлетворяющих требованию приемлемости по 13.5.3.2.
Если по результатам трех измерений не получен результат, удовлетворяющий требованиям норматива размаха, проводят дополнительные измерения (не более двух) и вычисляют размах по результатам трех последовательно полученных значений.
Если в серии из пяти измерений не получены удовлетворительные результаты, работу следует остановить, выяснить и устранить причину нестабильности работы прибора, после чего повторить процедуру градуировки.
13.5.3.4 Сигнал детектора (площадь или высота пика) Si и молярная доля каждого i-го серосодержащего компонента хi связаны уравнением
,
(13.8)
где ki и li - коэффициенты, определяемые по формулам
;
,
(13.9)
где
и
- среднеарифметические значения сигнала детектора (площади или высоты пика) i-го серосодержащего компонента в первой и второй градуировочных смесях соответственно, единицы счета.
Для линеаризации степенной зависимости применяют логарифмирование уравнения (13.8)
lgSi=lgki+li·lgxi.
(13.10)
13.5.3.5 По среднеарифметическим значениям сигнала детектора (площадей или высот пиков)
,
и молярной доле соответствующего i-го серосодержащего компонента в градуировочной смеси, указанной в паспорте на ГСО, вычисляют коэффициенты li и ki по формуле (13.9) для каждого i-го серосодержащего компонента.
13.5.3.6 При использовании детекторов, характеризующихся линейностью сигнала, строят градуировочную характеристику вида y = k(x). Для построения градуировочной характеристики используют градуировочную смесь с содержанием определяемых компонентов, соответствующим 70-90 % от верхнего предела рабочего диапазона измерений.
Значение градуировочного коэффициента K(xi)j вычисляют по формуле (13.2).
Проверку приемлемости градуировочных коэффициентов K(хi)j проводят по 13.5.2.4.
За результат определения градуировочного коэффициента для i-го компонента K(хi)j принимают среднеарифметическое значение трех последовательно полученных значений, удовлетворяющих требованиям приемлемости по 13.5.2.4.
Если по результатам трех измерений не получен результат, удовлетворяющий требованиям норматива размаха, проводят дополнительное измерение (не более двух) и вычисляют размах значений градуировочного коэффициента по результатам трех последовательно полученных значений.
Если в серии из пяти измерений не получены удовлетворительные результаты, работу следует остановить, выяснить и устранить причину нестабильности работы прибора, после чего повторить процедуру градуировки.
13.5.4 Градуировка хроматографа для определения содержания углеводородов С1-н-С4 и метанола в дегазированном конденсате (на канале А)
13.5.4.1 Градуировку хроматографа для определения молярной (массовой) доли углеводородов С1-н-С4 и метанола, определяемых на канале А, рекомендуется проводить с использованием градуировочной смеси по 6.2, содержащей определяемые компоненты. Для каждого i-го компонента градуировочной смеси при j-м вводе вычисляют значение абсолютного молярного или абсолютного массового градуировочного коэффициента в соответствии с 13.5.5.
13.5.4.2 При отсутствии стандартных образцов требуемого состава определение массовой доли газообразных углеводородов С1-н-С4 проводят методом внутреннего стандарта, в качестве которого используют 2, 2-диметилбутан. Метанол определяют методом абсолютной градуировки.
13.5.5 Градуировка хроматографа для определения содержания углеводородных компонентов и фракций в дегазированном конденсате (на канале Б)
13.5.5.1 Для индивидуальных углеводородов С1-н-С5 и фракций углеводородов от С6 до С44 (до С12+высшие), определяемых на канале Б, для каждого i-го компонента градуировочной смеси при j-м вводе вычисляют значение абсолютного молярного градуировочного коэффициента или абсолютного массового градуировочного коэффициента, или относительного молярного градуировочного коэффициента, или относительного массового градуировочного коэффициента и проводят проверку их приемлемости.
13.5.5.2 Значение абсолютного молярного градуировочного коэффициента K(хi)j устанавливают по формуле (13.2).
13.5.5.3 Значение абсолютного массового градуировочного коэффициента K(wi)j вычисляют по формуле
,
(13.11)
где wiгсо - массовая доля i-го компонента в градуировочной смеси, указанная в паспорте на ГСО, %;
mгсо - масса градуировочной смеси, введенной в хроматограф, вычисленная одним из способов по 13.5.1.6, г;
- значение площади пика i-го компонента градуировочной смеси, полученное при j-м вводе градуировочной смеси, единицы счета.
13.5.5.4 Значение относительного молярного градуировочного коэффициента Ko(хi)j вычисляют по формуле
,
(13.12)
где Sjсравн - значение площади пика сравнительного компонента, полученное при j-м вводе градуировочной смеси, единицы счета;
xiгсо - молярная доля i-го компонента в градуировочной смеси, указанная в паспорте на ГСО, %;
хсравн - молярная доля сравнительного компонента в градуировочной смеси, указанная в паспорте на ГСО, %;
- значение площади пика i-го компонента градуировочной смеси, полученное при j-м вводе градуировочной смеси, единицы счета.
13.5.5.5 Значение относительного массового градуировочного коэффициента Ko(wi)j вычисляют по формуле
,
(13.13)
где Sjсравн - значение площади пика сравнительного компонента, полученное при j-м вводе градуировочной смеси, единицы счета;
wiгсо - массовая доля i-го компонента в градуировочной смеси, указанная в паспорте на ГСО, %;
wсравн - массовая доля сравнительного компонента в градуировочной смеси, указанная в паспорте на ГСО, %;
Siгсо - значение площади пика i-го компонента градуировочной смеси, полученное при j-м вводе градуировочной смеси, единицы счета.
13.5.5.6 Проверку приемлемости значений абсолютных молярных K(хi)j, абсолютных массовых K(wi)j, относительных молярных Ko(хi)j или относительных массовых Ko(wi)j градуировочных коэффициентов проводят по значению относительного размаха (
,
,
или
), вычисляемого по формуле
;
;
;
,
(13.14)
где K(хi)max, K(xi)min, K(хi)ср - максимальное, минимальное и среднеарифметическое значения абсолютных молярных градуировочных коэффициентов для i-го компонента;
K(wi)max, K(wi)min, K(wi)ср - максимальное, минимальное и среднеарифметическое значения абсолютных массовых градуировочных коэффициентов для i-го компонента;
Ko(хi)max, Ko(xi)min, Ko(хi)ср - максимальное, минимальное и среднеарифметическое значения относительных молярных градуировочных коэффициентов для i-го компонента;
Ko(wi)max, Ko(wi)min, Ko(wi)ср - максимальное, минимальное и среднеарифметическое значения относительных массовых градуировочных коэффициентов для i-го компонента.
13.5.5.7 Результат градуировки хроматографа считают приемлемым, если:
а) значение относительного размаха
значений абсолютных молярных градуировочных коэффициентов K(хi)j не превышает пределов допускаемых значений
, вычисляемых для каждого i-го компонента по формуле
,
(13.15)
где Uo(xi) - относительная расширенная неопределенность результата измерений для значения молярной доли i-го компонента, равного значению его молярной доли в градуировочной смеси, установленная по таблице 4, %.
б) значение относительного размаха
значений абсолютных массовых градуировочных коэффициентов K(xi)j не превышает пределов допускаемых значений
, вычисляемых для каждого i-го компонента по формуле
,
(13.16)
где Uo(wi) - относительная расширенная неопределенность результата измерений для значения массовой доли i-го компонента, равного значению его массовой доли в градуировочной смеси, установленная по таблице 5, %.
в) значение относительного размаха
значений относительных молярных градуировочных коэффициентов Ko(хi)j не превышает пределов допускаемых значений
, вычисляемых для каждого i-го компонента по формуле
,
(13.17)
где
(хi) - относительная расширенная неопределенность результата измерений для значения молярной доли i-го компонента, равного значению его молярной доли в градуировочной смеси, установленная по таблице 4, %.
г) значение относительного размаха
значений относительных массовых градуировочных коэффициентов Ko(wi)j не превышает пределов допускаемых значений
, вычисляемых для каждого i-го компонента по формуле
,
(13.18)
где
(wi) - относительная расширенная неопределенность результата измерений массовой доли i-го компонента, равного значению его массовой доли в градуировочной смеси, установленная по таблице 5, %.
13.5.5.8 За результат определения абсолютного молярного градуировочного коэффициента K(хi) для i-го компонента принимают среднеарифметическое значение трех последовательно полученных значений абсолютных молярных градуировочных коэффициентов K(хi)j, удовлетворяющих требованиям приемлемости по 13.5.5.7, перечисление а).
За результат определения абсолютного массового градуировочного коэффициента K(wi) для i-го компонента принимают среднеарифметическое значение трех последовательно полученных значений абсолютных молярных градуировочных коэффициентов K(wi)j, удовлетворяющих требованиям приемлемости по 13.5.5.7, перечисление б).
За результат определения относительного молярного градуировочного коэффициента Kо(хi) для i-го компонента принимают среднеарифметическое значение трех последовательно полученных значений относительных молярных градуировочных коэффициентов Kо(хi)j, удовлетворяющих требованиям приемлемости по 13.5.5.7, перечисление в).
За результат определения относительного массового градуировочного коэффициента Kо(wi) для i-го компонента принимают среднеарифметическое значение трех последовательно полученных значений относительных массовых градуировочных коэффициентов Ko(wi)j, удовлетворяющих требованиям приемлемости по 13.5.5.7. перечисление г).
Если по результатам трех измерений не получен результат, удовлетворяющий требованиям норматива размаха, проводят дополнительные измерения (не более двух) и вычисляют размах значений градуировочного коэффициента по результатам трех последовательно полученных значений.
Если в серии из пяти измерений не получены удовлетворительные результаты, работу останавливают, выясняют и устраняют причину нестабильности работы прибора, после чего повторяют процедуру градуировки.
13.5.5.9 Для изомеров углеводородов до н-С5 дегазированного конденсата, отсутствующих в градуировочной смеси, значение градуировочного коэффициента принимают равным значению, установленному для углеводорода нормального строения с таким же числом атомов углерода.
Для фракций углеводородов газа дегазации или дегазированного конденсата значение градуировочного коэффициента устанавливается методом интерполяции по зависимости градуировочных коэффициентов н-алканов от их температур кипения для значения средней температуры кипения фракции.
Зависимость градуировочных коэффициентов н-алканов от их температур кипения устанавливают по 13.5.6.
13.5.5.10 За значение средней температуры кипения фракции, сформированной по числу атомов углерода, принимают среднеарифметическое значение температур кипения н-алкана данной фракции и н-алкана предыдущей фракции или средневзвешенное значение температур кипения компонентов, входящих во фракцию.
Пример - Для фракции С7 за температуру кипения принимают среднеарифметическое значение температуры кипения входящего в данную фракцию н-гептана (98 °С) и температуры кипения входящего в предыдущую фракцию н-гексана (69 °С). Среднеарифметическая температура кипения фракции С7 составляет 83, 5 °С.
За значение температуры кипения фракции, сформированной по температурам кипения, принимают среднеарифметическое значение установленных для нее температур начала и конца кипения или средневзвешенное значение температур кипения входящих во фракцию компонентов.
Пример - Для температурной фракции 230-240 °С за температуру кипения углеводородной фракции принимают среднеарифметическое значение температуры начала (230 °С) и конца (240 °С) кипения, то есть 235 °С.
Примечания
1 Средневзвешенное значение температуры кипения фракции вычисляют по формуле
,
(13.19)
где хi - молярная доля i-го углеводорода, входящего во фракцию, %;
ti - температура кипения i-го углеводорода, входящего во фракцию, °С.
Если невозможно определить содержание всех входящих во фракцию углеводородов, средневзвешенное значение температуры кипения фракции устанавливают интерполяцией по зависимости времени выхода н-алканов от его температуры кипения для средневзвешенного значения времени выхода фракции. Средневзвешенное значение времени выхода фракции устанавливают по хроматограмме, предварительно размеченной на фракции, представляет собой точку на оси времени выхода, в которой суммарная площадь пиков компонентов, входящих во фракцию, делится пополам.
2 Допускается для определения градуировочных коэффициентов фракций углеводородов использовать значения температур кипения фракций, вычисленные или установленные иными способами, точность которых не хуже указанных.
13.5.6 Установление зависимостей времени выхода и градуировочных коэффициентов н-алканов от их температур кипения
13.5.6.1 Зависимости времени выхода и градуировочных коэффициентов н-алканов от их температур кипения устанавливают одновременно с определением градуировочных коэффициентов.
Примечание - Зависимости времени выхода и градуировочных коэффициентов н-алканов от их температур кипения можно представить в виде графиков, таблиц, математических функций.
13.5.6.2 Температуры кипения углеводородов приведены в таблице Б.1 (приложение Б).
13.5.6.3 Для установления зависимости времени выхода н-алканов от их температур кипения используют хроматограмму градуировочной смеси углеводородного состава газа дегазации или дегазированного конденсата, полученную при выбранных условиях измерений. На хроматограмме определяют время выхода для каждого н-алкана градуировочной смеси и строят зависимость времени выхода от температуры кипения компонента.
Пример зависимости времени выхода н-алканов от температуры кипения для градуировочной смеси, представленной в виде графика, приведен на рисунке Г.1 (приложение Г), в табличной форме - в таблице Г.2 (приложение Г).
13.5.6.4 Для установления зависимости градуировочных коэффициентов н-алканов K от их температур кипения используют полученные по 13.5.2 и 13.5.5 значения K, которые соотносят с соответствующими значениями температур кипения н-алканов.
13.5.7 Градуировка хроматографа для определения серосодержащих соединений в дегазированном конденсате (на канале В)
13.5.7.1 При измерении молярной (массовой) доли серосодержащих соединений с использованием ПФД на канале В градуировочный график строят не менее по чем двум точкам, соответствующим 20 и 80 % от верхнего предела диапазона измерений молярной (массовой) доли.
13.5.7.2 По полученным при анализе градуировочной смеси данным строят логарифмическую зависимость значения сигнала детектора (площади или высоты пика) i-го серосодержащего компонента Si от значения его молярной доли хi или массы mi.
Примечание - Экстраполяция полученной градуировочной зависимости в области меньшего или большего содержания компонентов не должна превышать 20 %. При широком диапазоне значений молярной или массовой доли компонентов градуировочную зависимость строят для нескольких участков рабочего диапазона измерений.
13.5.7.3 Проверку приемлемости полученных значений сигналов детектора (площадей или высот пиков) проводят по значению относительного размаха RSi, вычисляемого по формуле (13.6).
Результат градуировки хроматографа считают приемлемым, если значение относительного размаха RSi, полученных значений сигнала детектора (площади или высоты пика) Si не превышает пределов допускаемых значений R'Si, вычисляемых для каждого i-го серосодержащего компонента по формулам:
20 % от верхнего предела диапазона измерений
R'Si=0, 8Uo(xi);
R'Si=0, 8Uo(wi);
(13.20)
80 % от верхнего предела диапазона измерений
R'Si=0, 6Uo(xi);
R'Si=0, 6Uo(wi),
где Uо(хi), Uo(wi) - относительная расширенная неопределенность результата измерений для значения соответственно молярной или массовой доли i-го серосодержащего компонента, равного значению его молярной или массовой доли в градуировочной смеси, приведенная в таблицах 4 и 5 соответственно, %.
13.5.7.4 За результат определения сигналов детектора (площадей или высот пиков)
и
принимают среднеарифметическое значение трех последовательно полученных значений
,
удовлетворяющих требованию приемлемости по 13.5.7.3.
Если по результатам трех измерений не получен результат, удовлетворяющий требованиям норматива размаха, проводят дополнительные измерения (не более двух) и вычисляют размах по результатам трех последовательно полученных значений.
Если в серии из пяти измерений не получены удовлетворительные результаты, работу следует остановить, выяснить и устранить причину нестабильности работы прибора, после чего повторить процедуру градуировки.
13.5.7.5 Сигнал детектора (площадь или высота пика) Si и молярная доля каждого i-го серосодержащего компонента хi связаны уравнениями (13.8) - (13.10).
13.5.7.6 Сигнал детектора (площадь или высота пика) Si и масса каждого i-го серосодержащего компонента mi связаны уравнением
,
(13.21)
где ki и li - коэффициенты, определяемые по формулам
;
,
(13.22)
где
и
- среднеарифметические значения сигнала детектора (площади или высоты пика) i-го серосодержащего компонента в первой и второй градуировочных смесях соответственно, единицы счета;
и
- массы i-го серосодержащего компонента в первой и второй градуировочных смесях соответственно, введенного в хроматограф, г, вычисляемые по формуле
,
(13.23)
где wiгсо - массовая доля i-го серосодержащего компонента в градуировочной смеси, указанная в паспорте на ГСО, %;
mгсо - масса градуировочной смеси, введенной в хроматограф, вычисленная одним из способов по 13.5.1.6, г.
Для линеаризации степенной зависимости применяют логарифмирование уравнения (13.21)
lgSi=lgki+li·lgmi.
(13.24)
13.5.7.7 По среднеарифметическим значениям сигналов детектора (площадей или высот пиков)
,
и молярной или массовой доле соответствующего i-го серосодержащего компонента в градуировочной смеси, указанной в паспорте на ГСО, вычисляют коэффициенты li и ki по формуле (13.9) или (13.22) для каждого i-го серосодержащего компонента.
13.5.7.8 При использовании детекторов, характеризующихся линейностью сигнала, строят градуировочную характеристику вида y = k(х) или y = k(m). Для построения градуировочной характеристики используют градуировочную смесь с содержанием определяемых компонентов, соответствующим 70-90 % от верхнего предела рабочего диапазона измерений.
Значение абсолютного молярного градуировочного коэффициента K(xi)j вычисляют по формуле (13.2).
Значение абсолютного массового градуировочного коэффициента K(wi)j вычисляют по формуле (13.11).
Проверку приемлемости значений градуировочных коэффициентов проводят по 13.5.5.6.
За результат определения градуировочного коэффициента принимают среднеарифметическое значение трех последовательно полученных значений, удовлетворяющих требованиям приемлемости по 13.5.5.7, перечисления а), б).
Если по результатам трех измерений не получен результат, удовлетворяющий требованиям норматива размаха, проводят дополнительные измерения (не более двух) и вычисляют размах значений градуировочного коэффициента по результатам трех последовательно полученных значений.
Если в серии из пяти измерений не получены удовлетворительные результаты, работу следует остановить, выяснить и устранить причину нестабильности работы прибора, после чего повторить процедуру градуировки.
14.1 Общие положения
14.1.1 К выполнению измерений молярной (массовой) доли компонентов и фракций в анализируемой пробе газа дегазации или дегазированного конденсата приступают при положительных результатах градуировки хроматографа и снятия нулевой (базовой) линии по 13.4.
14.1.2 Идентификацию компонентов пробы проводят путем сравнения с хроматограммой градуировочной смеси, полученной при выбранных идентичных условиях измерений.
14.1.3 Каждую пробу хроматографируют не менее двух раз, при определении серосодержащих соединений - не менее трех раз.
14.1.4 Для ввода пробы газа дегазации в хроматограф пакет с пробой (приемник газа дегазации) подсоединяют к крану-дозатору и, используя побудитель расхода или немного поддавливая пакет, продувают дозирующую петлю и подводящие линии, при этом объем продуваемого газа должен составлять не менее 20-кратного суммарного объема дозирующей петли крана-дозатора и подводящих трубок.
При наличии технических возможностей хроматографического оборудования пробу газа дегазации подают в хроматограф непосредственно в процессе дегазации нестабильного газового конденсата по способу 2 в соответствии с 11.3.
После продувки закрывают пакет с пробой газа дегазации на 1-2 с, необходимые для выравнивания давления газа в петле с атмосферным давлением, и переключают дозирующее устройство для ввода пробы в хроматограф.
14.1.5 Пробу дегазированного конденсата вводят в соответствии с 13.5.1.6. Проба дегазированного конденсата перед вводом в хроматограф должна оставаться в однофазном жидком состоянии. При охлаждении дегазированного конденсата с высоким содержанием парафинов возможно их выпадение в твердую фазу. В таких случаях следует герметично закрытую виалу с пробой медленно подогреть до температуры окружающей среды и перемешиванием вернуть пробу в однофазное состояние.
14.1.6 После регистрации хроматограмм, идентификации пиков, вычитания базовой линии и установления значения площади пика Si j вычисляют значение молярной доли хi j компонентов газа дегазации, молярной хi j или массовой wi j доли компонентов и фракций дегазированного конденсата и проверяют приемлемость полученных значений.
14.2 Разметка хроматограммы для представления углеводородного состава в компонентно-фракционном виде
14.2.1 Способ 1
Состав газа дегазации (дегазированного конденсата) представляют в компонентно-фракционном виде с выделением углеводородов С1-н-С5 в виде индивидуальных компонентов, углеводородов С6-С10 (С6-С44) - в виде фракций, сформированных по числу атомов углерода КФСС.
Определяют площадь пиков индивидуальных углеводородов С1-н-С5. Площадь пиков, соответствующую компонентам от С6 до С10 (от С6 до С44), размечают на фракции по числу атомов углерода. Границей фракции принимают минимум сигнала детектора после выхода соответствующего н-алкана, например последним пиком во фракции С6 является н-С6, во фракции С7 - н-С7 и т.д.
14.2.2 Способ 2
Состав газа дегазации (дегазированного конденсата) представляют в компонентно-фракционном виде с выделением углеводородов С1-н-С5 в виде индивидуальных компонентов, углеводородов от С6 до С10 (С6-С44) - в виде фракций, сформированных по температурам кипения (КФСt).
Примечание - Ширину температурного интервала фракций КФСt выбирают в зависимости от использования компонентно-фракционного состава пробы газа дегазации (дегазированного конденсата, нестабильного газового конденсата) и требуемой степени его детализации, например, в настоящем стандарте использован диапазон температур 15 °С - для первой фракции от 45 до 60 и 10 °С - для последующих фракций от 60 до 180 °С (540 °С).
Определяют площадь пиков индивидуальных углеводородов С1-н-С5. Площадь пиков, соответствующую компонентам от С6 до С10 (от С6 до С44), размечают на фракции, соответствующие диапазонам температур кипения. Для разметки хроматограммы используют установленную по 13.5.6 зависимость времени выхода углеводорода от его температуры кипения.
Границы температурной фракции по времени выхода τi определяют методом линейной интерполяции по времени выхода τi+1, τi-1 и температурам кипения ti+1, ti-1 ближайших н-алканов.
14.3 Определение состава газа дегазации
14.3.1 Измерение молярной доли неуглеводородных компонентов, углеводородов, сероводорода и метанола в газе дегазации
14.3.1.1 Значение молярной доли хi j компонентов газа дегазации, %, вычисляют по формуле
xij=K(xi)Sij,
(14.1)
где K(хi) - значение градуировочного коэффициента для i-го компонента газа дегазации;
Si j - значение площади пика для i-го компонента газа дегазации, полученное при j-м вводе пробы в хроматограф, единицы счета.
При наличии пика кислорода на хроматограмме газа дегазации, полученной на колонке с молекулярными ситами, значение площади пика азота корректируют по формуле
,
(14.2)
где
- значение площади пика азота, полученное при j-м вводе пробы в хроматограф, единицы счета;
- значение площади пика кислорода, полученное при j-м вводе пробы в хроматограф, единицы счета;
k - коэффициент, представляющий собой отношение молярной доли азота в воздухе к молярной доле кислорода в воздухе в соответствии с ГОСТ 31369-2008 (таблица 2), равный 3, 729.
14.3.1.2 Проверку приемлемости значений молярной доли компонента пробы газа дегазации хi j проводят по значению абсолютного расхождения ri, вычисляемого по формуле
ri=(ximax-ximin),
(14.3)
где ximax, ximin - максимальное и минимальное значения молярной доли i-го компонента газа дегазации, полученные при двух измерениях, %.
Результат считают приемлемым, если значение абсолютного расхождения ri не превышает пределов допускаемых значений r'i, вычисляемых по формуле
r'i=1, 2U(xi),
(14.4)
где U(xi) - значение абсолютной расширенной неопределенности результата измерений молярной доли i-го компонента газа дегазации, рассчитанное по таблице 3, %.
14.3.1.3 За результат измерений молярной доли азота, диоксида углерода, углеводородов, сероводорода и метанола в анализируемой пробе газа дегазации принимают среднеарифметическое значение двух полученных значений, удовлетворяющих требованиям приемлемости по 14.3.1.2, и рассматривают его как измеренное (ненормализованное) - xi*.
При несоответствии полученных значений молярной доли требованиям приемлемости проводят дополнительные измерения (не более трех). Проверку приемлемости полученных результатов измерений проводят по результатам двух последовательно проведенных измерений.
Если в серии из пяти измерений не получены удовлетворительные результаты, но совокупность последовательно полученных значений молярной доли i-го компонента не имеет вид монотонно убывающего или возрастающего ряда значений, допускается за результат определения молярной доли принимать среднеарифметическое значение пяти значений без проверки приемлемости и рассматривать его как измеренное (ненормализованное) - xi*.
14.3.2 Измерение молярной доли серосодержащих соединений газа дегазации
14.3.2.1 Для серосодержащих компонентов пробы газа дегазации, в том числе сероводорода с молярной долей менее 0, 10 %, вычисляют значение молярной доли i-го серосодержащего компонента xi j, %, по формуле:
при нелинейной градуировочной зависимости
,
;
(14.5)
при линейной градуировочной зависимости
xij=K(xi)Sij,
(14.6)
где Si j - значение сигнала детектора (площади или высоты пика) сероводорода и i-го серосодержащего компонента в анализируемой пробе газа дегазации, полученное при j-м вводе пробы в хроматограф, единицы счета;
ki, li - коэффициенты, определяемые по формуле (13.9) для сероводорода и каждого i-го серосодержащего компонента газа дегазации;
K(хi) - значение градуировочного коэффициента для сероводорода и i-го серосодержащего компонента газа дегазации, вычисленное по формуле (13.1).
14.3.2.2 Проверку приемлемости значений молярной доли сероводорода и i-го серосодержащего компонента проводят по значению абсолютного расхождения ri, вычисляемого по формуле
ri=(ximax-ximin),
(14.7)
где ximax, ximin - максимальное и минимальное значения молярной доли сероводорода и i-го серосодержащего компонента, полученные при трех измерениях, %.
Результат считают приемлемым, если значение абсолютного расхождения ri не превышает пределов допускаемых значений r'i, вычисляемых по формуле
r'i=1, 2U(xi),
(14.8)
где U(xi) - значение абсолютной расширенной неопределенности результата измерений молярной доли сероводорода и i-го серосодержащего компонента газа дегазации, вычисленное по таблице 3, %.
14.3.2.3 За результат измерений молярной доли i-го серосодержащего компонента, в том числе сероводорода с молярной долей менее 0, 1 %, в анализируемой пробе газа дегазации принимают среднеарифметическое значение трех последовательно полученных значений, удовлетворяющих требованиям приемлемости по 14.3.2.2, и рассматривают его как измеренное (ненормализованное) - xi*.
При несоответствии полученных результатов измерений молярной доли требованиям приемлемости выполняют дополнительные измерения (не более двух). Проверку приемлемости полученных результатов измерений проводят по результатам трех последовательно проведенных измерений.
Если в серии из пяти измерений не получены удовлетворительные результаты, но совокупность последовательно полученных значений молярной доли i-го серосодержащего компонента не имеет вид монотонно убывающего или возрастающего ряда значений, допускается за результат определения молярной доли принимать среднеарифметическое значение пяти значений без проверки приемлемости и рассматривать его как измеренное (ненормализованное) - xi*.
14.4 Определение состава дегазированного конденсата
14.4.1 Определение содержания углеводородов С1-н-С5 дегазированного конденсата по методу внутреннего стандарта (на канале А)
14.4.1.1 Массовую долю индивидуальных углеводородов С1-н-С5 определяют на канале А методом внутреннего стандарта с учетом относительной чувствительности детектора к определяемым компонентам. В качестве внутреннего стандарта используют 2, 2-диметилбутан.
Примечание - В качестве внутреннего стандарта допускается использовать другой углеводород из числа соединений, близких анализируемым компонентам по структуре и летучести, не присутствующий в пробе дегазированного конденсата, полностью смешиваемый с компонентами ДК. Пик внутреннего стандарта на хроматограмме должен располагаться в непосредственной близости от пиков анализируемых углеводородов, не накладываясь на них.
14.4.1.2 В предварительно взвешенную виалу через прокладку вносят примерно 10 см3 дегазированного конденсата и снова взвешивают. Затем в эту же виалу шприцем вносят приблизительно 0, 2 см3 2, 2-диметилбутана и снова взвешивают. Результаты всех взвешиваний записывают в граммах с точностью до 0, 0001 г.
Содержимое виалы энергично перемешивают 1 мин.
Массу навески дегазированного конденсата и внутреннего стандарта (2, 2-диметилбутана) определяют по разности масс виалы до и после внесения в нее соответствующего компонента.
14.4.1.3 Значение массовой доли wi j индивидуальных углеводородов С1-н-С5 в дегазированном конденсате, %, вычисляют по формуле
,
(14.9)
где Si j - значение площади пика для i-го компонента пробы дегазированного конденсата, полученное при j-м вводе пробы в хроматограф, единицы счета;
mвнст - масса навески внутреннего стандарта, г;
Ki - значение массового коэффициента чувствительности ПИД для i-го компонента дегазированного конденсата, приведенное в таблице 10;
mДК - масса навески дегазированного конденсата, вычисленная одним из способов по 13.5.1.6, г;
Sjвнст - значение площади пика внутреннего стандарта (2, 2-диметилбутана), полученное при j-м вводе пробы в хроматограф, единицы счета.
Примечание - При наличии в дегазированном конденсате 2, 2-диметилбутана в вычислениях необходимо использовать разность площадей соответствующих пиков для пробы, содержащей внутренний стандарт, и исходной пробы.
|
Наименование компонента |
Значение массового коэффициента чувствительности ПИД |
|
Метан |
1, 114 |
|
Этан |
1, 047 |
|
Пропан |
1, 023 |
|
Изобутан, н-бутан |
1, 012 |
|
Изопентан, н-пентан |
1, 005 |
|
Углеводороды С6 |
1, 000 |
14.4.1.4 Проверку приемлемости значений массовой доли i-го компонента проводят по значению абсолютного расхождения ri, вычисляемого по формуле
ri=(wimax-wimin),
(14.10)
где wimax, wimin - максимальное и минимальное значения массовой доли анализируемого i-го компонента, полученные при двух измерениях, %.
Результат считают приемлемым, если значение абсолютного расхождения ri не превышает предела допускаемых значений r'i, вычисляемого по формуле
r'i=1, 2U(wi),
(14.11)
где U(wi) - значение абсолютной расширенной неопределенности результата измерений массовой доли i-го компонента дегазированного конденсата, вычисленное по формуле
,
(14.12)
где
(wi) - значение относительной расширенной неопределенности для измеренного значения массовой доли i-го компонента дегазированного конденсата, установленное по таблице 5, %.
14.4.1.5 За результат измерений массовой доли i-го компонента в анализируемой пробе дегазированного конденсата принимают среднеарифметическое значение двух полученных значений, удовлетворяющих требованиям приемлемости по 14.4.1.4, и рассматривают его как промежуточное (ненормализованное) - wi.
При несоответствии полученных значений массовой доли требованиям приемлемости проводят дополнительные измерения (не более трех). Проверку приемлемости полученных значений массовой доли проводят по результатам двух последовательно проведенных измерений.
Если в серии из пяти измерений не получены удовлетворительные результаты, но совокупность последовательно полученных значений массовой доли i-го серосодержащего компонента не имеет вид монотонно убывающего или возрастающего ряда значений, допускается за результат определения массовой доли принимать среднеарифметическое значение пяти значений без проверки приемлемости и рассматривать его как промежуточное (ненормализованное) - wi.
14.4.2 Определение содержания индивидуальных углеводородов, фракций углеводородов и метанола в дегазированном конденсате (на каналах А, Б)
14.4.2.1 Для компонентов и фракций, определяемых на каналах А и Б с использованием абсолютных молярных или абсолютных массовых градуировочных коэффициентов, значение молярной хi j или массовой wi j доли компонентов и фракций, %, вычисляют по соответствующей формуле
xij=K(xi)Sij,
,
(14.13)
где K(xi) - значение абсолютного молярного градуировочного коэффициента для i-го компонента дегазированного конденсата;
Si j - значение площади пика для i-го компонента пробы дегазированного конденсата, полученное при j-м вводе пробы в хроматограф, единицы счета;
K(wi) - значение абсолютного массового градуировочного коэффициента для i-го компонента дегазированного конденсата;
mДК - масса навески дегазированного конденсата, вычисленная одним из способов по 13.5.1.6, г.
14.4.2.2 Проверку приемлемости значений массовой доли i-го компонента проводят в соответствии с 14.4.1.4, молярной доли - по значению абсолютного расхождения ri, вычисляемого по формуле
ri=(ximax-ximin),
(14.14)
где ximax, ximin - максимальное и минимальное значения молярной доли анализируемого i-го компонента или фракции, полученные при двух измерениях, %.
Результат считают приемлемым, если значение абсолютного расхождения ri не превышает предела допускаемых значений r'i, вычисляемого по формуле
r'i=1, 2U(xi),
(14.15)
где U(xi) - значение абсолютной расширенной неопределенности результата измерений молярной доли i-го компонента дегазированного конденсата, вычисленное по формуле
,
(14.16)
где
(xi) - значение относительной расширенной неопределенности для измеренного значения молярной доли i-го компонента дегазированного конденсата, установленное по таблице 4, %.
14.4.2.3 За результат измерений молярной или массовой доли i-го компонента в анализируемой пробе дегазированного конденсата принимают среднеарифметическое значение двух полученных значений, удовлетворяющих требованиям приемлемости по 14.4.2.2, и рассматривают его как промежуточное (ненормализованное) - xi*, wi*.
При несоответствии полученных значений молярной или массовой доли требованиям приемлемости проводят дополнительные измерения (не более трех). Проверку приемлемости полученных значений молярной или массовой доли проводят по результатам двух последовательно проведенных измерений.
Если совокупность последовательно полученных значений молярной или массовой доли i-го компонента не имеет вид монотонно убывающего или возрастающего ряда значений, допускается за результат определения молярной или массовой доли принимать среднеарифметическое значение пяти значений без проверки приемлемости и рассматривать его как промежуточное (ненормализованное) - xi*, wi*.
14.4.2.4 Для углеводородных компонентов и фракций, определяемых на канале Б с использованием относительных молярных или относительных массовых градуировочных коэффициентов, значение молярной или массовой доли компонента, %, вычисляют по соответствующей формуле
,
,
(14.17)
где Ko(хi) - значение относительного молярного градуировочного коэффициента для i-го компонента дегазированного конденсата;
Si j - значение площади пика для i-го индивидуального компонента пробы дегазированного конденсата или значение площади пиков компонентов, входящих во фракцию, полученное при j-м вводе пробы, единицы счета;
- сумма промежуточных (ненормализованных) значений молярной доли компонентов дегазированного конденсата, измеренной на каналах А и В с использованием абсолютных молярных градуировочных коэффициентов, %;
Ko(хi) - значение относительного массового градуировочного коэффициента для i-го компонента дегазированного конденсата;
- сумма промежуточных (ненормализованных) значений массовой доли компонентов дегазированного конденсата, измеренной на каналах А и В с использованием абсолютных молярных градуировочных коэффициентов, %.
14.4.2.5 Проверку приемлемости полученных значений молярной xi j или массовой wi j доли проводят по значению абсолютного расхождения ri, вычисляемого по формуле
ri=(ximax-ximin),
ri=(wimax-wimin),
(14.18)
где ximax, ximin - максимальное и минимальное значения молярной доли i-го компонента или фракции, полученные при двух измерениях, %;
wimax, wimin - максимальное и минимальное значения массовой доли анализируемого i-го компонента или фракции, полученные при двух измерениях, %.
Результат считают приемлемым, если значение абсолютного расхождения ri не превышает предела допускаемых значений r'i, вычисляемого по соответствующей формуле
r'i=0, 8U(xi),
r'i=0, 8U(wi),
(14.19)
где U(хi) - значение абсолютной расширенной неопределенности результата измерений молярной доли i-го компонента дегазированного конденсата, рассчитанное по формуле (14.16);
U(wi) - значение абсолютной расширенной неопределенности результата измерений массовой доли i-го компонента дегазированного конденсата, вычисленное по формуле (14.12).
14.4.2.6 За результат измерений молярной или массовой доли i-го компонента в анализируемой пробе ДК принимают среднеарифметическое значение двух полученных значений, удовлетворяющих требованиям приемлемости по 14.4.2.5, и рассматривают его как промежуточное (ненормализованное) - xi*, wi*.
При несоответствии полученных значений молярной или массовой доли требованиям приемлемости проводят дополнительные измерения (не более трех). Проверку приемлемости полученных значений проводят по результатам двух последовательно проведенных измерений.
Если совокупность последовательно полученных значений молярной или массовой доли i-го компонента не имеет вид монотонно убывающего или возрастающего ряда значений, допускается за результат определения принимать среднеарифметическое значение пяти значений без проверки приемлемости и рассматривать его как промежуточное (ненормализованное) - xi*, wi*.
14.4.2.7 Для представления углеводородного состава дегазированного конденсата в компонентно-фракционном виде проводят разметку хроматограммы по 14.2.1 или 14.2.2.
14.4.3 Определение серосодержащих соединений в дегазированном конденсате (на канале В)
14.4.3.1 Значение молярной доли сероводорода (при его молярной доле менее 0, 10 %) и i-го серосодержащего компонента, определяемых на канале В, %, вычисляют по одной из формул:
при нелинейной градуировочной зависимости
,
;
(14.20)
при линейной градуировочной зависимости
xij=K(xi)Sij,
(14.21)
где ki, li - коэффициенты, определяемые по формуле (13.9) для сероводорода и каждого i-го серосодержащего компонента дегазированного конденсата;
Si j - значение сигнала детектора (площади или высоты пика) сероводорода и i-го серосодержащего компонента в анализируемой пробе дегазированного конденсата, полученное при j-м вводе пробы в хроматограф, единицы счета;
K(xi) - значение градуировочного коэффициента для сероводорода и i-го серосодержащего компонента дегазированного конденсата, установленное по 13.5.7.8.
14.4.3.2 Значение массовой доли сероводорода и i-го серосодержащего компонента, определяемых на канале В, %, вычисляют по одной из формул:
при нелинейной градуировочной зависимости
,
,
;
(14.22)
при линейной градуировочной зависимости
wij=K(wi)Sij,
(14.23)
где Si j - значение сигнала детектора (площади или высоты пика) сероводорода и i-го серосодержащего компонента в анализируемой пробе дегазированного конденсата, полученное при j-м вводе пробы в хроматограф, единицы счета;
ki, li - коэффициенты, определяемые по формуле (13.22) для сероводорода и каждого i-го серосодержащего компонента дегазированного конденсата;
K(wi) - значение градуировочного коэффициента для сероводорода и i-го серосодержащего компонента дегазированного конденсата, вычисленное по 13.5.7.8.
14.4.3.3 Проверку приемлемости значений молярной или массовой доли сероводорода и i-го серосодержащего компонента проводят по значению абсолютного расхождения ri, вычисляемого по формуле
ri=(ximax-ximin),
ri=(wimax-wimin),
(14.24)
где ximax, ximin - максимальное и минимальное значения молярной доли сероводорода и i-го серосодержащего компонента, полученные при двух измерениях, %;
wimax, wimin - максимальное и минимальное значения массовой доли сероводорода и i-го серосодержащего компонента, полученные при двух измерениях, %.
Результат считают приемлемым, если значение абсолютного расхождения ri не превышает допускаемых значений r'i, вычисляемых по формуле
r'i=1, 2U(xi),
r'i=1, 2U(wi),
(14.25)
где U(xi) - значение абсолютной расширенной неопределенности результата измерений молярной доли сероводорода и i-го серосодержащего компонента дегазированного конденсата, вычисленное по формуле (14.16);
U(wi) - значение абсолютной расширенной неопределенности результата измерений массовой доли сероводорода и i-го серосодержащего компонента дегазированного конденсата, вычисленное по формуле (14.12).
14.4.3.4 За результат измерений молярной или массовой доли сероводорода и серосодержащих компонентов в анализируемой пробе ДК принимают среднеарифметическое значение двух полученных значений, удовлетворяющих требованиям приемлемости по 14.4.3.3, и рассматривают его как промежуточное (ненормализованное) xi*, wi*.
При несоответствии полученных значений молярной или массовой доли требованиям приемлемости проводят дополнительные измерения (не более трех). Проверку приемлемости полученных значений молярной или массовой доли проводят по результатам двух последовательно проведенных измерений.
В том случае, если совокупность последовательно полученных значений молярной или массовой доли i-го компонента не имеет вид монотонно убывающего или возрастающего ряда значений, допускается за результат определения принимать среднеарифметическое значение пяти значений без проверки приемлемости и рассматривать его как промежуточное (ненормализованное) - xi*, wi*.
15.1 Обработка результатов измерений состава газа дегазации
15.1.1 Молярную долю компонентов газа дегазации вычисляют методом нормализации измеренных (ненормализованных) значений молярной доли неуглеводородных компонентов (азота, диоксида углерода), углеводородов, серосодержащих соединений, в том числе сероводорода, и метанола. Нормализация допускается при отличии суммы измеренных значений молярной доли от 100 % не более чем на 5 %.
Если сумма измеренных значений молярной доли компонентов газа дегазации отличается от 100 % более чем на 5 %, измерения повторяют (при наличии возможности - и процедуру дегазации). Если сумма повторно измеренных значений молярной доли компонентов вновь отличается от 100 % более чем на 5 %, пробу бракуют.
15.1.2 Нормализацию ненормализованных значений молярной доли всех определенных компонентов газа дегазации проводят по формуле
,
(15.1)
где xi - нормализованное значение молярной доли i-го компонента газа дегазации, %;
xi* - измеренное значение молярной доли i-го компонента газа дегазации, %.
15.2 Обработка результатов измерений состава дегазированного конденсата
15.2.1 Обработка результатов измерений, выполненных с использованием абсолютных молярных (массовых) градуировочных коэффициентов на каналах А, Б, В
За результат измерения молярной (массовой) доли компонентов и фракций дегазированного конденсата, определенной с использованием абсолютных молярных (массовых) градуировочных коэффициентов на каналах А, Б и В, принимают нормализованное значение молярной (массовой) доли, вычисленное по формуле
;
(15.2)
,
(15.3)
где
- промежуточное (ненормализованное) значение молярной доли i-го компонента или фракции дегазированного конденсата, измеренное на канале А, Б или В, %;
- сумма промежуточных (ненормализованных) значений молярной доли компонентов и фракций, определенных на каналах А, Б и В с использованием абсолютных молярных градуировочных коэффициентов;
- промежуточное (ненормализованное) значение массовой доли i-го компонента или фракции дегазированного конденсата, измеренное на канале А, Б или В, %;
- сумма промежуточных (ненормализованных) значений массовой доли компонентов и фракций, определенных на каналах А, Б и В с использованием абсолютных молярных градуировочных коэффициентов.
Нормализация допускается при отличии суммы измеренных значений молярной (массовой) доли от 100 % не более чем на 5 %.
Если сумма измеренных значений молярной (массовой) доли компонентов дегазированного конденсата отличается от 100 % более чем на 5 %, измерения повторяют (при наличии возможности - и процедуру дегазации). Если сумма повторно измеренных значений молярной (массовой) доли компонентов вновь отличается от 100 % более чем на 5 %, пробу бракуют.
15.2.2 Обработка результатов измерений, выполненных с использованием абсолютных молярных (массовых) градуировочных коэффициентов на каналах А, В и относительных молярных (массовых) градуировочных коэффициентов на канале Б
За результат измерения молярной (массовой) доли компонентов дегазированного конденсата, определенной с использованием абсолютных молярных градуировочных коэффициентов на каналах А, В и относительных молярных градуировочных коэффициентов на канале Б, принимают промежуточный (ненормализованный) результат, то есть
.
16.1 Исходные данные для вычисления компонентно-фракционного состава
16.1.1 В результате проведенных процесса дегазации и измерений компонентно-фракционного состава газа дегазации и дегазированного конденсата получают исходные данные для расчета КФС нестабильного газового конденсата.
16.1.2 Исходные данные, полученные в процессе дегазации по способу 1:
xiГД - молярная доля компонентов и фракций газа дегазации, измеренная хроматографическим методом, %;
xiДК или wiДК - молярная или массовая доля компонентов и фракций дегазированного конденсата, измеренная хроматографическим методом, %;
mГД - масса газа дегазации, выделившегося в процессе дегазации НГК, вычисленная по 11.2.9.2, г;
mДК - масса дегазированного конденсата, выделившегося в процессе дегазации НГК, вычисленного по 11.2.9.1, г;
mНГК - масса НГК, вычисляемая как разность масс пробоотборника с пробой НГК и пустого пробоотборника, г.
16.1.3 Исходные данные, полученные в процессе дегазации по способу 2;
xiГД - молярная доля компонентов и фракций газа дегазации, измеренная хроматографическим методом, %;
xiДК или wiДК - молярная или массовая доля компонентов и фракций дегазированного конденсата, измеренная хроматографическим методом, %;
mГД - масса газа дегазации, выделившегося в процессе дегазации, вычисленная по 11.3.6.3, г;
mДК - масса дегазированного конденсата, выделившегося в процессе дегазации НГК, вычисленная по 11.3.6.1, г.
16.2 Вычисление компонентно-фракционного состава нестабильного газового конденсата в единицах массовой доли
16.2.1 Состав газа дегазации или дегазированного конденсата в единицах массовой доли wi устанавливают вычислением по формуле (7.1).
16.2.1.1 Молярную массу индивидуальных компонентов устанавливают с использованием справочных данных. Молярные массы алканов приведены в таблице Б.1 (приложение Б), серосодержащих соединений - в таблице Б.2 (приложение Б).
16.2.1.2 Молярную массу фракции углеводородов устанавливают методом интерполяции по зависимости температуры кипения н-алкана от его молярной массы для значения средней температуры кипения фракции. Среднюю температуру кипения фракции углеводородов устанавливают в соответствии с 13.5.5.10.
16.2.1.3 Молярную массу фракции С6+высшие или фракции С12+высшие вычисляют по формуле
,
(16.1)
где хi - молярная доля i-й фракции, входящей в состав фракции С6+высшие или фракции С12+высшие, установленная при определении полного компонентно-фракционного состава газа дегазации или дегазированного конденсата, %;
Mi - молярная масса i-й фракции углеводородов, г/моль.
16.2.1.4 Допускается молярные массы фракций углеводородов, в том числе фракции Сn+высшие, принимать как условно-постоянные величины на определенный промежуток времени для данного источника нестабильного газового конденсата (газоконденсатной смеси).
16.2.2 Вычисляют массу каждого i-го компонента и фракции, входящих в состав пробы газа дегазации miГД, г, по формуле
.
(16.2)
16.2.3 Вычисляют массу каждого i-го компонента и фракции, входящих в состав пробы дегазированного конденсата miДК, г, по формуле
.
(16.3)
16.2.4 Вычисляют суммарную массу каждого i-го компонента и фракции в нестабильном газовом конденсате miНГК, г, по формуле
miНГК=miГД+miДК.
(16.4)
16.2.5 Вычисляют массовую долю i-го компонента и фракции в нестабильном газовом конденсате wiНГК, %, по формуле

или
.
(16.5)
16.3 Вычисление компонентно-фракционного состава нестабильного газового конденсата в единицах молярной доли
16.3.1 Вычисляют число молей газа дегазации mГД, моль, по формуле
,
(16.6)
где МГД - молярная масса газа дегазации, г/моль, вычисляемая по формуле
,
(16.7)
где xiГД - молярная доля i-го компонента или фракции пробы газа дегазации, %;
Mi - молярная масса i-го компонента или фракции пробы газа дегазации, устанавливаемая в соответствии с 16.2.1.1-16.2.1.4, г/моль.
16.3.2 Вычисляют число молей дегазированного конденсата nДК, моль, по формуле
,
(16.8)
где МДК - молярная масса дегазированного конденсата, г/моль, вычисляемая по формуле
,
(16.9)
где xiДК - молярная доля i-го компонента или фракции пробы дегазированного конденсата, %;
Mi - молярная масса i-го компонента или фракции пробы дегазированного конденсата, устанавливаемая в соответствии с 16.2.1.1-16.2.1.4, г/моль.
16.3.3 Вычисляют число молей каждого i-го компонента и фракции, входящих в состав пробы газа дегазации niГД, моль, по формуле

(16.10)
или
,
(16.11)
где miГД - масса i-го компонента и фракции, входящих в состав пробы газа дегазации, вычисленная по формуле (16.2), г;
Mi - молярная масса i-го компонента или фракции пробы газа дегазации, устанавливаемая в соответствии с 16.2.1.1-16.2.1.4, г/моль.
16.3.4 Вычисляют число молей каждого i-го компонента и фракции, входящих в состав пробы дегазированного конденсата niДК, моль, по формуле

(16.12)
или
,
(16.13)
где miДК - масса i-го компонента и фракции, входящих в состав пробы дегазированного конденсата, вычисленная по формуле (16.3), г;
Mi - молярная масса i-го компонента или фракции пробы дегазированного конденсата, устанавливаемая в соответствии с 16.2.1.1-16.2.1.4, г/моль.
16.3.5 Вычисляют суммарное количество молей каждого i-го компонента и фракции в нестабильном газовом конденсате niНГК, моль, по формуле
niНГК=niГД+niДК.
(16.14)
16.3.6 Вычисляют молярную долю i-го компонента и фракции в нестабильном газовом конденсате xiНГК, %, по формуле
.
(16.15)
17.1 Результат измерения молярной доли компонентов и фракций в анализируемой пробе газа дегазации, дегазированного конденсата и нестабильного газового конденсата записывают в виде
[xi±U(xi)] %,
(17.1)
где хi - молярная доля i-го компонента или фракции в пробе газа дегазации, дегазированного конденсата и нестабильного газового конденсата, %;
U(xi) - абсолютная расширенная неопределенность значения молярной доли i-го компонента или фракции при коэффициенте охвата k = 2 соответственно в пробе газа дегазации (вычисляемая по таблице 3), дегазированного конденсата [вычисляемая по формуле (14.16)] или нестабильного газового конденсата, вычисляемая по формуле
,
(17.2)
где nГД, nДК - число молей газа дегазации и дегазированного конденсата, вычисленное по формулам (16.6) и (16.8) соответственно, моль;
U(хi)ГД, U(хi)ДК - абсолютная расширенная неопределенность значения молярной доли i-го компонента или фракции при коэффициенте охвата k = 2 соответственно в пробе газа дегазации, вычисляемая по таблице 3, или дегазированного конденсата, вычисляемая по формуле (14.16), %.
17.2 Результат измерения массовой доли компонентов и фракций в анализируемой пробе газа дегазации, дегазированного конденсата и нестабильного газового конденсата записывают в виде
[wi±U(wi)] %,
(17.3)
где wi - массовая доля i-го компонента или фракции в пробе газа дегазации, дегазированного конденсата и нестабильного газового конденсата, %;
U(wi) - абсолютная расширенная неопределенность значения массовой доли i-го компонента или фракции при коэффициенте охвата k = 2 в пробе газа дегазации, вычисляемая по формуле
,
(17.4)
где Uо(хi) - относительная расширенная неопределенность значения молярной доли i-го компонента или фракции в пробе газа дегазации, вычисляемая по формуле (13.5); дегазированного конденсата, вычисляемая по формуле (14.12); нестабильного газового конденсата, вычисляемая по формуле
,
(17.5)
где mГД - масса газа дегазации, выделившегося в процессе дегазации НГК, г;
mДК - масса дегазированного конденсата, выделившегося в процессе дегазации НГК, г;
U(wi)ГД, U(wi)ДК - абсолютная расширенная неопределенность значения молярной доли i-го компонента или фракции при коэффициенте охвата k = 2 соответственно в пробе газа дегазации, вычисляемая по формуле (17.4), или дегазированного конденсата, вычисляемая по формуле (14.12), %.
17.3 Результат определения молярной (массовой) доли компонентов и фракций НГК округляют в соответствии с числовым разрядом значащей цифры расширенной неопределенности.
Округление проводят следующим образом.
Сначала проводят округление вычисленного значения абсолютной расширенной неопределенности U(хi) или U(wi), при этом сохраняют:
- две цифры, если первая значащая цифра равна 1 или 2;
- одну цифру, если первая значащая цифра равна 3 и более.
Затем проводят округление результата. Результат определения должен оканчиваться цифрой того же разряда, что и значение его абсолютной неопределенности U(xi) или U(wi).
Пример - Запись результата определения молярной (массовой) доли компонентов и фракций газа дегазации, дегазированного конденсата, нестабильного газового конденсата:
(0, 71 ± 0, 11) % - верная запись;
(0, 71 ± 0, 112) % - неверная запись;
(0, 705 ± 0, 11) % - неверная запись;
(0, 7055 ± 0, 11) % - неверная запись;
(0, 7255 ± 0, 112)% - неверная запись.
Примечание - Допускается не округлять результат измерений.
17.4 Если полученное значение молярной доли компонента или фракции в пробе газа дегазации или дегазированного конденсата менее нижней границы диапазона измерений, обозначенного в таблицах 1 и 2, то результат измерений записывают в виде "менее" и указывают нижнюю границу диапазона измерений.
Пример - Менее 0, 005 %, или < 0, 005 %, - верная запись.
17.5 Полученные результаты оформляют протоколом, форма которого принята на предприятии (в лаборатории). Пример оформления результатов определения компонентно-фракционного состава газа дегазации, дегазированного конденсата и нестабильного газового конденсата приведен в таблицах Д.1-Д.6 (приложение Д).
17.6 При вычислениях состава газоконденсатной смеси по ГОСТ Р 57851.4, а также в учетных, аналитических, плановых и проектных расчетах используют неокругленные значения молярной (массовой) доли компонентов и фракций нестабильного газового конденсата.
18.1 При ежедневных измерениях проверку градуировочных коэффициентов проводят периодически, но не реже одного раза в 10 дней, при периодических измерениях - перед проведением анализа.
При подтверждении стабильности градуировочных коэффициентов уполномоченным лицом может быть принято решение об изменении периодичности проверки градуировочных коэффициентов и проведении ее в соответствии с планом внутрилабораторного контроля, но не реже одного раза в месяц.
Проверку стабильности градуировочных коэффициентов проводят с использованием контрольных карт одним из способов, изложенных в ГОСТ Р ИСО 5725-6.
Целесообразно следить за характером изменения значений градуировочных коэффициентов, вычисленных при градуировке хроматографов и при проверке стабильности градуировочных коэффициентов. Настораживающим фактором является монотонное возрастание или убывание значения коэффициента, а также отличие полученного значения от установленного при первичной градуировке более чем на 30 %.
18.2 Проверку приемлемости значений градуировочных коэффициентов проводят при градуировке хроматографов по 13.5.2.4, 13.5.3.2, 13.5.5.6, 13.5.5.7, 13.5.7.3.
18.3 Проверку приемлемости результатов единичных измерений молярной или массовой доли компонентов проводят при каждом анализе проб газа дегазации или дегазированного конденсата по 14.3.1.2, 14.3.2.2, 14.4.1.4, 14.4.2.2, 14.4.2.5, 14.4.3.3.
18.4 Периодический контроль точности результатов измерений молярной или массовой доли компонентов и фракций газа дегазации и дегазированного конденсата проводят в соответствии с планом внутрилабораторного контроля с использованием контрольных проб.
В качестве контрольных проб применяют градуировочные смеси - стандартные образцы состава газа дегазации и дегазированного конденсата, близкого по составу анализируемым пробам. Требования к метрологическим характеристикам градуировочных смесей приведены в приложении А.
Результат контроля считают удовлетворительным при выполнении условия
|xi-xiгсо|≤U(xi),
|wi-wiгсо|≤U(wi),
(18.1)
где хi - среднеарифметическое значение молярной доли i-го компонента контрольной пробы, измеренное по методике, %;
xiгсо - значение молярной доли i-го компонента контрольной пробы, указанное в паспорте на контрольный образец (градуировочную смесь, ГСО), %;
U(xi) - значение абсолютной расширенной неопределенности молярной доли i-го компонента, вычисленное по таблице 3 (для газа дегазации) или формуле (14.16) (для дегазированного конденсата) для значения молярной доли, указанного в паспорте на контрольный образец (градуировочную смесь, ГСО), %;
wi - среднеарифметическое значение массовой доли i-го компонента контрольной пробы, измеренное по методике, %;
wiгсо - значение массовой доли i-го компонента контрольной пробы, указанное в паспорте на контрольный образец (градуировочную смесь, ГСО), %;
U(wi) - значение абсолютной расширенной неопределенности массовой доли i-го компонента, вычисленное по формуле (17.4) (для газа дегазации) или формуле (14.12) (или дегазированного конденсата) для значения массовой доли, указанного в паспорте на контрольный образец (градуировочную смесь, ГСО), %.
Приложение А
(обязательное)
|
Наименование компонента |
Диапазон молярной доли х, % |
Абсолютная погрешность при Р = 0, 95, % |
|
Азот, диоксид углерода, углеводороды С1-С10, сероводород, метанол |
0, 001-0, 010 |
0, 05·x+0, 0005 |
|
0, 01-0, 10 |
0, 07·x+0, 0003 | |
|
0, 1-1, 0 |
0, 045·x+0, 003 | |
|
1-10 |
0, 017·x+0, 03 | |
|
10-70 |
0, 0075·x+0, 125 | |
|
Примечание - При использовании хроматографа с краном обратной продувки и регистрации площадей пиков тяжелых углеводородов в виде суммарного пика С6+высшие допускается использовать градуировочную смесь состава газа дегазации, в состав которой входят углеводородные компоненты от С1 до н-С6Н14. | ||
|
Наименование компонента |
Диапазон молярной доли х, % |
Абсолютная погрешность при Р = 0, 95, % |
|
Серосодержащие соединения |
0, 001-0, 010 |
0, 05·x+0, 00001 |
|
0, 01-1, 00 |
0, 04·x+0, 00035 | |
|
1-10 |
0, 023·x+0, 017 | |
|
10-30 |
0, 01·x+0, 15 |
|
Наименование компонента |
Диапазон молярной или массовой доли х или w, % |
Относительная погрешность при Р = 0, 95, % |
|
Углеводороды С1-С44, серосодержащие соединения, метанол |
0, 001-0, 100 |
15 |
|
0, 1-1, 0 |
10 | |
|
1-10 |
6 | |
|
10-20 |
4 | |
|
20-50 |
2, 5 | |
|
Примечания 1 Допускается для углеводородов от С10 до С44 использовать градуировочную смесь состава дегазированного конденсата, содержащую следующие н-алканы. С10Н22, С12Н26, С14Н30, С16Н34, С18Н38, С20Н42, С24Н50, C28H58, C32H66, С36Н74, С40Н82, С44Н90. 2 При использовании хроматографа с краном обратной продувки и регистрации площадей пиков тяжелых углеводородов в виде суммарного пика С12+высшие допускается использовать градуировочную смесь дегазированного конденсата, в состав которой входят углеводородные компоненты от С1 до н-С12Н26. | ||
Приложение Б
(справочное)
|
Наименование компонента |
Температура кипения, °С |
Молярная масса, г/моль |
|
Метан |
-162 |
16, 043 |
|
Этан |
-89 |
30, 070 |
|
Пропан |
-42 |
44, 097 |
|
Изобутан |
-12 |
58, 124 |
|
н-бутан |
0 |
58, 124 |
|
Изопентан |
28 |
72, 151 |
|
н-пентан |
36 |
72, 151 |
|
н-С6Н14 |
69 |
86, 178 |
|
н-С7Н16 |
98 |
100, 205 |
|
н-С8Н18 |
126 |
114, 232 |
|
н-С9Н20 |
151 |
128, 259 |
|
н-С10Н22 |
174 |
142, 286 |
|
н-С11Н24 |
195, 9 |
156, 313 |
|
н-С12Н26 |
216, 3 |
170, 340 |
|
н-С13Н28 |
235, 4 |
184, 367 |
|
н-С14Н30 |
253, 5 |
198, 394 |
|
н-С15Н32 |
270, 7 |
212, 421 |
|
н-С16Н34 |
286, 9 |
226, 448 |
|
н-С17Н36 |
302, 5 |
240, 475 |
|
н-С18Н38 |
317, 3 |
254, 502 |
|
н-С19Н40 |
331, 4 |
268, 529 |
|
н-С20Н42 |
345, 0 |
282, 556 |
|
н-С21Н44 |
358, 1 |
296, 583 |
|
н-С22Н46 |
370, 7 |
310, 610 |
|
н-С23Н48 |
382, 7 |
324, 637 |
|
н-С24Н50 |
394, 4 |
338, 664 |
|
н-С25Н52 |
405, 7 |
352, 691 |
|
н-С26Н54 |
416, 6 |
366, 718 |
|
н-С27Н56 |
427, 1 |
380, 745 |
|
н-С28Н58 |
437, 4 |
394, 772 |
|
н-С29Н60 |
447, 3 |
408, 799 |
|
н-С30Н62 |
456, 9 |
422, 826 |
|
н-С31Н64 |
466, 3 |
436, 853 |
|
н-С32Н66 |
475, 4 |
450, 880 |
|
н-С33Н68 |
484, 2 |
464, 907 |
|
н-С34Н70 |
492, 8 |
478, 934 |
|
н-С35Н72 |
501, 2 |
492, 961 |
|
н-С36Н74 |
509, 4 |
506, 988 |
|
н-С37Н76 |
517, 4 |
521, 015 |
|
н-С38Н78 |
525, 2 |
535, 042 |
|
н-С39Н80 |
532, 8 |
549, 069 |
|
н-С40Н82 |
540, 3 |
563, 096 |
|
н-С41Н84 |
547, 6 |
577, 123 |
|
н-С42Н86 |
554, 7 |
591, 150 |
|
н-С43Н88 |
561, 7 |
605, 177 |
|
н-С44Н90 |
568, 6 |
619, 204 |
|
Наименование компонента |
Температура кипения, °С |
Молярная масса, г/моль |
|
Сероводород (H2S) |
-60, 3 |
34, 082 |
|
Карбонилсульфид (серооксид углерода, COS) |
-50, 2 |
60, 076 |
|
Дисульфид углерода (сероуглерод, CS2) |
46, 2 |
76, 143 |
|
Метилмеркаптан (метилтиол, CH3SH) |
5, 9 |
48, 109 |
|
Этилмеркаптан (этилтиол, C2H5SH) |
34, 7 |
62, 136 |
|
Диметилсульфид (C2H6S) |
37, 3 |
62, 136 |
|
Изопропил меркаптан (2-пропилтиол, 2-пропилмеркаптан, i-C3H7SH) |
52, 5 |
76, 123 |
|
н-пропил меркаптан (1-пропилтиол, 1-пропилмеркаптан, C3H7SH) |
67, 6 |
76, 123 |
|
Метилэтилсульфид (C3H8S) |
66-67 |
76, 123 |
|
2-метил-2-пропилмеркаптан, (2-метил-2-пропилтиол, трет-C4H9SH) |
64, 2 |
90, 190 |
|
2-метил-1-пропилмеркаптан, (2-метил-1-пропилтиол, изобутилмеркаптан, i-C4H9SH) |
88, 7 |
90, 190 |
|
1-метил-1-пропилмеркаптан, (2-бутил-меркаптан, 2-бутилтиол, втор-C4H9SH) |
84, 9 |
90, 190 |
|
н-бутилмеркаптан, (1-бутилтиол, 1-бутилмеркаптан, C4H9SH) |
98, 4 |
90, 190 |
|
Диэтилсульфид [(C2H5)2S] |
90-92 |
90, 190 |
|
Диметилдисульфид [(CH3)2S2] |
109, 7 |
94, 202 |
|
Тетрагидротиофен [(CH2)4S] |
119 |
88, 169 |
|
Диэтилдисульфид [(C2H5)2S2] |
154, 1 |
122, 256 |
Приложение В
(справочное)

1 - метан; 2 - этан; 3 - пропан; 4 - метанол; 5 - изобутан; 6 - н-бутан; 7 - неопентан; 8 - изопентан; 9 - н-пентан; 10 - циклопентан; 11 - 2, 2-диметилбутан (внутренний стандарт); 12, 13, 14 - углеводороды фракции С6; 15 - циклогексан
Рисунок В.1 - Хроматограмма углеводородов С1-н-С5 и метанола дегазированного конденсата (с внутренним стандартом), полученная на канале А на колонках с полимерным адсорбентом в режиме программирования температуры с детектированием на ПИД (условия хроматографического разделения приведены в таблице 6 настоящего стандарта)

Рисунок В.2 - Хроматограмма градуировочной смеси углеводородов С5-С44 дегазированного конденсата, полученная на капиллярной колонке на канале Б в режиме программирования температуры с детектированием на ПИД (условия хроматографического разделения приведены в таблице 7 настоящего стандарта) (фрагмент А)

Рисунок В.3 - Хроматограмма градуировочной смеси углеводородов С5-С44 дегазированного конденсата, полученная на капиллярной колонке на канале Б в режиме программирования температуры с детектированием на ПИД (условия хроматографического разделения приведены в таблице 7 настоящего стандарта) (фрагмент Б)

Рисунок В.4 - Хроматограмма градуировочной смеси углеводородов С5-С44 дегазированного конденсата, полученная на капиллярной колонке на канале Б в режиме программирования температуры с детектированием на ПИД (условия хроматографического разделения приведены в таблице 7 настоящего стандарта) (фрагмент В)

1 - карбонилсульфид; 2 - сероводород; 3 - дисульфид углерода; 4 - метилмеркаптан; 5 - этилмеркаптан; 6 - диметилсульфид; 7 - изопропилмеркаптан; 8 - н-пропилмеркаптан
Рисунок В.5 - Хроматограмма серосодержащих соединений дегазированного конденсата, полученная на капиллярной колонке в режиме программирования температуры с детектированием на ПФД (условия хроматографического разделения приведены в таблице 7 настоящего стандарта) (фрагмент А)

9 - 2-метил-2-пропилмеркаптан; 10 - 2-метил-1-пропилмеркаптан; 11 - 1-метил-1-пропилмеркаптан; 12 - метилэтилсульфид; 13 - н-бутилмеркаптан; 14 - диметилдисульфид; 15 - диэтилсульфид; 16 - 2-этилтиофен; 17 - 2, 5-диметилтиофен; 18 - метилэтилдисульфид; 19 - тетрагидротиофен; 20 - диэтилдисульфид
Рисунок В.6 - Хроматограмма серосодержащих соединений дегазированного конденсата, полученная на капиллярной колонке в режиме программирования температуры с детектированием на ПФД (условия хроматографического разделения приведены в таблице 8 настоящего стандарта) (фрагмент Б)
Приложение Г
(справочное)

Рисунок Г.1 - Пример графика зависимости времени выхода н-алканов С5-С44 градуировочной смеси от их температур кипения, построенный по хроматограмме, показанной на рисунках В.2-В.4 (приложение В)
|
Наименование компонента |
Время выхода, мин |
Наименование компонента |
Время выхода, мин |
|
н-пентан |
2, 69 |
н-С25Н52 |
31, 84 |
|
н-С6Н14 |
4, 86 |
н-С26Н54 |
32, 67 |
|
н-С7Н16 |
7, 26 |
н-С27Н56 |
33, 46 |
|
н-С8Н18 |
9, 52 |
н-С28Н58 |
34, 23 |
|
н-С9Н20 |
11, 60 |
н-С29Н60 |
35, 05 |
|
н-С10Н22 |
13, 52 |
н-С30Н62 |
35, 97 |
|
н-С11Н24 |
15, 29 |
н-С31Н64 |
37, 00 |
|
н-С12Н26 |
16, 95 |
н-С32Н66 |
38, 19 |
|
н-С13Н28 |
18, 50 |
н-С33Н68 |
39, 67 |
|
н-С14Н30 |
19, 96 |
н-С34Н70 |
41, 18 |
|
н-С15Н32 |
21, 34 |
н-С35Н72 |
43, 08 |
|
н-С16Н34 |
22, 63 |
н-С36Н74 |
45, 28 |
|
н-С17Н36 |
23, 86 |
н-С37Н76 |
47, 96 |
|
н-С18Н38 |
25, 03 |
н-С38Н78 |
50, 74 |
|
н-С19Н40 |
26, 14 |
н-С39Н80 |
53, 45 |
|
н-С20Н42 |
27, 19 |
н-С40Н82 |
55, 63 |
|
н-С21Н44 |
28, 21 |
н-С41Н84 |
57, 20 |
|
н-С22Н46 |
29, 17 |
н-С42Н86 |
58, 00 |
|
н-С23Н48 |
30, 10 |
н-С43Н88 |
59, 00 |
|
н-С24Н50 |
30, 99 |
н-С44Н90 |
60, 17 |
Приложение Д
(справочное)
Масса газа дегазации, выделившегося при дегазации, - 13, 9041 г.
Количество молей газа дегазации - 0, 2643 моль.
Масса дегазированного конденсата, выделившегося при дегазации, - 57, 0459 г.
Количество молей дегазированного конденсата - 0, 5803 моль.
|
Наименование компонента, фракции (по числу атомов углерода) |
Молярная масса, г/моль |
Содержание компонентов, фракций | |
|
В единицах молярной доли, % |
В единицах массовой доли, % | ||
|
Метан |
16, 0 |
14, 5 ± 0, 6 |
4, 41 ± 0, 20 |
|
Этан |
30, 1 |
14, 9 ± 0, 7 |
8, 5 ± 0, 4 |
|
Пропан |
44, 1 |
11, 9 ± 0, 5 |
10, 0 ± 0, 5 |
|
Изобутан |
58, 1 |
7, 8 ± 0, 4 |
8, 6 ± 0, 4 |
|
н-бутан |
58, 1 |
14, 9 ± 0, 7 |
16, 4 ± 0, 7 |
|
Изопентан |
72, 2 |
8, 0 ± 0, 4 |
10, 9 ± 0, 5 |
|
н-пентан |
72, 2 |
8, 9 ± 0, 4 |
12, 2 ± 0, 6 |
|
Фракция С6 |
79, 2 |
11, 3 ± 0, 5 |
17, 0 ± 0, 8 |
|
Фракция С7 |
93, 2 |
4, 31 ± 0, 21 |
7, 5 ± 0, 4 |
|
Фракция С8 |
107, 2 |
1, 01 ± 0, 11 |
2, 06 ± 0, 23 |
|
Фракция С9 |
121, 2 |
0, 141 ± 0, 021 |
0, 33 ± 0, 05 |
|
Фракция С10 |
135, 3 |
0, 018 ± 0, 003 |
0, 047 ± 0, 008 |
|
Азот |
28, 0 |
0, 0146 ± 0, 0027 |
0, 0078 ± 0, 0014 |
|
Диоксид углерода |
44, 0 |
0, 36 ± 0, 04 |
0, 30 ± 0, 04 |
|
Сероводород |
34, 1 |
1, 40 ± 0, 10 |
0, 91 ± 0, 06 |
|
Карбонилсульфид |
60, 1 |
0, 0017 ± 0, 0003 |
0, 0020 ± 0, 0003 |
|
Метилмеркаптан |
48, 1 |
0, 175 ± 0, 015 |
0, 160 ± 0, 013 |
|
Этилмеркаптан |
62, 1 |
0, 44 ± 0, 04 |
0, 52 ± 0, 04 |
|
Диметилсульфид |
62, 1 |
0, 037 ± 0, 004 |
0, 044 ± 0, 004 |
|
Молярная масса газа дегазации |
52, 60 | ||
|
Наименование компонента, фракции (по диапазонам температур кипения) |
Молярная масса, г/моль |
Содержание компонентов, фракций | |
|
В единицах молярной доли, % |
В единицах массовой доли, % | ||
|
Метан |
16, 0 |
15, 2 ± 0, 7 |
4, 72 ± 0, 21 |
|
Этан |
30, 1 |
15, 7 ± 0, 7 |
9, 1 ± 0, 4 |
|
Пропан |
44, 1 |
12, 5 ± 0, 6 |
10, 7 ± 0, 5 |
|
Изобутан |
58, 1 |
8, 2 ± 0, 4 |
9, 2 ± 0, 4 |
|
н-бутан |
58, 1 |
15, 6 ± 0, 7 |
17, 6 ± 0, 8 |
|
Изопентан |
72, 2 |
8, 3 ± 0, 4 |
11, 7 ± 0, 6 |
|
н-пентан |
72, 2 |
9, 3 ± 0, 4 |
13, 0 ± 0, 6 |
|
Фракция 45-60 |
79, 2 |
0, 58 ± 0, 07 |
0, 90 ± 0, 11 |
|
Фракция 60-70 |
84, 6 |
7, 6 ± 0, 4 |
12, 4 ± 0, 6 |
|
Фракция 70-80 |
89, 1 |
0, 61 ± 0, 07 |
1, 05 ± 0, 12 |
|
Фракция 80-90 |
93, 9 |
1, 11 ± 0, 11 |
2, 02 ± 0, 21 |
|
Фракция 90-100 |
98, 6 |
1, 68 ± 0, 14 |
3, 20 ± 0, 26 |
|
Фракция 100-110 |
103, 6 |
0, 37 ± 0, 05 |
0, 75 ± 0, 09 |
|
Фракция 110-120 |
108, 7 |
0, 48 ± 0, 06 |
1, 01 ± 0, 12 |
|
Фракция 120-130 |
113, 9 |
0, 121 ± 0, 018 |
0, 27 ± 0, 04 |
|
Фракция 130-140 |
119, 4 |
0, 092 ± 0, 014 |
0, 21 ± 0, 03 |
|
Фракция 140-150 |
125, 0 |
0, 029 ± 0, 005 |
0, 071 ± 0, 012 |
|
Фракция 150-160 |
130, 8 |
0, 0151 ± 0, 0028 |
0, 038 ± 0, 007 |
|
Фракция 160-170 |
136, 8 |
0, 0068 ± 0, 0011 |
0, 0181 ± 0, 0028 |
|
Фракция 170-180 |
142, 9 |
0, 0050 ± 0, 0011 |
0, 0138 ± 0, 0029 |
|
Азот |
28, 0 |
0, 0153 ± 0, 0028 |
0, 0083 ± 0, 0015 |
|
Диоксид углерода |
44, 0 |
0, 37 ± 0, 05 |
0, 32 ± 0, 04 |
|
Сероводород |
34, 1 |
1, 47 ± 0, 10 |
0, 97 ± 0, 07 |
|
Карбонилсульфид |
60, 1 |
0, 0018 ± 0, 0003 |
0, 0021 ± 0, 0003 |
|
Метилмеркаптан |
48, 1 |
0, 184 ± 0, 015 |
0, 171 ± 0, 014 |
|
Этилмеркаптан |
62, 1 |
0, 46 ± 0, 04 |
0, 56 ± 0, 05 |
|
Диметилсульфид |
62, 1 |
0, 039 ± 0, 004 |
0, 047 ± 0, 005 |
|
Молярная масса газа дегазации |
51, 61 | ||
|
Наименование компонента, фракции (по числу атомов углерода) |
Молярная масса, г/моль |
Содержание компонентов, фракций | |
|
В единицах молярной доли, % |
В единицах массовой доли, % | ||
|
Метан |
16, 0 |
Менее 0, 005 |
Менее 0, 005 |
|
Этан |
30, 1 |
0, 032 ± 0, 010 |
0, 010 ± 0, 003 |
|
Пропан |
44, 1 |
0, 22 ± 0, 06 |
0, 10 ± 0, 03 |
|
Изобутан |
58, 1 |
0, 60 ± 0, 15 |
0, 35 ± 0, 11 |
|
н-бутан |
58, 1 |
1, 9 ± 0, 4 |
1, 13 ± 0, 27 |
|
Изопентан |
72, 2 |
3, 8 ± 0, 7 |
2, 8 ± 0, 6 |
|
н-пентан |
72, 2 |
6, 32 ± 1, 10 |
4, 61 ± 1, 03 |
|
Фракция С6 |
79, 2 |
17, 0 ± 2, 4 |
13, 7 ± 2, 6 |
|
Фракция С7 |
93, 2 |
27, 1 ± 2, 9 |
25 ± 4 |
|
Фракция С8 |
107, 2 |
24, 2 ± 2, 8 |
26 ± 4 |
|
Фракция С9 |
121, 2 |
11, 4 ± 1, 8 |
14, 1 ± 2, 7 |
|
Фракция С10 |
135, 3 |
4, 5 ± 0, 8 |
6, 2 ± 1, 3 |
|
Фракция С11 |
149, 3 |
1, 31 ± 0, 27 |
2, 0 ± 0, 5 |
|
Фракция С12 |
163, 3 |
0, 48 ± 0, 12 |
0, 79 ± 0, 20 |
|
Фракция С13 |
177, 4 |
0, 21 ± 0, 06 |
0, 37 ± 0, 11 |
|
Фракция С14 |
191, 4 |
0, 12 ± 0, 03 |
0, 23 ± 0, 07 |
|
Фракция С15 |
205, 4 |
0, 082 ± 0, 024 |
0, 17 ± 0, 05 |
|
Фракция С16 |
219, 4 |
0, 066 ± 0, 019 |
0, 15 ± 0, 05 |
|
Фракция С17 |
233, 5 |
0, 046 ± 0, 010 |
0, 11 ± 0, 04 |
|
Фракция С18 |
247, 5 |
0, 045 ± 0, 009 |
0, 11 ± 0, 04 |
|
Фракция С19 |
261, 5 |
0, 032 ± 0, 007 |
0, 086 ± 0, 028 |
|
Фракция С20 |
275, 5 |
0, 031 ± 0, 007 |
0, 087 ± 0, 029 |
|
Фракция С21 |
289, 6 |
0, 027 ± 0, 006 |
0, 079 ± 0, 026 |
|
Фракция С22 |
303, 6 |
0, 023 ± 0, 005 |
0, 071 ± 0, 023 |
|
Фракция С23 |
317, 6 |
0, 019 ± 0, 004 |
0, 063 ± 0, 021 |
|
Фракция С24 |
331, 7 |
0, 017 ± 0, 004 |
0, 057 ± 0, 019 |
|
Фракция С25 |
345, 7 |
0, 015 ± 0, 003 |
0, 051 ± 0, 017 |
|
Фракция С26 |
359, 7 |
0, 0126 ± 0, 0026 |
0, 046 ± 0, 015 |
|
Фракция С27 |
373, 7 |
0, 0108 ± 0, 0023 |
0, 041 ± 0, 014 |
|
Фракция С28 |
387, 8 |
0, 0094 ± 0, 0020 |
0, 037 ± 0, 012 |
|
Фракция С29 |
401, 8 |
0, 0079 ± 0, 0017 |
0, 032 ± 0, 011 |
|
Фракция С30 |
415, 8 |
0, 0068 ± 0, 0014 |
0, 029 ± 0, 009 |
|
Фракция С31 |
429, 8 |
0, 0058 ± 0, 0012 |
0, 025 ± 0, 008 |
|
Фракция С32 |
443, 9 |
Менее 0, 005 |
0, 022 ± 0, 007 |
|
Фракция С33 |
457, 9 |
Менее 0, 005 |
0, 019 ± 0, 006 |
|
Фракция С34 |
471, 9 |
Менее 0, 005 |
0, 016 ± 0, 005 |
|
Фракция С35 |
485, 9 |
Менее 0, 005 |
0, 014 ± 0, 005 |
|
Фракция С36 |
500, 0 |
Менее 0, 005 |
0, 011 ± 0, 004 |
|
Фракция С37 |
514, 0 |
Менее 0, 005 |
0, 0089 ± 0, 0029 |
|
Фракция С38 |
528, 0 |
Менее 0, 005 |
0, 0069 ± 0, 0023 |
|
Фракция С39 |
542, 1 |
Менее 0, 005 |
0, 0051 ± 0, 0017 |
|
Фракция С40 |
556, 1 |
Менее 0, 005 |
Менее 0, 005 |
|
Фракция С41 |
570, 1 |
Менее 0, 005 |
Менее 0, 005 |
|
Фракция С42 |
584, 1 |
Менее 0, 005 |
Менее 0, 005 |
|
Фракция С43 |
598, 2 |
Менее 0, 005 |
Менее 0, 005 |
|
Фракция С44 |
612, 2 |
Менее 0, 005 |
Менее 0, 005 |
|
Азот |
28, 0 |
Менее 0, 005 |
Менее 0, 005 |
|
Диоксид углерода |
44, 0 |
Менее 0, 005 |
Менее 0, 005 |
|
Сероводород |
34, 1 |
0, 012 ± 0, 003 |
0, 0040 ± 0, 0013 |
|
Карбонилсульфид |
60, 1 |
Менее 0, 001 |
Менее 0, 001 |
|
Метил меркаптан |
48, 1 |
0, 030 ± 0, 009 |
0, 015 ± 0, 005 |
|
Этилмеркаптан |
62, 1 |
0, 30 ± 0, 08 |
0, 19 ± 0, 06 |
|
Диметилсульфид |
62, 1 |
0, 028 ± 0, 008 |
0, 018 ± 0, 006 |
|
Молярная масса дегазированного конденсата |
98, 30 | ||
|
Наименование компонента, фракции (по диапазонам температур кипения) |
Молярная масса, г/моль |
Содержание компонентов, фракций | |
|
В единицах молярной доли, % |
В единицах массовой доли, % | ||
|
Метан |
16, 0 |
Менее 0, 005 |
Менее 0, 005 |
|
Этан |
30, 1 |
0, 032 ± 0, 010 |
0, 010 ± 0, 003 |
|
Пропан |
44, 1 |
0, 22 ± 0, 06 |
0, 10 ± 0, 03 |
|
Изобутан |
58, 1 |
0, 59 ± 0, 15 |
0, 35 ± 0, 10 |
|
н-бутан |
58, 1 |
1, 9 ± 0, 4 |
1, 12 ± 0, 26 |
|
Изопентан |
72, 2 |
3, 8 ± 0, 7 |
2, 8 ± 0, 6 |
|
н-пентан |
72, 2 |
6, 20 ± 1, 10 |
4, 5 ± 1, 0 |
|
Фракция 45-60 |
79, 2 |
0, 84 ± 0, 19 |
0, 67 ± 0, 18 |
|
Фракция 60-70 |
84, 6 |
19, 3 ± 2, 5 |
16 ± 3 |
|
Фракция 70-80 |
89, 1 |
2, 5 ± 0, 5 |
2, 2 ± 0, 5 |
|
Фракция 80-90 |
93, 9 |
7, 2 ± 1, 3 |
6, 8 ± 1, 4 |
|
Фракция 90-100 |
98, 6 |
17, 2 ± 2, 4 |
17 ± 3 |
|
Фракция 100-110 |
103, 6 |
6, 11 ± 1, 10 |
6, 3 ± 1, 4 |
|
Фракция 110-120 |
108, 7 |
12, 4 ± 1, 9 |
13, 6 ± 2, 6 |
|
Фракция 120-130 |
113, 9 |
5, 0 ± 0, 9 |
5, 71 ± 1, 23 |
|
Фракция 130-140 |
119, 4 |
6, 13 ± 1, 11 |
7, 3 ± 1, 5 |
|
Фракция 140-150 |
125, 0 |
3, 1 ± 0, 6 |
3, 8 ± 0, 9 |
|
Фракция 150-160 |
130, 8 |
2, 5 ± 0, 5 |
3, 3 ± 0, 7 |
|
Фракция 160-170 |
136, 8 |
1, 8 ± 0, 4 |
2, 5 ± 0, 6 |
|
Фракция 170-180 |
142, 9 |
0, 97 ± 0, 21 |
1, 4 ± 0, 3 |
|
Фракция 180-190 |
149, 3 |
0, 51 ± 0, 13 |
0, 77 ± 0, 20 |
|
Фракция 190-200 |
155, 7 |
0, 40 ± 0, 11 |
0, 63 ± 0, 17 |
|
Фракция 200-210 |
162, 6 |
0, 20 ± 0, 06 |
0, 33 ± 0, 10 |
|
Фракция 210-220 |
169, 4 |
0, 17 ± 0, 05 |
0, 30 ± 0, 09 |
|
Фракция 220-230 |
176, 7 |
0, 089 ± 0, 027 |
0, 16 ± 0, 05 |
|
Фракция 230-240 |
184, 1 |
0, 099 ± 0, 030 |
0, 18 ± 0, 06 |
|
Фракция 240-250 |
191, 8 |
0, 050 ± 0, 015 |
0, 10 ± 0, 03 |
|
Фракция 250-260 |
199, 6 |
0, 060 ± 0, 018 |
0, 12 ± 0, 04 |
|
Фракция 260-270 |
207, 8 |
0, 040 ± 0, 012 |
0, 084 ± 0, 028 |
|
Фракция 270-280 |
216, 1 |
0, 042 ± 0, 013 |
0, 09 ± 0, 03 |
|
Фракция 280-290 |
224, 8 |
0, 037 ± 0, 011 |
0, 084 ± 0, 028 |
|
Фракция 290-300 |
233, 7 |
0, 027 ± 0, 008 |
0, 063 ± 0, 021 |
|
Фракция 300-310 |
242, 8 |
0, 031 ± 0, 009 |
0, 075 ± 0, 025 |
|
Фракция 310-320 |
252, 3 |
0, 029 ± 0, 009 |
0, 074 ± 0, 024 |
|
Фракция 320-330 |
262, 2 |
0, 021 ± 0, 006 |
0, 055 ± 0, 018 |
|
Фракция 330-340 |
272, 2 |
0, 023 ± 0, 007 |
0, 064 ± 0, 021 |
|
Фракция 340-350 |
282, 6 |
0, 021 ± 0, 006 |
0, 061 ± 0, 020 |
|
Фракция 350-360 |
293, 3 |
0, 020 ± 0, 006 |
0, 058 ± 0, 019 |
|
Фракция 360-370 |
304, 3 |
0, 018 ± 0, 005 |
0, 055 ± 0, 018 |
|
Фракция 370-380 |
315, 6 |
0, 016 ± 0, 005 |
0, 052 ± 0, 017 |
|
Фракция 380-390 |
327, 4 |
0, 015 ± 0, 004 |
0, 049 ± 0, 016 |
|
Фракция 390-400 |
339, 4 |
0, 014 ± 0, 004 |
0, 046 ± 0, 015 |
|
Фракция 400-410 |
351, 8 |
0, 012 ± 0, 004 |
0, 043 ± 0, 014 |
|
Фракция 410-420 |
364, 7 |
0, 011 ± 0, 003 |
0, 040 ± 0, 013 |
|
Фракция 420-430 |
377, 9 |
0, 0098 ± 0, 0029 |
0, 037 ± 0, 012 |
|
Фракция 430-440 |
391, 5 |
0, 0087 ± 0, 0026 |
0, 034 ± 0, 011 |
|
Фракция 440-450 |
405, 5 |
0, 0077 ± 0, 0023 |
0, 031 ± 0, 010 |
|
Фракция 450-460 |
420, 0 |
0, 0067 ± 0, 0020 |
0, 028 ± 0, 009 |
|
Фракция 460-470 |
434, 9 |
0, 0058 ± 0, 0017 |
0, 026 ± 0, 008 |
|
Фракция 470-480 |
450, 3 |
0, 0050 ± 0, 0015 |
0, 023 ± 0, 007 |
|
Фракция 480-490 |
466, 2 |
Менее 0, 005 |
0, 020 ± 0, 006 |
|
Фракция 490-500 |
482, 6 |
Менее 0, 005 |
0, 017 ± 0, 005 |
|
Фракция 500-510 |
499, 5 |
Менее 0, 005 |
0, 014 ± 0, 005 |
|
Фракция 510-520 |
516, 8 |
Менее 0, 005 |
0, 011 ± 0, 004 |
|
Фракция 520-530 |
534, 7 |
Менее 0, 005 |
0, 0077 ± 0, 0026 |
|
Фракция 530-540 |
553, 2 |
Менее 0, 005 |
Менее 0, 005 |
|
Азот |
28, 0 |
Менее 0, 005 |
Менее 0, 005 |
|
Диоксид углерода |
44, 0 |
Менее 0, 005 |
Менее 0, 005 |
|
Сероводород |
34, 1 |
0, 012 ± 0, 003 |
0, 0040 ± 0, 0013 |
|
Карбонилсульфид |
60, 1 |
Менее 0, 001 |
Менее 0, 001 |
|
Метилмеркаптан |
48, 1 |
0, 030 ± 0, 009 |
0, 015 ± 0, 005 |
|
Этилмеркаптан |
62, 1 |
0, 30 ± 0, 08 |
0, 18 ± 0, 06 |
|
Диметилсульфид |
62, 1 |
0, 028 ± 0, 008 |
0, 017 ± 0, 006 |
|
Молярная масса дегазированного конденсата |
99, 35 | ||
|
Наименование компонента, фракции (по числу атомов углерода) |
Молярная масса, г/моль |
Содержание компонентов, фракций | |
|
В единицах молярной доли, % |
В единицах массовой доли, % | ||
|
Метан |
16, 0 |
4, 53 ± 0, 20 |
0, 86 ± 0, 04 |
|
Этан |
30, 1 |
4, 70 ± 0, 22 |
1, 68 ± 0, 08 |
|
Пропан |
44, 1 |
3, 89 ± 0, 21 |
2, 04 ± 0, 12 |
|
Изобутан |
58, 1 |
2, 84 ± 0, 22 |
1, 97 ± 0, 17 |
|
н-бутан |
58, 1 |
6, 0 ± 0, 5 |
4, 1 ± 0, 4 |
|
Изопентан |
72, 2 |
5, 1 ± 0, 6 |
4, 4 ± 0, 6 |
|
н-пентан |
72, 2 |
7, 1 ± 0, 9 |
6, 1 ± 0, 9 |
|
Фракция С6 |
79, 2 |
15, 2 ± 1, 8 |
14, 3 ± 2, 3 |
|
Фракция С7 |
93, 2 |
19, 91 ± 2, 12 |
22 ± 4 |
|
Фракция С8 |
107, 2 |
16, 91 ± 2, 03 |
22 ± 4 |
|
Фракция С9 |
121, 2 |
7, 91 ± 1, 22 |
11, 42 ± 2, 20 |
|
Фракция С10 |
135, 3 |
3, 1 ± 0, 6 |
5, 01 ± 1, 13 |
|
Фракция С11 |
149, 3 |
0, 90 ± 0, 18 |
1, 6 ± 0, 4 |
|
Фракция С12 |
163, 3 |
0, 33 ± 0, 08 |
0, 64 ± 0, 16 |
|
Фракция С13 |
177, 4 |
0, 14 ± 0, 04 |
0, 30 ± 0, 09 |
|
Фракция С14 |
191, 4 |
0, 080 ± 0, 023 |
0, 18 ± 0, 06 |
|
Фракция С15 |
205, 4 |
0, 056 ± 0, 017 |
0, 14 ± 0, 04 |
|
Фракция С16 |
219, 4 |
0, 045 ± 0, 013 |
0, 12 ± 0, 04 |
|
Фракция С17 |
233, 5 |
0, 032 ± 0, 007 |
0, 088 ± 0, 028 |
|
Фракция С18 |
247, 5 |
0, 031 ± 0, 006 |
0, 090 ± 0, 029 |
|
Фракция С19 |
261, 5 |
0, 022 ± 0, 005 |
0, 069 ± 0, 023 |
|
Фракция С20 |
275, 5 |
0, 021 ± 0, 004 |
0, 070 ± 0, 023 |
|
Фракция С21 |
289, 6 |
0, 018 ± 0, 004 |
0, 063 ± 0, 021 |
|
Фракция С22 |
303, 6 |
0, 016 ± 0, 003 |
0, 057 ± 0, 019 |
|
Фракция С23 |
317, 6 |
0, 0134 ± 0, 0028 |
0, 051 ± 0, 017 |
|
Фракция С24 |
331, 7 |
0, 0117 ± 0, 0024 |
0, 046 ± 0, 015 |
|
Фракция С25 |
345, 7 |
0, 0101 ± 0, 0021 |
0, 041 ± 0, 014 |
|
Фракция С26 |
359, 7 |
0, 0086 ± 0, 0018 |
0, 037 ± 0, 012 |
|
Фракция С27 |
373, 7 |
0, 0074 ± 0, 0016 |
0, 033 ± 0, 011 |
|
Фракция С28 |
387, 8 |
0, 0064 ± 0, 0013 |
0, 030 ± 0, 010 |
|
Фракция С29 |
401, 8 |
0, 0055 ± 0, 0011 |
0, 026 ± 0, 009 |
|
Фракция С30 |
415, 8 |
Менее 0, 005 |
0, 023 ± 0, 008 |
|
Фракция С31 |
429, 8 |
Менее 0, 005 |
0, 020 ± 0, 007 |
|
Фракция С32 |
443, 9 |
Менее 0, 005 |
0, 018 ± 0, 006 |
|
Фракция С33 |
457, 9 |
Менее 0, 005 |
0, 015 ± 0, 005 |
|
Фракция С34 |
471, 9 |
Менее 0, 005 |
0, 013 ± 0, 004 |
|
Фракция С35 |
485, 9 |
Менее 0, 005 |
0, 011 ± 0, 004 |
|
Фракция С36 |
500, 0 |
Менее 0, 005 |
0, 009 ± 0, 003 |
|
Фракция С37 |
514, 0 |
Менее 0, 005 |
0, 0071 ± 0, 0024 |
|
Фракция С38 |
528, 0 |
Менее 0, 005 |
0, 0056 ± 0, 0018 |
|
Фракция С39 |
542, 1 |
Менее 0, 005 |
Менее 0, 005 |
|
Фракция С40 |
556, 1 |
Менее 0, 005 |
Менее 0, 005 |
|
Фракция С41 |
570, 1 |
Менее 0, 005 |
Менее 0, 005 |
|
Фракция С42 |
584, 1 |
Менее 0, 005 |
Менее 0, 005 |
|
Фракция С43 |
598, 2 |
Менее 0, 005 |
Менее 0, 005 |
|
Фракция С44 |
612, 2 |
Менее 0, 005 |
Менее 0, 005 |
|
Азот |
28, 0 |
Менее 0, 005 |
Менее 0, 005 |
|
Диоксид углерода |
44, 0 |
0, 113 ± 0, 014 |
0, 059 ± 0, 007 |
|
Сероводород |
34, 1 |
0, 45 ± 0, 03 |
0, 182 ± 0, 014 |
|
Карбонилсульфид |
60, 1 |
Менее 0, 001 |
Менее 0, 001 |
|
Метилмеркаптан |
48, 1 |
0, 076 ± 0, 011 |
0, 043 ± 0, 007 |
|
Этилмеркаптан |
62, 1 |
0, 34 ± 0, 07 |
0, 25 ± 0, 06 |
|
Диметилсульфид |
62, 1 |
0, 031 ± 0, 007 |
0, 023 ± 0, 006 |
|
Молярная масса НГК |
84, 00 | ||
|
Наименование компонента, фракции (по диапазонам температур кипения) |
Молярная масса, г/моль |
Содержание компонентов, фракций | |
|
В единицах молярной доли, % |
В единицах массовой доли, % | ||
|
Метан |
16, 0 |
4, 85 ± 0, 22 |
0, 92 ± 0, 04 |
|
Этан |
30, 1 |
5, 03 ± 0, 23 |
1, 80 ± 0, 08 |
|
Пропан |
44, 1 |
4, 15 ± 0, 22 |
2, 18 ± 0, 12 |
|
Изобутан |
58, 1 |
3, 01 ± 0, 23 |
2, 08 ± 0, 17 |
|
н-бутан |
58, 1 |
6, 3 ± 0, 5 |
4, 3 ± 0, 4 |
|
Изопентан |
72, 2 |
5, 2 ± 0, 6 |
4, 5 ± 0, 6 |
|
н-пентан |
72, 2 |
7, 2 ± 0, 9 |
6, 2 ± 0, 9 |
|
Фракция 45-60 |
79, 2 |
0, 76 ± 0, 15 |
0, 71 ± 0, 17 |
|
Фракция 60-70 |
84, 6 |
15, 5 ± 1, 9 |
15, 6 ± 2, 6 |
|
Фракция 70-80 |
89, 1 |
1, 9 ± 0, 4 |
2, 0 ± 0, 4 |
|
Фракция 80-90 |
93, 9 |
5, 2 ± 0, 9 |
5, 9 ± 1, 2 |
|
Фракция 90-100 |
98, 6 |
12, 3 ± 1, 7 |
14, 4 ± 2, 6 |
|
Фракция 100-110 |
103, 6 |
4, 3 ± 0, 8 |
5, 2 ± 1, 1 |
|
Фракция 110-120 |
108, 7 |
8, 6 ± 1, 3 |
11, 1 ± 2, 1 |
|
Фракция 120-130 |
113, 9 |
3, 4 ± 0, 6 |
4, 6 ± 1, 0 |
|
Фракция 130-140 |
119, 4 |
4, 1 ± 0, 7 |
5, 9 ± 1, 2 |
|
Фракция 140-150 |
125, 0 |
2, 1 ± 0, 4 |
3, 1 ± 0, 7 |
|
Фракция 150-160 |
130, 8 |
1, 7 ± 0, 3 |
2, 7 ± 0, 6 |
|
Фракция 160-170 |
136, 8 |
1, 23 ± 0, 25 |
2, 0 ± 0, 5 |
|
Фракция 170-180 |
142, 9 |
0, 66 ± 0, 14 |
1, 12 ± 0, 26 |
|
Фракция 180-190 |
149, 3 |
0, 35 ± 0, 09 |
0, 62 ± 0, 16 |
|
Фракция 190-200 |
155, 7 |
0, 27 ± 0, 07 |
0, 51 ± 0, 14 |
|
Фракция 200-210 |
162, 6 |
0, 14 ± 0, 04 |
0, 27 ± 0, 08 |
|
Фракция 210-220 |
169, 4 |
0, 12 ± 0, 03 |
0, 24 ± 0, 07 |
|
Фракция 220-230 |
176, 7 |
0, 061 ± 0, 018 |
0, 13 ± 0, 04 |
|
Фракция 230-240 |
184, 1 |
0, 068 ± 0, 020 |
0, 15 ± 0, 05 |
|
Фракция 240-250 |
191, 8 |
0, 034 ± 0, 010 |
0, 078 ± 0, 025 |
|
Фракция 250-260 |
199, 6 |
0, 041 ± 0, 012 |
0, 10 ± 0, 03 |
|
Фракция 260-270 |
207, 8 |
0, 027 ± 0, 008 |
0, 068 ± 0, 022 |
|
Фракция 270-280 |
216, 1 |
0, 029 ± 0, 009 |
0, 074 ± 0, 025 |
|
Фракция 280-290 |
224, 8 |
0, 025 ± 0, 008 |
0, 068 ± 0, 022 |
|
Фракция 290-300 |
233, 7 |
0, 018 ± 0, 005 |
0, 051 ± 0, 017 |
|
Фракция 300-310 |
242, 8 |
0, 021 ± 0, 006 |
0, 060 ± 0, 020 |
|
Фракция 310-320 |
252, 3 |
0, 020 ± 0, 006 |
0, 060 ± 0, 020 |
|
Фракция 320-330 |
262, 2 |
0, 014 ± 0, 004 |
0, 045 ± 0, 015 |
|
Фракция 330-340 |
272, 2 |
0, 016 ± 0, 005 |
0, 051 ± 0, 017 |
|
Фракция 340-350 |
282, 6 |
0, 015 ± 0, 004 |
0, 049 ± 0, 016 |
|
Фракция 350-360 |
293, 3 |
0, 013 ± 0, 004 |
0, 047 ± 0, 015 |
|
Фракция 360-370 |
304, 3 |
0, 012 ± 0, 004 |
0, 044 ± 0, 015 |
|
Фракция 370-380 |
315, 6 |
0, 011 ± 0, 003 |
0, 042 ± 0, 014 |
|
Фракция 380-390 |
327, 4 |
0, 010 ± 0, 003 |
0, 040 ± 0, 013 |
|
Фракция 390-400 |
339, 4 |
0, 0092 ± 0, 0028 |
0, 037 ± 0, 012 |
|
Фракция 400-410 |
351, 8 |
0, 0083 ± 0, 0025 |
0, 035 ± 0, 011 |
|
Фракция 410-420 |
364, 7 |
0, 0075 ± 0, 0022 |
0, 032 ± 0, 011 |
|
Фракция 420-430 |
377, 9 |
0, 0067 ± 0, 0020 |
0, 030 ± 0, 010 |
|
Фракция 430-440 |
391, 5 |
0, 0059 ± 0, 0018 |
0, 028 ± 0, 009 |
|
Фракция 440-450 |
405, 5 |
0, 0052 ± 0, 0016 |
0, 025 ± 0, 008 |
|
Фракция 450-460 |
420, 0 |
Менее 0, 005 |
0, 023 ± 0, 008 |
|
Фракция 460-470 |
434, 9 |
Менее 0, 005 |
0, 021 ± 0, 007 |
|
Фракция 470-480 |
450, 3 |
Менее 0, 005 |
0, 018 ± 0, 006 |
|
Фракция 480-490 |
466, 2 |
Менее 0, 005 |
0, 016 ± 0, 005 |
|
Фракция 490-500 |
482, 6 |
Менее 0, 005 |
0, 013 ± 0, 004 |
|
Фракция 500-510 |
499, 5 |
Менее 0, 005 |
0, 011 ± 0, 004 |
|
Фракция 510-520 |
516, 8 |
Менее 0, 005 |
0, 009 ± 0, 003 |
|
Фракция 520-530 |
534, 7 |
Менее 0, 005 |
0, 0062 ± 0, 0021 |
|
Фракция 530-540 |
553, 2 |
Менее 0, 005 |
Менее 0, 005 |
|
Азот |
28, 0 |
Менее 0, 005 |
Менее 0, 005 |
|
Диоксид углерода |
44, 0 |
0, 120 ± 0, 015 |
0, 063 ± 0, 008 |
|
Сероводород |
34, 1 |
0, 48 ± 0, 04 |
0, 194 ± 0, 014 |
|
Карбонилсульфид |
60, 1 |
Менее 0, 001 |
Менее 0, 001 |
|
Метилмеркаптан |
48, 1 |
0, 079 ± 0, 011 |
0, 045 ± 0, 007 |
|
Этилмеркаптан |
62, 1 |
0, 35 ± 0, 07 |
0, 26 ± 0, 06 |
|
Диметилсульфид |
62, 1 |
0, 031 ± 0, 007 |
0, 023 ± 0, 005 |
|
Молярная масса НГК |
84, 10 | ||
Библиография
|
[1] |
ИСО 3924:2010 |
Нефтепродукты. Определение распределения пределов кипения. Метод газовой хроматографии |
|
(ISO 3924:2010) |
(Petroleum products - Determination of boiling range distribution - Gas chromatography method) | |
|
[2] |
ТУ 3689-018-12908609-2014 |
Пробоотборники поршневые постоянного давления ПП |
|
[3] |
ТУ 25-05-1664-74 |
Манометры и вакуумметры деформационные образцовые с условными шкалами типов МО и ВО. Технические условия |
|
[4] |
ТУ 25-11.1513-79 |
Барометр-анероид метеорологический БАММ-1 |
|
[5] |
ТУ 251-11.1645-84 |
Гигрометр психрометрический типа ВИТ |
|
[6] |
ТУ 3742-004-53373468-2006 |
Натекатель Н-12. Технические условия |
|
[7] |
ТУ 5.884.070 |
Фильтры |
|
[8] |
ТУ 0271-135-31323949-05 |
Гелий газообразный (сжатый) |
|
[9] |
Федеральные нормы и правила в области промышленной безопасности "Правила безопасности в нефтяной и газовой промышленности", утвержденные приказом Федеральной службы по экологическому, технологическому и атомному надзору от 12 марта 2013 г. N 101 | |
|
[10] |
Федеральные нормы и правила в области промышленной безопасности "Правила промышленной безопасности опасных производственных объектов, на которых используется оборудование, работающее под избыточным давлением", утвержденные приказом Федеральной службы по экологическому, технологическому и атомному надзору от 25 марта 2014 г. N 116 | |
|
[11] |
Технический регламент Таможенного союза TP ТС 032/2013 |
О безопасности оборудования, работающего под избыточным давлением |
|
[12] |
Гигиенические нормативы Российской Федерации ГН 2.2.5.1313-03 |
Предельно допустимые концентрации (ПДК) вредных веществ в воздухе рабочей зоны |
|
[13] |
Санитарные правила СП 2.3.3.2892-11 |
Санитарно-гигиенические требования к организации и проведению работ с метанолом |
|
[14] |
Краткий справочник по химии/Под общ. ред. О.Д. Курыленко. Киев: Наукова думка, 1974 | |
|
[15] |
Федеральный закон от 26 июня 2008 г. N 102-ФЗ |
Об обеспечении единства измерений |
|
[16] |
ТУ 3442-001-20810646-2016 |
Термочехол баллонный. Технические условия |
,

