ГОСТ Р 57893-2017 ПРОДУКТЫ БРОЖЕНИЯ И СЫРЬЕ ДЛЯ ИХ ПРОИЗВОДСТВА. ГАЗОХРОМАТОГРАФИЧЕСКИЙ МЕТОД ОПРЕДЕЛЕНИЯ МАССОВОЙ КОНЦЕНТРАЦИИ ЛЕТУЧИХ КОМПОНЕНТОВ
Products of fermentation and raw materials for it's production. Gas chromatographic method for determination of mass concentration of volatile components
Предисловие
1 Разработан Федеральным государственным бюджетным научным учреждением "Всероссийский научно-исследовательский институт пивоваренной, безалкогольной и винодельческой промышленности" (ФГБНУ ВНИИПБиВП)
2 Внесен Техническим комитетом по стандартизации ТК 091 "Пивобезалкогольная и винодельческая продукция"
3 Утвержден и введен в действие Приказом Федерального агентства по техническому регулированию и метрологии от 2 ноября 2017 г. N 1628-ст
4 Введен впервые
Настоящий стандарт распространяется на продукты брожения и сырье для их производства, включая пиво, квасы, медовухи, концентрированные сброженные основы (далее - продукт) и устанавливает газохроматографический метод определения массовой концентрации летучих компонентов: этаналя (ацетальдегида), пропан-2-она (ацетона), этилэтаноата (этилацетата), метанола (метилового спирта), пропан-2-ола (втор-пропилового спирта), бутан-2-ола (втор-бутилового спирта), пропан-1-ола (н-пропилового спирта), 2-метилпропан-1-ола (изобутилового спирта), изоамилэтаноата (изоамилацетата), бутан-1-ола (н-бутилового спирта), 3-метилбутан-1-ола 2-метилбутан-1-ола (изоамилового спирта), гексан-1-ола (н-гексилового спирта), этил-2-гидроксипропаноата (этиллактата).
Диапазон определений массовой концентрации:
- этаналя (ацетальдегида), пропан-2-она (ацетона), пропан-2-ола (втор-пропилового спирта), бутан-2-ола (втор-бутилового спирта), пропан-1-ола (н-пропилового спирта), изоамилэтаноата (изоамилацетата), бутан-1-ола (н-бутилового спирта), гексан-1-ола (н-гексилового спирта), этил-2-гидроксипропаноата (этиллактата), этилэтаноата (этилацетата), метанола (метилового спирта), 2-метилпропан-1-ола (изобутилового спирта) - от 0, 5 до 60 мг/дм3 включительно;
- 3-метилбутан-1-ола 2-метилбутан-1-ола (изоамилового спирта) - от 0, 5 до 500 мг/дм3 включительно.
В настоящем стандарте использованы нормативные ссылки на следующие стандарты:
ГОСТ 12.0.004 Система стандартов безопасности труда. Организация обучения безопасности труда. Общие положения
ГОСТ 12.1.004 Система стандартов безопасности труда. Пожарная безопасность. Общие требования
ГОСТ 12.1.005 Система стандартов безопасности труда. Общие санитарно-гигиенические требования к воздуху рабочей зоны
ГОСТ 12.1.007 Система стандартов безопасности труда. Вредные вещества. Классификация и общие требования безопасности
ГОСТ 12.2.007.0 Система стандартов безопасности труда. Изделия электротехнические. Общие требования безопасности
ГОСТ 12.4.009 Система стандартов безопасности труда. Пожарная техника для защиты объектов. Основные виды. Размещение и обслуживание
ГОСТ 12.4.021 Система стандартов безопасности труда. Системы вентиляционные. Общие требования
ГОСТ 12.4.103 Система стандартов безопасности труда. Одежда специальная защитная, средства индивидуальной защиты ног и рук. Классификация
ГОСТ 1770 (ИСО 1042-83, ИСО 4788-80) Посуда мерная лабораторная стеклянная. Цилиндры, мензурки, колбы, пробирки. Общие технические условия
ГОСТ 2603 Реактивы. Ацетон. Технические условия
ГОСТ 3022 Водород технический. Технические условия
ГОСТ 5830 Реактивы. Спирт изоамиловый. Технические условия
ГОСТ 5962 Спирт этиловый ректификованный из пищевого сырья. Технические условия
ГОСТ 6016 Реактивы. Спирт изобутиловый. Технические условия
ГОСТ 6687.0 Продукция безалкогольной промышленности. Правила приемки и методы отбора проб
ГОСТ 6687.7 Напитки безалкогольные и квасы. Метод определения спирта
ГОСТ 6709 Вода дистиллированная. Технические условия
ГОСТ 9293 (ИСО 2435-73) Азот газообразный и жидкий. Технические условия
ГОСТ 12786 Пиво. Правила приемки и методы отбора проб
ГОСТ 12787 Пиво. Методы определения спирта, действительного экстракта и расчет сухих веществ в начальном сусле
ГОСТ 17433 Промышленная чистота. Сжатый воздух. Классы загрязненности
ГОСТ 28498 Термометры жидкостные стеклянные. Общие технические требования. Методы испытаний
ГОСТ 29169 (ИСО 648-77) Посуда лабораторная стеклянная. Пипетки с одной отметкой
ГОСТ 29227 (ИСО 835-1-81) Посуда лабораторная стеклянная. Пипетки градуированные. Часть 1. Общие требования
ГОСТ 30536 Водка и спирт этиловый из пищевого сырья. Газохроматографический экспресс-метод определения содержания токсичных микропримесей
ГОСТ 32036 Спирт этиловый из пищевого сырья. Правила приемки и методы анализа
ГОСТ Р ИСО 5725-6-2002 Точность (правильность и прецизионность) методов и результатов измерений. Часть 6. Использование значений точности на практике
Примечание - При пользовании настоящим стандартом целесообразно проверить действие ссылочных стандартов в информационной системе общего пользования - на официальном сайте Федерального агентства по техническому регулированию и метрологии в сети Интернет или по ежегодному информационному указателю "Национальные стандарты", который опубликован по состоянию на 1 января текущего года, и по выпускам ежемесячного информационного указателя "Национальные стандарты" за текущий год. Если заменен ссылочный стандарт, на который дана недатированная ссылка, то рекомендуется использовать действующую версию стандарта с учетом всех внесенных в данную версию изменений. Если заменен ссылочный стандарт, на который дана датированная ссылка, то рекомендуется использовать версию этого стандарта с указанным выше годом утверждения (принятия). Если после утверждения настоящего стандарта в ссылочный стандарт, на который дана датированная ссылка, внесено изменение, затрагивающее положение, на которое дана ссылка, то это положение рекомендуется применять без учета данного изменения. Если ссылочный стандарт отменен без замены, то положение, в котором дана ссылка на него, рекомендуется применять в части, не затрагивающей эту ссылку.
Метод основан на хроматографическом разделении смеси летучих компонентов в продукте и последующем их детектировании пламенно-ионизационным детектором.
При проведении определений массовой концентрации летучих компонентов соблюдают следующие условия:
- температура окружающего воздуха, °С ... 20 ± 5;
- атмосферное давление, кПа ... 84, 0-106, 0;
- относительная влажность воздуха, % ... 30-80;
- напряжение переменного тока, В ... 220 ± 5;
- частота переменного тока, Гц ... 50 ± 1.
Хроматограф газовый с пламенно-ионизационным детектором (предел детектирования не более 5-10-12 г С/с).
Колонка газохроматографическая капиллярная с нанесенной жидкой фазой - полиэтиленгликоль, модифицированный нитротерефталевой кислотой, длиной 50 м, внутренним диаметром 0, 32 мм, толщиной нанесения жидкой фазы 0, 5 мкм. Допускается применение других капиллярных колонок с техническими характеристиками, обеспечивающими разделение, аналогичное приведенному на рисунке 1 (см. 8.1).
Компьютер, имеющий программное обеспечение.
Весы с пределами допускаемой абсолютной погрешности ± 0, 02 мг.
Термометр жидкостный стеклянный по ГОСТ 28498 с диапазоном определения от 100 °С до 200 °С, ценой деления 0, 1 °С.
Колбы мерные 2-100-2, 2-1000-2 по ГОСТ 1770.
Пипетки с одной меткой 2-2-10, 2-2-20, 2-2-50 по ГОСТ 29169.
Пипетки градуированные 1-2-1-25, 1-2-1-5 по ГОСТ 29227.
Микрошприц вместимостью 1 мм3.
Микродозатор с переменным объемом 20-200 мм3, относительной погрешностью в диапазоне дозируемого объема ± 0, 8 %.
Микровиалы вместимостью 2 см3 с завинчивающимися крышками и тефлонированной уплотнительной мембраной.
Перегонный аппарат (аппарат для отгона проб).
Аквадистиллятор.
Шкаф вытяжной.
Баня водяная.
Вода дистиллированная по ГОСТ 6709.
Спирт этиловый ректификованный из пищевого сырья по степени очистки не ниже "Экстра" по ГОСТ 5962.
Пропан-2-он (ацетон) по ГОСТ 2603, ч. д. а.
2-метилпропан-1-ол (спирт изобутиловый) по ГОСТ 6016, ч. д. а.
З-метилбутан-1-ол 2-метилбутан-1-ол (спирт изоамиловый) по ГОСТ 5830, ч. д. а.
Этаналь (альдегид уксусный) с массовой долей основного вещества не менее 99 %.
Метанол (метиловый спирт) с массовой долей основного вещества не менее 99 %.
Этилэтаноат (этилацетат) с массовой долей основного вещества не менее 99 %.
Этил-2-гидроксипропаноат (этиллактат) с массовой долей основного вещества не менее 99 %.
Пропан-1-ол (н-пропиловый спирт) с массовой долей основного вещества не менее 99 %.
Пропан-2-ол (втор-пропиловый спирт) с массовой долей основного вещества не менее 99 %.
Бутан-1-ол (н-бутиловый спирт) с массовой долей основного вещества не менее 99 %.
Бутан-2-ол (втор-бутиловый спирт) с массовой долей основного вещества не менее 99 %.
Изоамилэтаноат (изоамилацетат) с массовой долей основного вещества не менее 98 %.
Гексан-1-ол (н-гексиловый спирт) с массовой долей основного вещества не менее 98 %.
Газ-носитель - азот по ГОСТ 9293, о. ч. Допускается использовать генераторы азота.
Водород технический марки А по ГОСТ 3022. Допускается использовать генераторы водорода.
Воздух сжатый по ГОСТ 17433 класса загрязненности "1". Допускается использовать воздушные компрессоры любого типа, обеспечивающие необходимое давление и чистоту воздуха в соответствии с инструкцией по эксплуатации газового хроматографа.
Допускается применение других средств измерений с метрологическими характеристиками, вспомогательного оборудования с техническими характеристиками не ниже указанных, а также посуды, материалов и реактивов по качеству не ниже указанных.
6.1 Отбор проб пива - по ГОСТ 12786, остальных продуктов по - ГОСТ 6687.0.
6.2 Проведение определений предусматривает для продукта ввод в испаритель (инжектор) хроматографа его дистиллята, полученного для пива по ГОСТ 12787, для остальных продуктов - по ГОСТ 6687.7.
7.1 Монтаж, наладку и вывод хроматографа на рабочий режим проводят в соответствии с инструкцией по его эксплуатации.
7.2 Кондиционирование капиллярной колонки
7.2.1 Для стабилизации базовой линии кондиционирование капиллярной колонки проводят при температуре термостата колонок 220 °С, не отсоединяя ее от детектора.
7.2.2 При использовании новой капиллярной колонки ее помещают в термостат хроматографа и, не подсоединяя к детектору, продувают газом-носителем со скоростью 0, 048-0, 072 дм3/ч при температуре термостата колонок 180 °С в течение 4 ч. Затем колонку подсоединяют к детектору и проверяют стабильность базовой линии при рабочей температуре термостата колонок.
7.3 Приготовление градуировочных смесей
7.3.1 Прибор градуируют по градуировочным смесям методом абсолютной градуировки.
При отсутствии аттестованных градуировочных смесей их готовят из реактивов, указанных в разделе 5.
Для приготовления градуировочных смесей используют водно-спиртовые растворы с объемной долей этилового спирта 40, 0 % (далее - растворитель N 1) и 5, 0 % (далее - растворитель N 2).
7.3.2 Перед приготовлением растворителей в ректификованном этиловом спирте из пищевого сырья определяют массовую концентрацию летучих компонентов по ГОСТ 30536, которую затем учитывают при вычислении фактического значения массовой концентрации i-го летучего компонента в градуировочной смеси.
7.3.3 Приготовление растворителей N 1 и N 2
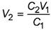
В мерную колбу вместимостью 1000 см3 вносят примерно 400 см3 или 50 см3 соответственно ректификованного этилового спирта из пищевого сырья, доводят до метки дистиллированной водой, перемешивают и выдерживают при температуре (20 ± 2) °С в течение 25 мин.
Точное количество ректификованного этилового спирта V2, см3, вычисляют по формуле
,
(1)
где С2 - объемная доля этилового спирта в растворителе N 1 или N 2 (40, 0 % или 5, 0 %), %;
V1 - объем растворителя N 1 или N 2, см3;
С1 - объемная доля этилового спирта, определенная по ГОСТ 32036, %.
Срок хранения растворителей в герметично закрытой посуде - не более 6 мес.
7.3.4 Приготовление градуировочной смеси N 1
В предварительно взвешенную мерную колбу (результат взвешивания регистрируют в миллиграммах до первого десятичного знака) с пришлифованной пробкой вместимостью 100 см3 микродозатором вносят примерно по 50 мг каждого вещества, последним вносят этаналь (уксусный альдегид), предварительно выдержанный при температуре не выше минус 18 °С не менее 2 ч.
После внесения каждого вещества колбу взвешивают, результат взвешивания регистрируют в миллиграммах до первого десятичного знака. Перед отбором каждого вещества меняют наконечники. Содержимое колбы перемешивают, доводят до метки растворителем N 1, приготовленным по 7.3.3, и выдерживают при температуре (20 ± 2) °С в течение 25 мин.
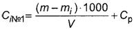
Массовую концентрацию i-го летучего компонента СiN 1, мг/дм3, в градуировочной смеси N 1 вычисляют по формуле
,
(2)
где m - масса мерной колбы после внесения i-го летучего компонента, мг;
mi - масса мерной колбы до внесения i-го летучего компонента, мг;
1000 - коэффициент пересчета кубических сантиметров в кубические дециметры;
V - вместимость мерной колбы, см3;
Ср - массовая концентрация i-го летучего компонента в растворителе N 1, вычисленная исходя из его содержания в ректификованном этиловом спирте из пищевого сырья (см. 7.3.2), мг/дм3.
7.3.5 Приготовление градуировочной смеси N 2
В мерную колбу с пришлифованной пробкой вместимостью 100 см3 пипеткой вместимостью 10 см3 вносят 10 см3 градуировочной смеси N 1. Содержимое колбы доводят до метки растворителем N 2 и выдерживают при температуре (20 ± 2) °С в течение 25 мин.
Массовую концентрацию i-го летучего компонента СiN 2, мг/дм3, в градуировочной смеси N 2 вычисляют по формуле
,
(3)
где СiN 1 - массовая концентрация i-го летучего компонента в градуировочной смеси N 1, вычисленная по формуле (2), мг/дм3;
VN 1 - объем градуировочной смеси N 1, см3;
V - вместимость мерной колбы, см3;
Ср - массовая концентрация i-го летучего компонента в растворителе N 2, вычисленная исходя из его содержания в ректификованном этиловом спирте из пищевого сырья (см. 7.3.2), мг/дм3.
7.3.6 Приготовление градуировочной смеси N 3
В мерную колбу с пришлифованной пробкой вместимостью 100 см3 пипеткой вместимостью 10 см3 вносят 10 см3 градуировочной смеси N 2. Содержимое колбы доводят до метки растворителем N 2 и выдерживают при температуре (20 ± 2) °С в течение 25 мин.
Массовую концентрацию i-го летучего компонента СiN 3, мг/дм3, в градуировочной смеси N 3 вычисляют по формуле
,
(4)
где СiN 2 - массовая концентрация i-го летучего компонента в градуировочной смеси N 2, вычисленная по формуле (3), мг/дм3;
VN 2 - объем градуировочной смеси N 2, см3;
V - вместимость мерной колбы, см3;
Ср - массовая концентрация i-го летучего компонента в растворителе N 2, вычисленная исходя из его содержания в ректификованном этиловом спирте из пищевого сырья (см. 7.3.2), мг/дм3.
7.3.7 Приготовление градуировочной смеси N 4
В мерную колбу с пришлифованной пробкой вместимостью 100 см3 пипеткой вместимостью 10 см3 вносят 10 см3 градуировочной смеси N 3. Содержимое колбы доводят до метки растворителем N 2 и выдерживают при температуре (20 ± 2) °С в течение 25 мин.
Массовую концентрацию i-го летучего компонента СiN 4, мг/дм3, в градуировочной смеси N 4 вычисляют по формуле
,
(5)
где СiN 3 - массовая концентрация i-го летучего компонента в градуировочной смеси N 3, вычисленная по формуле (4), мг/дм3;
VN 3 - объем градуировочной смеси N 3, см3;
V - вместимость мерной колбы, см3;
Ср - массовая концентрация i-го летучего компонента в растворителе N 2, вычисленная исходя из его содержания в ректификованном этиловом спирте из пищевого сырья (см. 7.3.2), мг/дм3.
7.3.8 Примерная массовая концентрация летучих компонентов в градуировочных смесях NN 1-4 приведена в таблице 1.
Таблица 1
|
Наименование летучего компонента |
Примерная массовая концентрация летучего компонента в градуировочной смеси*, мг/дм3 | |||
|
N 1 |
N 2 |
N 3 |
N 4 | |
|
Этаналь (ацетальдегид) Пропан-2-он (ацетон) Этилэтаноат (этилацетат) Метанол (метиловый спирт) Пропан-2-ол (втор-пропиловый спирт) Бутан-2-ол (втор-бутиловый спирт) Пропан-1-ол (н-пропиловый спирт) 2-метилпропан-1-ол (изобутиловый спирт) Изоамилэтаноат (изоамилацетат) Бутан-1-ол (н-бутиловый спирт), 3-метилбутан-1-ол 2-метилбутан-1-ол (изоамиловый спирт) Гексан-1-ол (н-гексиловый спирт) Этил-2-гидроксипропаноат (этиллактат) |
500 |
50 |
5 |
0, 5 |
|
* Фактическое значение массовой концентрации летучих компонентов в градуировочной смеси вычисляют по формулам (2) - (5). | ||||
7.3.9 Приготовление градуировочных смесей проводят при температуре (20 ± 2) °С в вытяжном шкафу.
7.3.10 Срок хранения градуировочных смесей NN 1-4 в холодильнике, в герметично закрытой посуде - не более 6 мес.
8.1 Определения проводят при следующих условиях хроматографирования:
- начальная температура термостата колонок ... 70 °С;
- выдержка ... 6 мин;
- скорость нагрева термостата колонок до температуры 180 °С ... 12 °С/мин;
- выдержка ... 15 мин;
- температура испарителя (инжектора) ... 200 °С;
- температура детектора ... 200 °С;
- коэффициент деления потока ... 30:1;
- скорость потока газа-носителя (азот) ... 1, 3 см3/мин;
- скорость потока воздуха ... 200 см3/мин;
- скорость потока водорода ... 20 см3/мин;
- объем пробы ... 1 мм3.
Допускается проведение определений в других условиях хроматографирования, в том числе с программированием температуры и потока газа-носителя, обеспечивающих разделение и последовательность выхода компонентов, аналогичное приведенному на рисунке 1.

1 - этаналь (ацетальдегид); 2 - пропан-2-он (ацетон); 3 - этилэтаноат (этилацетат); 4 - метанол (метиловый спирт), 5 - пропан-2-ол (втор-пропиловый спирт); 6 - этанол (этиловый спирт); 7 - бутан-2-ол (втор-бутиловый спирт); 8 - пропан-1-ол (н-пропиловый спирт); 9 - 2-метилпропан-1-ол (изобутиловый спирт); 10 - изоамилэтаноат (изоамилацетат); 11 - бутан-1-ол (н-бутиловый спирт); 12 - 3-метилбутан-1-ол 2-метилбутан-1-ол (изоамиловый спирт); 13 - гексан-1-ол (н-гексиловый спирт); 14 - этил-2-гидроксипропаноат (этиллактат)
Рисунок 1 - Типовая хроматограмма
8.2 Градуировка хроматографа
8.2.1 Градуировку хроматографа проводят, используя четыре градуировочных смеси (NN 1-4) с фактическими значениями массовой концентрации летучих компонентов, вычисленными по формулам (2) - (5) соответственно.
Градуировочные смеси N 4, N 3, N 2, N 1 последовательно вводят в испаритель (инжектор) хроматографа и проводят определения при условиях хроматографирования, указанных в 8.1.
Записывают хроматограммы каждой градуировочной смеси. Регистрируют время удерживания и площади пиков определяемых компонентов.
Измерение каждой градуировочной смеси проводят не менее двух раз.
Градуировочную характеристику получают, обрабатывая полученные данные с помощью программного обеспечения компьютера, входящего в комплект хроматографа.
Градуировку хроматографа проводят один раз в две недели, а также при смене колонки, реактивов, при получении отрицательных результатов контроля стабильности градуировочной характеристики и после ремонта хроматографа.
8.2.2 Контроль стабильности градуировочной характеристики проводят перед началом определений. Образцом для контроля стабильности градуировочной характеристики является любая градуировочная смесь, которую анализируют не менее двух раз.
Градуировочную характеристику считают стабильной при выполнении условия
,
(6)
где Сi выч - вычисленное значение массовой концентрации i-го летучего компонента в градуировочной смеси, мг/дм3;
Сi изм - измеренное значение массовой концентрации i-го летучего компонента в градуировочной смеси, мг/дм3;
Ki гр - норматив стабильности градуировочной характеристики для i-го летучего компонента, который вычисляют по формуле
Kiгр=0, 5δi,
(7)
где δi - показатель точности i-го летучего компонента (см. таблицу 2), %.
Если условие (6) не выполняется, повторяют определения с использованием вновь приготовленной градуировочной смеси. В случае повторного невыполнения требования (6) проводят повторную градуировку хроматографа по новым градуировочным смесям.
8.3 Порядок проведения определений
В испаритель (инжектор) хроматографа микрошприцем вместимостью 1 мм3 вводят 1 мм3 продукта, подготовленного по 6.2, и проводят определения при условиях хроматографирования, указанных в 8.1.
Записывают хроматограмму продукта. Регистрируют время удерживания и площади пиков определяемых компонентов и идентифицируют пики в соответствии с установленными ранее временами удерживания.
Проводят два параллельных определения.
Считают, что компонент отсутствует в продукте, если его пик в характерной для него области удерживания не обнаружен.
9.1 Обработку результатов определений выполняют, используя программное обеспечение компьютера, входящего в комплект хроматографа.
9.2 Диапазоны определений массовой концентрации летучих компонентов, показатели точности, повторяемости, воспроизводимости и предел повторяемости приведены в таблице 2.
Таблица 2
|
Наименование летучего компонента |
Диапазон определений массовой концентрации, мг/дм3 |
Показатель точности (границы относительной погрешности) при Р = 0, 95 ±δ, % |
Показатель повторяемости (относительное среднеквадратическое отклонение повторяемости) σr, % |
Показатель воспроизводимости (относительное среднеквадратическое отклонение воспроизводимости) σR, % |
Предел повторяемости при n = 2, Р = 0, 95 r, % |
|
Этаналь (ацетальдегид) |
От 0, 5 до 2, 0 включ. |
19 |
6, 0 |
9, 0 |
17, 0 |
|
Св. 2, 0 до 60 включ. |
12 |
4, 0 |
6, 0 |
11, 0 | |
|
Пропан-2-он (ацетон) |
От 0, 5 до 2, 0 включ. |
22 |
7, 0 |
10, 5 |
19, 0 |
|
Св. 2, 0 до 60 включ. |
16 |
5, 0 |
7, 5 |
14, 0 | |
|
Этилэтаноат (этилацетат) |
От 0, 5 до 2, 0 включ. |
20 |
6, 5 |
10, 0 |
18, 0 |
|
Св. 2, 0 до 60 включ. |
14 |
4, 5 |
7, 0 |
12, 5 | |
|
Метанол (метиловый спирт) |
От 0, 5 до 2, 0 включ. |
17 |
5, 5 |
8, 0 |
15, 0 |
|
Св. 2, 0 до 60 включ. |
14 |
4, 5 |
7, 0 |
12, 5 | |
|
Пропан-2-ол (втор-пропиловый спирт) |
От 0, 5 до 2, 0 включ. |
24 |
8, 0 |
12, 0 |
22, 0 |
|
Св. 2, 0 до 60 включ. |
15 |
5, 0 |
7, 5 |
14, 0 | |
|
Бутан-2-ол (втор-бутиловый спирт) |
От 0, 5 до 2, 0 включ. |
21 |
7, 0 |
10, 5 |
19, 0 |
|
Св. 2, 0 до 60 включ. |
14 |
4, 5 |
7, 0 |
12, 5 | |
|
Пропан-1-ол (н-пропиловый спирт) |
От 0, 5 до 2, 0 включ. |
15 |
5, 0 |
7, 5 |
14, 0 |
|
Св. 2, 0 до 60 включ. |
10 |
3, 0 |
4, 5 |
8, 0 | |
|
2-метилпропан-1-ол (изобутиловый спирт) |
От 0, 5 до 2, 0 включ. |
15 |
5, 0 |
7, 5 |
14, 0 |
|
Св. 2, 0 до 60 включ. |
11 |
3, 5 |
5, 0 |
10, 0 | |
|
Изоамилэтаноат (изоамилацетат) |
От 0, 5 до 2, 0 включ. |
22 |
7, 5 |
11, 0 |
21, 0 |
|
Св. 2, 0 до 60 включ. |
14 |
4, 5 |
7, 0 |
12, 5 | |
|
Бутан-1-ол (н-бутиловый спирт) |
От 0, 5 до 2, 0 включ. |
21 |
7, 0 |
10, 5 |
19, 0 |
|
Св. 2, 0 до 60 включ. |
15 |
5, 0 |
7, 5 |
14, 0 | |
|
3-метилбутан-1-ол 2-метилбутан-1-ол (изоамиловый спирт) |
От 0, 5 до 2, 0 включ. |
19 |
6, 0 |
9, 0 |
17, 0 |
|
Св. 2, 0 до 500 включ. |
14 |
4, 5 |
7, 0 |
12, 5 | |
|
Гексан-1-ол (н-гексиловый спирт) |
От 0, 5 до 2, 0 включ. |
21 |
7, 0 |
10, 5 |
19, 0 |
|
Св. 2, 0 до 60 включ. |
14 |
4, 5 |
7, 0 |
12, 5 | |
|
Этил-2-гидрокси-пропаноат (этиллактат) |
От 0, 5 до 2, 0 включ. |
20 |
6, 5 |
10, 0 |
18, 0 |
|
Св. 2, 0 до 60 включ. |
15 |
5, 0 |
7, 5 |
14, 0 |
9.3 За результат определений принимают среднеарифметическое значение двух результатов параллельных определений, если выполняется условие приемлемости
,
(8)
где Сi1, Сi2 - результаты параллельных определений массовой концентрации i-го летучего компонента, мг/дм3;
ri - значение предела повторяемости i-го летучего компонента (см. таблицу 2), %.
9.4 Если условие (8) не выполняется, проводят еще два определения. За результат определений принимают среднее арифметическое значение четырех результатов параллельных определений, если выполняется условие
,
(9)
где Сi макс, Сi мин - максимальное и минимальное значение из полученных четырех результатов параллельных определений массовой концентрации i-го летучего компонента, мг/дм3;
CRi 0, 95 - значение критического диапазона для уровня вероятности Р = 0, 95 и n - результатов определений;
CRi0, 95=f(n)σri,
(10)
для n = 4
CRi0, 95=3, 6σri,
(11)
где σri - показатель повторяемости i-го летучего компонента (см. таблицу 2), %.
Если условие (9) не выполняется, выясняют причины превышения критического диапазона, устраняют их и повторяют определения в соответствии с требованиями метода определения.
9.5 Результат определения представляют в виде
C̅i±0, 01δiC̅i, при P=0, 95,
(12)
где C̅i - среднее арифметическое значение n результатов определений массовой концентрации i-го летучего компонента, признанных приемлемыми по 9.3 или 9.4, мг/дм3;
±δi - границы относительной погрешности определений i-го летучего компонента (см. таблицу 2), %.
Числовое значение результатов определений должно оканчиваться цифрой того же порядка, что и значение абсолютной погрешности, содержащее не более двух значащих цифр.
Если массовая концентрация i-го летучего компонента в продукте выходит за пределы диапазона определений, приводят следующую запись в журнале: "Массовая концентрация ______ менее _____ мг/дм3 (более _____ мг/дм3)".
Проверку приемлемости результатов определений, полученных в условиях воспроизводимости, проводят:
- при возникновении спорных ситуаций между двумя лабораториями;
- проверке совместимости результатов определений, полученных при сравнительных испытаниях.
Приемлемость результатов определений, полученных в двух лабораториях, оценивают сравнением разности этих результатов с критической разностью CD0, 95 по формуле
|Cicp1-Cicp2|≤CDi0, 95,
(13)
где Сiср1, Сiср2 - средние арифметические значения массовой концентрации i-го летучего компонента, полученные в первой и второй лабораториях, мг/дм3;
CDi0, 95 - значение критической разности для массовой концентрации i-го летучего компонента, мг/дм3, вычисляемое по формуле
,
(14)
где 2, 77 - коэффициент критического диапазона для параллельных определений;
0, 01 - коэффициент перехода от процентов к абсолютным значениям;
Сiср1, 2 - среднеарифметическое значение массовой концентрации i-го летучего компонента, полученное в первой и второй лабораториях, мг/дм3;
σRi - показатель воспроизводимости (см. таблицу 2), %;
σri - показатель повторяемости (см. таблицу 2), %;
n - количество выполненных определений, n = 2.
Если критическая разность не превышена, то приемлемы оба результата определений, проведенных двумя лабораториями, и в качестве окончательного результата используют их среднеарифметическое значение. Если критическая разность превышена, то выполняют процедуры, изложенные в ГОСТ Р ИСО 5725-6-2002 (пункт 5.3.3).
Контроль точности результатов определений при реализации метода в лаборатории осуществляют по ГОСТ Р ИСО 5725-6-2002 (подраздел 5.2).
Проверку стабильности результатов определений осуществляют с применением контрольных карт Шухарта. Периодичность контроля стабильности результатов определений регламентируют в Руководстве по качеству лаборатории.
12.1 К работе на газовом хроматографе допускаются лица, владеющие техникой газохроматографического анализа и изучившие инструкцию по эксплуатации используемого оборудования.
12.2 Электробезопасность при работе с электроустановками - по ГОСТ 12.2.007.0.
12.3 При проведении определений соблюдают требования техники безопасности при работе с химическими реактивами по ГОСТ 12.1.007 и ГОСТ 12.4.103.
12.4 Помещение, в котором проводят определения, должно быть оборудовано общей приточно-вытяжной вентиляцией по ГОСТ 12.4.021.
12.5 Организация обучения работающих - по ГОСТ 12.0.004.
12.6 Помещение, в котором проводят определения, должно соответствовать требованиям пожарной безопасности по ГОСТ 12.1.004 и иметь средства пожаротушения по ГОСТ 12.4.009.
12.7 Содержание вредных веществ в воздухе рабочей зоны не должно превышать норм, установленных ГОСТ 12.1.005.


