ГОСТ Р 57710-2017/ISO/IEEE 11073-00103:2015 ИНФОРМАТИЗАЦИЯ ЗДОРОВЬЯ. ОБМЕН ДАННЫМИ С ПЕРСОНАЛЬНЫМИ МЕДИЦИНСКИМИ ПРИБОРАМИ. Часть 00103. ОБЗОР
Health informatics. Personal health device communication. Part 00103. Overview
Предисловие
1 Подготовлен Федеральным государственным бюджетным учреждением "Центральный научно-исследовательский институт организации и информатизации здравоохранения" Министерства здравоохранения Российской Федерации (ФГБУ "ЦНИИОИЗ" Минздрава России) и Обществом с ограниченной ответственностью "Корпоративные электронные системы" на основе собственного перевода на русский язык англоязычной версии международного стандарта, указанного в пункте 4
2 Внесен Техническим комитетом по стандартизации ТК 468 "Информатизация здоровья" при ЦНИИОИЗ Минздрава России - постоянным представителем ISO ТС 215
3 Утвержден и введен в действие Приказом Федерального агентства по техническому регулированию и метрологии от 26 сентября 2017 г. N 1235-ст
4 Настоящий стандарт идентичен международному стандарту ISO/IEEE 11073-00103:2015 "Информатизация здоровья. Обмен данными с персональными медицинскими приборами. Часть 00103. Обзор" (ISO/IEEE 11073-00103:2015 "Health informatics - Personal health device communication Part 00103: Overview", IDT).
Наименование настоящего стандарта изменено относительно наименования указанного международного стандарта для приведения в соответствие с ГОСТ Р 1.5 (подраздел 6)
5 Введен впервые
Важное примечание - IEEE стандарты не предназначены для обеспечения защиты окружающей среды, здоровья, физической и информационной безопасности во всех возможных ситуациях. Ответственность за применение мероприятий, необходимых для решения этих задач и выполнения действующих регуляторных требований, возлагается на пользователей стандартов.
Настоящий IEEE стандарт доступен для применения в соответствии с важными замечаниями и юридическими оговорками. Эти замечания и оговорки присутствуют во всех публикациях, содержащих настоящий стандарт под заголовком "важное замечание" или "важные замечания и юридические оговорки по применению стандартов IЕЕЕ". Они могут быть также получены от IEEE по запросу или просмотрены по адресу: http://standards.ieee.org/IPR/disclaimers.html.
В контексте семейства стандартов ИСО/ИИЭР 11073 по обмену данными с медицинскими приборами настоящий стандарт описывает не зависящую от средств передачи среду приложений и информационные профили персональных телемедицинских приборов. Эти профили определяют обмен данными, представление данных, а также терминологию для коммуникаций между персональными медицинскими приборами и вычислительными устройствами (например, устройствами климат-контроля, декодерами, сотовыми телефонами и персональными компьютерами). В настоящем стандарте дано определение персональных телемедицинских приборов как устройств, используемых для контроля жизнедеятельности, мониторинга здорового образа жизни, мониторинга здоровья на дому у пациента или в домах социальной помощи с помощью мобильных приложений или медицинских информационных систем. В нем представлены также варианты использования, релевантные этим сценариям и средам приложений.
Настоящий стандарт определяет контекст для других стандартов персональной телемедицины, входящих в серию стандартов ИСО/ИИЭР 11073, и описывает потребность в интероперабельности сред персональной телемедицины. Интероперабельность является ключевым фактором в развитии потенциального рынка этих приборов и обеспечении населения возможностью независимого управления своим здоровьем.
Серия стандартов ИИЭР 11073 берет свое начало в 1990-х годах. Изначально она предназначалась для соединения медицинских приборов, устанавливаемых у постели больного в организациях здравоохранения. Примерами таких приборов могут служить мониторы жизненно важных показателей, мониторы кровяного давления и другие медицинские приборы. Первоначально в большинстве случаев медицинские приборы использовались медицинскими экспертами в организациях здравоохранения. Однако на использование медицинских приборов на дому со временем начал расти спрос. Кроме того, на рынок вышли устройства для фитнеса и оценки состояния здоровья. Такие устройства не предназначены для непосредственного использования практикующими врачами, но собираемые ими данные могут иметь клиническую значимость. Постепенно термин "персональный медицинский прибор" (ПМП) стал применяться и к медицинским приборам, и к устройствам для оценки состояния здоровья и фитнеса, используемых в домашних условиях пользователями за пределами организаций здравоохранения. На сегодняшний день ПМП, как правило, продаются в качестве бытовой электроники. Они применяются на дому и в условиях перемещения. Большинство из них имеют цифровые дисплеи и местное хранилище считываний. Вследствие малого размера и ограниченных источников питания многие из этих устройств обладают ограниченными возможностями вычислений. Все чаще и чаще пользователи находят обременительным чтение данных с дисплеев и ручное заполнение онлайновых форм ввода. Любое ручное вмешательство повышает вероятность ошибок. Поэтому автоматизированная передача записанных данных становится все более важной, принося дополнительное преимущество защиты от разрушения носителя информации. Эта эволюция оказала свое влияние и на работы по стандартизации.
На сегодняшний день в рамках серии стандартов ИИЭР 11073 ПМП были разработаны следующие стандарты:
- ИСО/ИИЭР 11073-20601:2010(E) [В48]*(1) и его поправка ИИЭР Std 11073-20601аТМ-2010 [В36] - оптимизированный протокол обмена данными, определяющий базовые элементы: информационную модель предметной области, модель служб и коммуникационную модель.
──────────────────────────────
*(1) Номера в квадратных скобках соответствуют номерам библиографии.
Они дополняются серией стандартов "специализации приборов", приспосабливающих обширный набор инструментов, предоставленных в документах ИСО/ИИЭР 11073-20601:2010(E) [В48] и ИИЭР Std 11073-20601аТМ-2010 [В36], к конкретным случаям использования, в целях учета особенностей типа специализируемого прибора. На данный момент доступны следующие специализации приборов:
- ISO/IEEE 11073-10404:2010(E) [В43];
- IEEE Std 11073-10406ТМ-2011 [В27];
- ISO/IEEE 11073-10407:2010(E) [B44];
- ISO/IEEE 11073-10408:2010(E) [B45];
- ISO/IEEE 11073-10415:2010(E) [B46];
- IEEE Std 11073-10417TM-2011 [B28];
- IEEE Std 11073-10418TM-2011 [B29];
- IEEE Std 11073-10420TM-2010 [B30];
- IEEE Std 11073-10421TM-2010 [B31];
- IEEE Std 11073-10441TM-2008 [B32];
- IEEE Std 11073-10442TM-2008 [B33];
- IEEE Std 11073-10471TM-2008 [B34];
- IEEE Std 11073-10472TM-2010 [В35].
Ведутся работы по добавлению других специализаций приборов.
Была предпринята попытка такой разработки, при которой сочетание документа специализации устройства с базовым стандартом оказывалось завершенным и самодостаточным. Например, ИСО/ИИЭР 11073-10101:2004(Е) [В41] предоставляет обширный список терминов для кодирования элементов данных в информационной модели предметной области. Для удобства использования эти термины повторяются там, где используются, чтобы читатель стандарта специализации не нуждался в обращении к ИСО/ИИЭР 11073-10101:2004(Е) [В41]. Аналогичным образом воспроизводятся ключевые понятия, например информационная и коммуникационная модели.
Настоящий стандарт предназначен для читателей, заинтересованных в стандартизации интероперабельности ПМП. Он нацелен на читателей, инженеров и не инженеров, планирующих предоставлять службы персонального здравоохранения или вносить в них вклад, использовать или покупать приборы, а также на тех, кто заинтересован во всем многообразии шагов, необходимых для планирования и реализации.
Настоящий стандарт может также использоваться экспертами по информационным технологиям (ИТ), которым требуется начальный обзор понятий, используемых в серии стандартов ИИЭР 11073 ПМП, возможность быстрого определения того, для каких целей предназначено то или иное содержание и где можно найти его подробное описание. В нем также объяснены аспекты, в большей степени ориентированные на пользователя, чтобы инженеры могли узнать больше о его представлении предмета. Это является основной темой "обзора среды".
Разделы данного документа, начиная со 2-го, организованы следующим образом:
- в разделе 2 приведены определения, акронимы и сокращения. В целом к этому разделу должны иметь доступ читатели общетехнической направленности и специалисты по внедрению;
- в разделе 3 описаны некоторые детали характеристик пользователя и использования прибора, за ними следует сводка типов приборов; содержание раздела находится на общетехническом уровне;
- раздел 4 служит "руководством" по технологии ПМП, содержащим набор структурированных моделей, обычно следующий принципу "сверху вниз". Эти модели ориентированы на технических специалистов, давая им существенное понимание архитектуры стандарта, хотя в основном содержание раздела соответствует общетехническому уровню. В этом разделе представлены основные технические понятия, которыми оперирует серия стандартов ИИЭР 11073 ПМП;
- раздел 5 охватывает ряд тем, затрагивающих реализацию (внедрение). Его содержание в сочетании с приложениями А-С предназначено для обеспечения глубокого технического понимания. В нем представлено описание того, как стандарты ИИЭР 11073 ПМП используются вместе с другими спецификациями в проектах реализации.
Приложение D содержит детальную справочную библиографию.
В данном документе используются следующие термины и определения. Термины, не определенные в данном разделе, следует смотреть в словаре IEEE Standards Dictionary Online*(2).
2.1.1 агент (agent): Узел, собирающий и передающий персональные медицинские данные связанному с ним менеджеру.
2.1.2 прибор (device): Термин, обозначающий физический прибор, выполняющий роль агента или менеджера.
2.1.3 идентификатор (handle): Локальное уникальное 16-битовое число без знака, идентифицирующее один из экземпляров объекта внутри агента.
2.1.4 здоровье (health): В соответствии с определением Всемирной организации здравоохранения "[оно] является состоянием полного физического, ментального и социального благополучия, а не только лишь отсутствием заболеваний или болезненного состояния"*(3). Это охватывает мониторинг здоровья и содействие повседневной жизни, а не только медицинскую помощь.
2.1.5 менеджер (manager): Узел, получающий данные от одной или нескольких агентских систем. Примерами менеджеров могут служить сотовый телефон, медицинское устройство, декодер или вычислительная система.
2.1.6 персональный медицинский прибор (personal health device): Прибор, используемый в персональных медицинских приложениях.
Примечание - В целях данного документа область применения медицинских приборов дополнительно ограничена медицинскими приборами, соединенными с пациентом и поддерживающими электронные коммуникации. Это более узкое определение не исключает и не противоречит более широким существующим определениям медицинских приборов*(4).
──────────────────────────────
*(2) Подписка на IEEE Standards Dictionary Online доступна по адресу: http://www.ieee.org/portal/innovate/products/standard/standards_dictionar y.html.
*(3) Данный документ доступен по адресу: https://apps.who.int/aboutwho/en/definition.html.
*(4) Примечания в тексте, таблицах и на рисунках стандарта предоставляются исключительно в качестве справки и не содержат требований, необходимых для реализации данного стандарта.
2.1.7 реальное время (real time): Эти программы должны гарантировать реакцию в рамках строго ограниченного времени (выполнение операций от возникновения события до реакции системы), например, в случае непрерывной (потоковой) передачи измерений электрокардиографа (ЭКГ).
2.1.8 качество услуг (QoS) (quality of service): Необходимые параметры, связанные с поддержкой передачи медицинских данных по беспроводной (или проводной) системе инфраструктуры. Требования QoS зависят во многом от характера (например, биосигнал или обычный текст) и критической значимости передаваемых данных и обычно классифицируются такими параметрами, как надежность, задержка, приоритет и пропускная способность.
|
APDU |
- Блок данных протокола прикладного уровня (application protocol data unit); |
|
ACH.1 |
- Абстрактная синтаксическая нотация версии 1 (Abstract Syntax Notation One); |
|
СЕ |
- "Conformite Europeenne" ("Европейское соответствие"); |
|
CDRH |
- Центр Соединенных Штатов Америки, занимающийся приборами и мерами радиационной гигиены (United States Center for Devices and Radiological Health); |
|
COPD |
- Хроническая обструктивная болезнь легких, ХОБЛ (chronic obstructive pulmonary disease); |
|
CPU |
- Центральный процессор (central processing unit); |
|
DIM |
- Информационная модель предметной области (domain information model); |
|
ЭКГ |
- Электрокардиограф (electrocardiograph); |
|
EHR |
- Электронная медицинская карта (electronic health record); |
|
EC |
- Европейский союз (European Union); |
|
EUI-64 |
- Расширенный уникальный идентификатор (64-битовый) [extended unique identifier (64 bits)]; |
|
FDA |
- Управление США по санитарному надзору за качеством пищевых продуктов и медикаментов (U.S. Food and Drug Administration); |
|
HL7 |
- Организация Health Level Seven; |
|
IHE |
- Организация Integrating the Healthcare Enterprise; |
|
ИТ |
- Информационные технологии (information technology); |
|
L2CAP |
- Протокол управления логической связью и уровня адаптации (Logical Link Control and Adaption Layer Protocol); |
|
LAN |
- Локальная вычислительная сеть, ЛВС (local area network); |
|
MCAP |
- Профиль многоканальной адаптации (multichannel adaptation profile); |
|
MDC |
- Коммуникация медицинских приборов (medical device communication); |
|
MDD |
- Европейская директива по медицинским приборам (European Medical Device Directive); |
|
MDER |
- Правила кодирования медицинских приборов (medical device encoding rules); |
|
MDS |
- Система медицинского прибора (Medical Device System); |
|
PAN |
- Персональная вычислительная сеть, ПВС (personal area network); |
|
PDA |
- Персональный цифровой помощник, ПЦП (personal digital assistant); |
|
PERS |
- Персональные датчики экстренного реагирования (personal emergency response sensors); |
|
PHD |
- Персональный медицинский прибор (personal health device); |
|
PHR |
- Персональная медицинская карта (personal health record); |
|
PM |
- Постоянная метрика (persistent metric); |
|
QoS |
- Качество обслуживания (quality of service); |
|
RFID |
- Радиочастотная идентификация (radio frequency identification); |
|
SIDS |
- Синдром внезапной детской смерти, СВДС (sudden infant death syndrome); |
|
TCP/IP |
- Протокол управления передачей/межсетевой протокол (Transmission Control Protocol/Internet Protocol); |
|
WAN |
- Глобальная вычислительная сеть, ГВС (wide area network). |
На сегодняшний день типичный медицинский прибор размещается в больнице, управляется медицинским профессионалом, а результирующие данные используются в диагностических целях и для оптимизации оказания медицинской помощи. Похожие типы устройств имеют значительное распространение в повседневной жизни и предназначены для фитнеса, общего благополучия здоровья и других целей. Все эти устройства производят данные. Возникло общее понимание, что такие данные приносят значительные преимущества, если коммуникации, обмен и повторное использование этих данных выполняются инновационным образом. Например, измерения весов отправляются диетологу. Врач-ординатор может использовать результаты измерения кровяного давления, чтобы дать пациенту медицинский совет. В настоящем стандарте описано несколько примеров, в которых обмен данными осуществляется между лицом, друзьями, родственниками и соседями, фитнес-тренерами, а также медицинскими специалистами для многих разных целей.
На своем пути от устройства-источника до места использования данные могут проходить через несколько других процессов. Их необходимо хранить, преобразовывать, собирать, анализировать и передавать. Как правило, эти процессы распределяются между несколькими местами и устройствами, вероятнее всего имеющими разное происхождение и разных поставщиков. Чтобы успешно соединить такие процессы в единую цепь, все станции между начальной и конечной точками должны гладко взаимодействовать. Это является обширным полем стандартизации, в котором такое взаимодействие "из конца в конец" является необходимым, если новые медицинские услуги и экономические модели окажутся жизненно важными для населения, которое стареет, ведет малоподвижный образ жизни либо имеет ограниченный доступ к местным медицинским специалистам.
Большое число организаций промышленности, выпускающей приборы, поставщиков медицинских услуг, а также оздоровительных организаций и фитнес-центров кооперируются для гармонизации всех базовых подпроцессов. Такая кооперация началась внутри отдельных медицинских организаций. Гармонизация включила в себя много инициатив. Для развития серии стандартов 11073 в ИИЭР была сформирована группа ПМП. Одной из главных целей этой группы является предоставление оптимизированного коммуникационного протокола, приемлемого для реализации ПМП с ограниченными вычислительными ресурсами. Поэтому многие из возможностей, описанных в полной серии стандартов ИИЭР 11073, не используются в стандартах ИИЭР 11073 ПМП. В результате этих усилий теперь доступна значительная часть необходимых стандартов, описанных ниже и в других документах. Эти стандарты теперь необходимо реализовать и применить на практике.
Целевой группой данного обзора среды являются пользователи/пациенты, медицинские специалисты, производители приборов и разработчики программного обеспечения. Данный раздел не содержит глубокого технического обзора. Он описывает общую картину и содержит сведения, позволяющие изучить варианты использования и понять рабочие процессы, вклад ПМП в эти процессы, требования к приборам, а также конструктивные размеры. Чтобы ПМП стало легче использовать, важно обсудить не только технические детали общей архитектуры и разработки системы, но еще и требования к удобству ее использования.
Общий путь данных от ПМП до поставщика услуг здравоохранения или фитнеса в медицинскую карту и обратно к пользователю принимает много различных форм и содержит много промежуточных станций. На первом шаге данные, созданные ПМП, как правило, передаются в вычислительные устройства, которые собирают эти данные для передачи на дальнейшую обработку телемедицинским центрам, медицинским специалистам, фитнес-тренерам и другим поставщикам услуг, друзьям и родственникам. Такой подход реализован во многих вариантах и для многих специализаций.
На рисунке 1 показан вид "сверху" на все узлы этого пути, начиная с места проведения измерений до менеджера результатов измерений и далее до серверов, хранящих и распространяющих данные. Стандарты ИИЭР 11073 ПМП охватывают только самые первые узлы данного пути.
Персональные приборы генерируют данные, которые затем передаются менеджерам результатов измерений (которые могут нуждаться в регистрации Управления США по санитарному надзору за качеством пищевых продуктов и медикаментов (FDA) или Европейского союза (ТС); подробнее см. в 5.5). Приборы соединяются с менеджерами результатов измерений по каналам ближнего действия, как правило, в пределах комнаты или здания. Например, весы передают данные мобильному телефону по интерфейсу персональной вычислительной сети (PAN) с помощью конкретного метода PAN. Датчик открытия окна передает контроллеру информацию о событии с помощью другого конкретного метода PAN. Менеджер результатов измерений может выполнить некоторую обработку данных или же просто передать их без изменений. В некоторых случаях совокупность этих данных формирует персональную медицинскую карту (ПМК) пациента. По пути к месту назначения внутри организации данные ПМК нередко проходят по локальным вычислительным сетям (ЛВС) комнат или зданий.
В других случаях менеджер результатов измерений отправляет данные дальше, и они интегрируются в ПМК, собираемую в другом месте. Оно, как правило, расположено в организации поставщика медицинской помощи или даже в фитнес-центре. На сегодняшний день большинство поставщиков услуг здравоохранения недостаточно оборудованы и поэтому используют сервисы телемедицинских центров. Такие центры предоставляют службы интеграции и собирают, хранят, обрабатывают и анализируют данные, поступающие от пользователей и пациентов. Затем они предоставляют отчеты, предназначенные для помещения в электронные медицинские карты (ЭМК) или ПМК. При этом данные обычно переходят из одной организации в другую. Они проходят большие расстояния по глобальным вычислительным сетям (ГВС), например по сети мобильной телефонии или через Интернет.
В этом полном процессе соединено много разных элементов, поэтому достичь согласия разных групп о том, что и каким образом может быть сделано (в медицинском смысле и по отношению к топологии), трудно. После согласования рабочих процессов можно реализовать потоки данных. На рисунке 1 показана эталонная архитектура сети организаций, предназначенная для целей коммуникаций и обмена данными ПМП и используемая организацией Continue Health Alliance.
Персональные и локальные вычислительные сети, как правило, используют кабельные магистрали, беспроводные персональные вычислительные сети (wPAN), беспроводные сочетания ПВС/ЛВС (wP/LAN), беспроводные сети датчиков (проприетарные или гетерогенные) и другие аналогичные соединения. Стандарты ИИЭР 11073 ПМП описывают передачу данных от прибора менеджеру результатов измерений. При дальнейшем обмене данными ПМП, когда они покидают менеджер результатов измерений, обычно осуществляется их преобразование в форматы сообщений, описанных в стандартах Health Level 7 (HL7) и передаваемых методами, описанными в интеграционных профилях организации (IHE)*(5).

Рисунок 1 - Топология систем ПМП, описанная организацией Continue Health Alliance*(6)
──────────────────────────────
*(5) Издания IHE можно найти в Integrating the Healthcare Enterprise по адресу: http://www.ihe.net.
*(6) Эта схема реализации архитектуры, предложенной в документе Continue Health Alliance Guidelines, взята из презентации Continua Health Alliance 2010 Overview Presentation, см. www.continuaalliance.org.
Данные, собранные устройством, должны достигать пунктов назначения далеко за пределами менеджера результатов измерений, чтобы они стали доступными другим партнерам по коммуникациям во многих разных местах. Поэтому такой вариант коммуникаций, охватывающих более широкую территорию, является обязательным элементом сценариев использования, описанных в данном документе. Стандарты ИИЭР 11073 ПМП в основном предназначены для описания коммуникаций между прибором и менеджером результатов измерений. Для реализации завершенных (полных) систем в дополнение к ним необходимы другие стандарты.
Для создания полного набора стандартов, охватывающего в том числе глобальные коммуникации, в 2006 году была образована организация Continua Health Alliance, основной целью которой являлось электронное предоставление данных персональных приборов, оптимизирующее их использование и повышающее интероперабельность. Совместно с партнерскими организациями была создана общая техническая модель, были выбраны технологии интерфейсов и разработана документация по установке соединений. Эти результаты опубликованы в документе Continua Design Guidelines (Руководство по архитектуре Continua) [В3]. Он ссылается на ряд базовых стандартов, разработанных другими организациями. Это руководство по архитектуре пытается избежать дублирования работ и обеспечивает использование существующих работ по их назначению.
В рамках этой общей архитектуры стандарты ИИЭР 11073 ПМП описывают обмен данными между персональным прибором и менеджером. Для других обменов данными с медицинскими картами используются интеграционные профили IHE.
Наряду с технической реализацией необходимо разрешить многие другие вопросы: все вовлеченные стороны должны обладать всей необходимой информацией, должны быть проложены пути электронных коммуникаций, должны быть учтены возможные отказы приборов и другие отказы, все процессы должны быть четко определены и т.д.
Кроме описания общей картины, данный обзор в основном сосредоточен на вкладе стандартов ИИЭР 11073 ПМП в техническую реализацию обмена данными между ПМП и менеджером результатов измерений.
Многие действия в нашей жизни связаны с личным благополучием и фитнесом. Когда возникают проблемы со здоровьем, люди пытаются перенять здоровый образ жизни или обращаются за медицинской помощью. Некоторые пересматривают свой образ жизни. Они принимают решение быть более активными, взять на себя ответственность за свое собственное здоровье и благополучие, а также сделать вклад в здоровье и благополучие других. Во многих контекстах такую активность можно поддержать с помощью разных способов применения ПМП.
В настоящем разделе предоставлены некоторые примеры, типичные для разных контекстов. В нем также приведены примеры того, как данные прибора передаются в другие места, например друзьям, родственникам или медицинским специалистам. Простоты ради названия стандартов ИИЭР 11073 ПМП будут сокращены. Например, название "ИСО/ИИИЭР 11073-10404 Специализация прибора. Пульсоксиметр" будет сокращено до "10404 пульсоксиметр". В таблице 1 приведены некоторые примеры использования контекстов и групп вариантов использования.
|
Контексты использования/группы вариантов использования |
Примеры используемых датчиков и приборов |
|
Здоровье и фитнес |
10442 оборудование для силового фитнеса, 10407 монитор кровяного давления, 10415 весы |
|
Одинокое проживание (одинокое старение) |
10471 концентратор активности одинокого человека, 10472 монитор лекарственных средств, 10407 монитор кровяного давления, 10415 весы, 10408 термометр, 10417 глюкометр, 10404 пульсоксиметр |
|
Управление лечением |
10471 концентратор активности одинокого человека, 10472 монитор лекарственных средств, 10407 монитор кровяного давления, 10415 весы, 10408 термометр, 10417 глюкометр, 10404 пульсоксиметр |
ПМП используются во многих разных условиях, начиная от использования весов для контроля диеты до сложного круглосуточного контроля за кардиологической реабилитацией. Настоящий обзор начинается с типичных повседневных ситуаций, в которых ПМП используются здоровыми людьми. Затем будут добавлены более сложные ситуации мониторинга, в которых участвуют разные медицинские работники для оказания помощи менее здоровым людям. Многие элементы этих вариантов использования пока еще не реализованы в типичных системах. Деятельность по стандартизации призвана внести вклад в более высокий уровень интеграции, который в будущем обеспечит полный уровень беспрепятственного доступа к услугам.
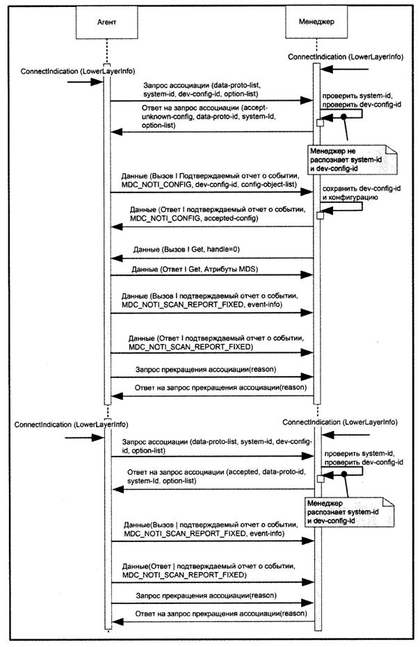
Варианты использования, описанные в 3.4-3.6, следуют общей схеме, показанной на рисунке 2. Один или несколько приборов собирают данные о здоровье пользователя. В левой части рисунка показан агент - программный модуль, который обычно является частью ПМП. На другой стороне показан менеджер - программный модуль устройства менеджера результатов измерений. В мире ИИЭР 11073 такие "агенты" передают свои данные "менеджерам" с помощью локального интерфейса коммуникаций ближнего и среднего радиусов действия. Менеджер передает данные фитнес-тренерам, медицинским специалистам или другим программным службам. Существует общий план полного рабочего процесса. План может задаваться изначально и, возможно, меняться в течение жизненного цикла кооперации и системы. В подразделах 3.4-3.6 описан ряд типичных случаев использования для разных групп пользователей и разных условий.

Рисунок 2 - Общий вариант использования для персонального контроля здоровья
Использование коммуникаций с ПМП позволяет извлечь много выгод, как больших, так и малых, различным вовлеченным сторонам, от улучшенных возможностей персонального мониторинга фитнес-тренировок до систем тревожных сигналов, предназначенных для лиц, страдающих хронической обструктивной болезнью легких (ХОБЛ) или сердечными заболеваниями. Конечно, выгоды получают и медицинские специалисты, которые могут осуществлять мониторинг состояния здоровья в режиме реального времени, интеграцию управления медицинскими приборами, а также оказывать медицинскую помощь пользователям/пациентам, находящимся далеко от них.
3.4.1 Общие положения
В таблице 2 показано несколько простых вариантов использования серии датчиков и приборов, соответствующих стандартам 11073.
|
Предметная область |
Примеры вариантов использования |
Примеры для используемых датчиков и приборов |
|
Безопасный дом |
Защита, безопасность |
10471 концентратор активности одинокого человека, включая датчики окружающей среды (например, обнаружение угарного газа) |
|
Здоровый образ жизни |
Контроль веса, управление диетой, баланс жизнь - работа, профилактика эмоционального истощения. Персональная медицинская карта, онлайновый дневник питания |
10415 весы, 10407 монитор кровяного давления, 10442 оборудование для силового фитнеса, 10405 базовая ЭКГ |
|
Фитнес |
План тренировок, совместное управление тренирующейся группой, виртуальные соревнования |
10415 весы, 10406 базовая ЭКГ, 10407 монитор кровяного давления, 10442 оборудование для силового фитнеса с GPS и дистанционным сбором данных |
|
Спорт |
Оптимизация тренировок |
10415 весы, 10406 базовая ЭКГ, 10407 монитор кровяного давления, 10442 оборудование для силового фитнеса, ЭКГ, эргометр, гребной тренажер |
|
Наследственность, озабоченность здоровьем |
Профилактика |
10407 монитор контроля кровяного давления, 10472 простой дозатор лекарственных средств, контроль холестерина |
|
Беременность |
Фертильность |
10408 термометр, 10472 простой дозатор лекарственных средств, анализ мочи |
|
Стимулирующие программы |
Профилактика |
10415 весы, 10471 концентратор активности одинокого человека, включая датчик окружающей среды, датчик движения, 10404 пульсоксиметр, 10472 простой дозатор лекарственных средств, 10421 пикфлоуметр |
Типичные пользовательские группы состоят из здоровых лиц, использующих различные тренажеры для сохранения здоровья. Они применяют ПМП для сбора данных, сохраняемых на приборе, архивируют их на домашнем персональном компьютере и могут передавать их фитнес-тренеру или персональному тренеру для оценки. Сами пользователи обычно имеют ПМП и используют их. Они следят за состоянием своего здоровья, чтобы минимизировать вред здоровью, вызванный, например, высоким кровяным давлением или повышенным холестерином (с которым они уже сталкивались или знают о возможном риске из семейного анамнеза). Они ищут помощи у профессионалов, чтобы структурировать план тренировки и следовать ему, взаимодействуя с тренирующимися группами. Некоторые современные системы даже используют показания приборов для "виртуальных соревнований", в которых пользователи могут сравнить свои достижения по сети Интернет. Существует много других ситуаций, в которых здоровые лица используют ПМП, например во время беременности или в контексте стимулирующих программ.
В сегодняшних реализациях типичные приборы не могут автоматически соединяться с другими частями системы, расположенными в других местах. Пользователи, как правило, вынуждены активно считывать измеренные значения на дисплее и вводить их в экранные формы интернет-порталов и других типов целевых систем, если они хотят поделиться этими значениями. В будущем системы будут автоматически собирать показания датчиков активности, а также данные о тренировке и ее интенсивности из таких фитнес-приборов, как эргометры, беговые дорожки, гребные тренажеры. Беспроводные приборы, носимые на запястье или на других местах тела, будут интегрироваться в одежду ("умная ткань") для регистрации ритма сердца, высоты, скорости, сожженных калорий и длительности тренировки (например, на бегу).
В этой области существует много вариантов анализа данных, начиная от простой статистики измерений (например, среднее, минимум и максимум), выполненных в течение всего упражнения или во время отдельных стадий тренировки. Измерения кровяного давления, веса тела и другие измерения снимаются до, во время упражнения и после него. Если измерение полностью индивидуализировано, то оно обеспечивает точный способ тестирования и мониторинга интенсивности тренировки и восстановления. Сегодня спортивные врачи рутинно используют тестирование концентрации лактата в крови в качестве точной меры определения оптимальных нагрузок, считая, что она является более точным показателем, чем максимальная частота сердечных сокращений.
3.4.2 Возможные перспективы
Обмен речевыми, видео, текстовыми сообщениями или электронными письмами уже используется для коммуникаций между участниками тренировки во время или после ее выполнения, и его важность в будущем возрастет. Типичное жилое помещение будущего будет оснащено "коробкой", ежедневно или еженедельно собирающей данные со многих устройств и передающей их службе мониторинга, чтобы фитнес-тренер или диетолог могли предоставить обратную связь и вносить поправки в интенсивность тренировок или план питания. Если существует риск серьезных осложнений, данные могут пересылаться лечащему врачу для медицинского контроля.
Когда передача данных, собираемых ПМП, примет более широкие масштабы, то сводки о состоянии здоровья смогут генерироваться автоматически, полуавтоматически, регулярно или по запросу программной службы, предоставляющей эти данные медицинскому специалисту в качестве дополнительной индивидуализированной информации об управлении здоровым образом жизни. Далее, собранные данные могут храниться в базе данных, доступной в сети Интернет, из которой пользователи и их лечащие врачи смогут получать медицинскую информацию. Эти данные позже могут также использоваться в качестве базовых медицинских показателей.
3.4.3 Типы и роли участников
В процесс сбора и интерпретации данных, собираемых ПМП, вовлечены сами люди, ведущие здоровый образ жизни, а также диетологи, фитнес-тренеры, персональные тренеры и медицинские специалисты. Условия измерений варьируются от тренировки, выполняемой на дому, до фитнес-центров и курортов. Люди также могут свободно перемещаться под открытым небом, участвуя в спорте или фитнесе.
3.4.4 Надежность, частота и своевременность измерений
Своевременность не является проблемой для данного случая использования, поскольку измерения проводятся от случая к случаю и утрата или искажение данных не влечет за собой непосредственную угрозу физической безопасности. В зависимости от индивидуального варианта использования проводятся краткосрочные измерения (например, термометр, весы) или длительные (например, датчики окружающей среды или монитор кровяного давления).
3.4.5 Требования к приборам
Приборы должны быть легкими в использовании и достаточно прочными, чтобы их можно было применять в повседневной практике; поэтому удобство использования программного обеспечения и аппаратных средств этих приборов имеет существенное значение. Подробную информацию о человеческих факторах см. в 5.3.3. Во многих случаях в повседневной деятельности будут использоваться мобильные приборы.
3.4.6 Преимущества
Независимо от технологий, лежащих в основе ПМП, личный контроль здоровья имеет широкую область применения. Для данной группы пользователей к преимуществам применения ПМП можно отнести персональное управление фитнесом, документирование, анализ самочувствия и планирование образа жизни.
3.4.7 Примеры
Можно привести следующие типичные варианты использования ПМП в предметной области личного контроля здоровья и фитнеса:
- для ведения персональной медицинской карты Пол (гипотетическая личность) начинает вести автоматический мониторинг своего веса, кровяного давления и показателей холестерина во время выполнения ежедневных тренировок;
- заботливая семья устанавливает дома датчики окружающей среды и использования, чтобы их малолетние дети не принесли себе вреда.
В таблице 3 показаны варианты использования, а также примеры используемых датчиков и приборов.
|
Предметная область |
Примеры случаев использования |
Примеры используемых датчиков и приборов |
|
Энтузиасты, заботливые семьи |
Профилактика |
10471 концентратор активности одинокого человека, 10472 простой дозатор лекарственных средств, 10407 монитор кровяного давления, 10415 весы, 10408 термометр |
|
Врожденные дефекты, несчастные случаи |
Облегчение повседневной жизни, мониторинг |
10471 концентратор активности одинокого человека, 10472 простой дозатор лекарственных средств, 10407 монитор кровяного давления, 10415 весы, 10408 термометр, 10404 пульсоксиметр, 10406 базовая ЭКГ |
|
Уход за престарелыми |
Предотвращение несчастных случаев, мониторинг, облегчение повседневной жизни |
10471 концентратор активности одинокого человека, 10472 простой дозатор лекарственных средств, 10407 монитор кровяного давления, 10415 весы, 10408 термометр, 10417 глюкометр, 10404 пульсоксиметр, 10406 базовая ЭКГ |
|
Реабилитация |
Восстановление способностей, силовые упражнения и фитнес, мониторинг, ускорение процесса восстановления |
10471 концентратор активности одинокого человека, 10472 простой дозатор лекарственных средств, 10407 монитор кровяного давления, 10415 весы, 10408 термометр, 10417 глюкометр, 10404 пульсоксиметр, 10406 базовая ЭКГ |
Термины "одинокое проживание" и "одинокое старение" используются, например, организацией Continua Alliance*(7) для именования этих тем, в то время как в Европейском союзе программа "Ambient Assisted Living Joint Programme" (программа проживания с внешним уходом)*(8) приняла термин "проживание с внешним уходом". В этом подразделе обсуждаются все аспекты одинокого проживания и старения.
──────────────────────────────
*(7) Данный документ доступен по адресу: http://www.continuaalliance.org/connected-health-vision/agingindependentl y.html.
*(8) Дополнительную информацию см. по адресу: http://www.aal-europe.eu/.
Технически заинтересованные "энтузиасты", как и современные заботливые семьи, являются лишь немногими из целевых групп одинокого проживания. Другие члены данной группы в основном здоровы, но, к примеру, могут страдать от врожденных дефектов или длительных последствий несчастного случая. Ежедневное (или постоянное) использование ПМП может значительно повысить качество жизни этих пользователей.
Применение ПМП при одиноком проживании сможет обеспечить потребности стареющего населения с меньшими затратами. При одиноком старении оно сможет увеличить продолжительность жизни отдельно живущих пожилых людей за счет повышения их независимости, помогая выполнять ежедневную деятельность с помощью интеллектуальных средств, позволяющих получать дистанционные услуги, включая уход. В домах будущего будет больше интеллектуальных взаимодействующих приборов, датчиков или систем мониторинга, наблюдающих, например, за функционированием домашней электроники, активностью обогревателей или за открыванием дверей, чтобы повысить качество жизни.
Одиноко проживающие пользователи живут дома и являются мобильными. Тем не менее они могут нуждаться в некотором управлении их повседневной жизнью, а также в возможной адаптации к их среде обитания. Такую помощь могут предоставить родственники, соседи, медицинские специалисты и сопутствующий персонал, например физиотерапевты, контролирующие реабилитацию. Целевая группа включает пользователей в инвалидных колясках, слабовидящих пользователей, нуждающихся в дополнительной обратной аудиосвязи, а также людей со слуховыми устройствами или сложными протезами рук и запястий.
Как показано в следующих примерах, для домашнего использования необходимы различные датчики и приборы: к примеру, напоминания могут помочь самим пользователям в приеме лекарств. В случае неожиданных и потенциально опасных изменений в поведении данного пользователя или состоянии его здоровья напоминания могут направляться другим людям, например родственникам и неподалеку находящимся медицинским работникам. Закрепленные на теле датчики падения могут предупредить систему мониторинга о том, что могло произойти падение. Чтобы повысить безопасность на дому, пользователи звонят другим с просьбой о помощи, используя персональные датчики экстренного реагирования (personal emergency response sensors, PERS). Такие датчики обычно имеют форму кнопки, которую пользователь нажимает, чтобы уведомить о наличии некоторой экстренной ситуации ("тревожная кнопка" на наручных часах). Многие недавние разработки рассчитаны на эту целевую группу, и соответствующие приборы постепенно выходят на рынок.
3.5.1 Типы и роли участников
Действующими лицами в этом варианте использования являются друзья и родственники, терапевты, а также медицинские специалисты. Возможные условия охватывают широкий диапазон - от дома пользователя до реабилитационного центра, а также полностью мобильную среду.
3.5.2 Надежность, частота и своевременность измерений
Своевременность варьируется от нерегулярных измерений, например веса, до получения сигналов в режиме реального времени, например от датчика падения и устройств PERS. Как правило, потеря или искажение данных не представляют непосредственную угрозу физической безопасности, за исключением тех случаев, когда прибор является единственным средством вызова помощи в экстренной ситуации. Следует идентифицировать такие угрозы и принимать меры для их снижения.
3.5.3 Преимущества
Применение ПМП при одиноком проживании с внешним уходом начинается с поддерживающих технологий с помощью датчиков и систем мониторинга, используемых современными семьями, и продолжается поддержкой престарелых или инвалидов в их домах. Персональные медицинские приборы повышают качество жизни и поддерживают людей в их повседневной жизни.
3.5.4 Примеры
Можно привести следующие примеры одинокого проживания с внешним уходом:
- заботливая семья устанавливает датчики окружающей среды, датчики падения и PERS в дом своих родителей, чтобы в экстренной ситуации родственники и медицинские специалисты были быстро проинформированы;
- после серьезного хирургического вмешательства Пол (гипотетическая личность) получил возможность рано выписаться из больницы, но ему необходимо регулярно предоставлять врачам показатели его кровяного давления и насыщения крови кислородом, чтобы они могли контролировать процесс его реабилитации.
3.5.5 Забота о престарелых/перспективы
Для одиноко проживающих престарелых людей датчики, осуществляющие мониторинг медицинских аспектов их жизни, могут быть совмещены с другими датчиками, установленными в автоматизированной домашней среде. Пока что медицинские приборы и устройства автоматизации дома сосуществуют без взаимодействия. Дома будущего будут оснащены устройствами, собирающими и интерпретирующими данные из всех доступных источников, передающими и распространяющими данные, например, с помощью домашних сетей, а также облегчающими обмен подобной информацией с врачами и родственниками по сети Интернет. Для обеспечения обмена данными между этими разными системами потребуется общий набор стандартов. В настоящее время осуществляются разработки телевизоров будущего, которые смогут служить средством активного взаимодействия пользователя с системой, доступа к данным и коммуникаций с другими службами, например со службой социального обеспечения или со смотрителями домов престарелых.
К примеру, могут использоваться датчики, установленные на кровати. Если престарелое лицо покидает свою кровать посреди ночи и не возвращается к ней более чем за данный промежуток времени, то родственникам или социальному работнику может быть отправлен сигнал тревоги, чтобы они попытались связаться с ним. Подобные сценарии уже демонстрировались в исследовательских работах. На рынок постепенно выходят электронные контейнеры для таблеток или дозаторы лекарств. Они могут использоваться в системах, напоминающих пользователям о приеме лекарств с нужной периодичностью, активно заставлять пользователей принимать лекарства и посылать уведомления медицинским работникам, если лекарства не были приняты вовремя. В будущем беспроводная манжета для измерения кровяного давления может быть настроена на напоминание пользователям о необходимости очередного измерения кровяного давления. Результаты измерений могут передаваться родственникам с помощью коротких текстовых сообщений (SMS), отправляемых на телефоны. Родственники смогут узнать, правильно ли функционирует удаленная система мониторинга, какие события имели место (например, пациент встал с постели, принял лекарства и измерил кровяное давление). Когда такие системы получат широкое распространение, они помогут обеспечить благополучие пользователей. Полноэкранный видео-чат с родственниками или медицинскими специалистами в конечном счете станет привычной частью повседневной деятельности.
3.5.5.1 Типы и роли участников
Действующими лицами в этом варианте использования являются медицинские специалисты, социальные работники, а также родственники. Типичными условиями использования является дом наблюдаемого лица, но они могут быть расширены до мобильной среды.
3.5.5.2 Надежность, частота и своевременность измерений
Как и в случае одинокого проживания, своевременность варьируется от нерегулярных измерений, например веса, до получения сигналов в режиме реального времени, например от датчика падения. При отказах приборов, потере или искажении данных возникают значительные угрозы. Их надо надлежащим образом учитывать.
3.5.6 Реабилитация
Этот сценарий применим к пользователям, применяющим ПМП для обеспечения и мониторинга прогресса в реабилитации после ранения или хирургического вмешательства. Сначала измерения проводятся в медицинской организации. Затем пользователь или пациент выписывается из больницы и выполняет программу реабилитации в качестве амбулаторного пациента. Реабилитация требует регулярного выполнения домашних упражнений. Пациенты получают первичное обучение выполнению упражнений, а затем продолжают их выполнение самостоятельно на дому. В настоящее время такие пациенты должны регулярно посещать медицинские организации для повторных измерений, анализа текущего состояния и адаптации программ упражнений. В будущем можно будет проводить измерения на дому, чтобы пациент получал обратную связь о достигнутом прогрессе и тем самым ускорял реабилитацию. Для этого пользователи будут получать дополнительное обучение, например у физиотерапевта, как нужно выполнять упражнения, как правильно размещать датчики, как использовать и обслуживать прибор, включая его чистку, зарядку, замену батареи или смену электродов. Системы подобного типа уже демонстрировались в исследовательских целях. В настоящее время для таких систем разрабатываются приборы и датчики, обеспечивающие измерение силы, угла конечностей и других типов движений.
3.5.7 Типы и роли участников
Терапевты и медицинские специалисты играют важные роли в этом варианте использования, который, как правило, реализуется больницами или реабилитационными центрами. Расширенная терапия осуществляется на дому у пользователя или в полностью мобильной среде.
3.5.7.1 Надежность, частота и своевременность измерений
Для сбора жизненно важных показателей может требоваться возможность соединения в режиме реального времени. А для получения общей информации о процессе реабилитации используются регулярные измерения.
В таблице 4 представлены варианты использования и примеры используемых датчиков и приборов.
В данном сценарии участвует группа пользователей, которые, например, имеют избыточный вес или повышенное кровяное давление и поэтому подвержены повышенному риску значительных угроз здоровью, даже если они еще не испытывают каких-либо проблем со здоровьем. Для профилактики долгосрочного ущерба и развития хронических заболеваний рекомендуется следовать четко определенному плану диспансерного наблюдения. Такая профилактика заболеваний потенциально повышает качество жизни в долгосрочной перспективе и помогает избежать излишних расходов, которые могут возникнуть на более поздних стадиях медицинской помощи.
К группе больных пользователей относятся люди, страдающие хроническими нарушениями здоровья, например имеющие кардиологические проблемы, диабет или почечную недостаточность. Такие пользователи нуждаются в лечении, предоставляемом медицинскими специалистами или социальными работниками, но живут дома. Базовый вариант использования включает применение простых приборов, например тонометров, глюкометров и пульсоксиметров, которые время от времени передают данные.
|
Предметная область |
Пример варианта использования |
Примеры используемых датчиков и приборов |
|
Контроль избыточного веса |
Контроль веса, планирование диеты и фитнеса |
10415 весы, 10442 оборудование для силового фитнеса, 10472 простой дозатор лекарственных средств, персональная медицинская карта, онлайновый дневник питания, контроль холестерина |
|
Гипертензия |
Управление уровнем стресса, управление кровяным давлением |
10472 простой дозатор лекарственных средств, 10407 монитор кровяного давления, 10415 весы, 10442 оборудование для силового фитнеса |
|
(Ювенильный) диабет |
Диспансерное наблюдение |
10417 глюкометр, 10407 монитор кровяного давления, 10415 весы |
|
Уход за отдельным пациентом/центры ухода |
Одинокое проживание, программы проживания с внешним уходом |
10471 концентратор активности одинокого человека, 10472 простой дозатор лекарственных средств, 10407 монитор кровяного давления, 10415 весы, 10408 термометр, 10404 пульсоксиметр, 10442 оборудование для силового фитнеса, 10406 базовая ЭКГ |
|
Отдельный кардиологический пациент |
Удаленный мониторинг кардиологических событий, инструктаж по образу жизни |
10471 концентратор активности одинокого человека, 10472 простой дозатор лекарственных средств, 10407 монитор кровяного давления, 10415 весы, 10408 термометр, 10404 пульсоксиметр, 10442 оборудование для силового фитнеса, 10406 базовая ЭКГ, холтеровский монитор |
|
Хроническая астма, ХОБЛ |
10404 пульсоксиметр, 10407 монитор кровяного давления, 10421 пикфлоуметр, спирометр |
Подобное взаимодействие этих пользователей с медицинскими и социальными работниками позволяет снизить потребности в визитах для личного контакта, сконцентрировать внимание медицинских и социальных работников на тех лицах, которые более других нуждаются в помощи, исключить необязательные перемещения до мест оказания помощи. Другим преимуществом является возможность повысить уровень мониторинга между визитами. Все это также помогает получить более точный набор результатов измерений, характеризующих истинный уровень здоровья пациента на протяжении времени. В некоторых ситуациях особенно важным является получение данных в привычной среде проживания, например, чтобы избежать "синдрома белого халата" в случае гипертензии (у пациентов повышается кровяное давление в клинической обстановке, вызывающей тревожное состояние).
3.6.1 Контроль избыточного веса
Было показано, что персональный контакт и социальные взаимодействия оказывают значительное влияние на индивидуальное поведение в программах контроля веса. Передача данных, например индивидуального веса, является существенной для предоставления персональной обратной связи участвующим пользователям. Подобное лечение проводится в санаториях, на курортах или в медицинских организациях. В настоящее время измерения должны считываться с прибора вручную и вводиться в целевую систему. В будущих процессах контроля избыточного веса могут использоваться электронные весы, соединенные с вычислительной сетью, обеспечивающие измерение веса/массы и автоматический сбор других параметров, например процентное содержание жира и индекс массы тела. В некоторых условиях, например в санаториях, будут доступны данные о питании. В настоящее время доступны приложения, позволяющие пользователям вести ежедневный дневник питания. Будущие системы будут передавать эти данные на ПК или в систему сбора результатов измерений, откуда они будут оцениваться диетологом, тренером или другим экспертом.
Затем такая информация может использоваться для воздействия на ежедневный план питания пользователя/пациента, длительность тренировки и выбор упражнений. Для стандартных проверок состояния либо в случаях, если желаемые результаты (снижение веса до заданного уровня) не были вовремя достигнуты, могут осуществляться периодические визиты к врачу. Перед такими визитами врачу может направляться сводка собранной информации, включая ежедневные взвешивания. Демонстрации подобных систем уже проводились.
3.6.1.1 Типы и роли участников
В дополнение к пользователю/пациенту в процессе участвуют диетологи, тренеры, медицинские специалисты и физиотерапевты. Этот вариант использования может осуществляться как у пользователя на дому, так и в реабилитационном центре, в санатории или в других организациях здравоохранения.
3.6.1.2 Надежность, частота и своевременность измерений
Что касается своевременности, то показания считываются только время от времени. Потери результатов измерений не влекут за собой никаких непосредственных угроз.
3.6.2 Гипертензия (кардиологический пациент или руководитель, подверженный стрессу)
Пользователи данной группы испытывают симптомы гипертензии (гипертонии) на умеренном, не болезненном уровне. Типичными примерами служат люди, работающие в условиях давления, которые не находят время для регулярных визитов к врачу. Мониторинг состояния здоровья таких людей с целью предотвращения нанесения вреда здоровью или осложнений мог бы оказать им значительную пользу. Другие лица, уже испытавшие серьезное кардиологическое событие, нуждаются в дальнейшем низкоуровневом мониторинге, осуществляемом под определенным контролем со стороны медицинских специалистов, чтобы они снова смогли вести нормальный образ жизни и извлечь для себя ощутимые преимущества при незначительных затратах времени, усилий и денег.
3.6.2.1 Возможные перспективы
Таким образом, пользователи, страдающие гипертензией, могут быть оснащены измерительными приборами длительного пользования (кровяное давление, частота сердечных сокращений или ЭКГ). Данные могут передаваться другой системе для дальнейшей оценки лечащим врачом. Такой врач поможет планировать и контролировать изменение образа жизни, начиная от адаптированной диеты и плана упражнений до фаз отдыха и восстановления.
Доступ к данным, собранным со всех медицинских приборов, осуществляется дистанционно. Статус системы может контролироваться на расстоянии. В этом варианте использования, вероятно, потребуются сертифицированные медицинские приборы. В будущем вполне могут появиться расширенные онлайновые сервисы, например суточный мониторинг ЭКГ. Онлайновая потоковая передача данных усложняет приборы и требует высококачественных методов передачи данных, а также качественного технического обслуживания. Поэтому реализация такой технологии может затянуться. Похожие идеи были реализованы на практике с хорошими результатами. Более широкое применение остается долгосрочной целью, потенциал которой возрастает.
3.6.2.2 Типы и роли участников
Основными участниками данного варианта использования являются пациенты, использующие ПМП, а также лечащие врачи и медицинские специалисты. Этот сценарий не имеет региональных ограничений.
3.6.2.3 Надежность, частота и своевременность измерений
Измерения проводятся с регулярными интервалами на протяжении длительных промежутков времени, используются местное и онлайновое хранение, отслеживание и анализ трендов, а также визуализация. Показания снимаются только время от времени.
3.6.3 Ювенильный диабет
Пользователи, страдающие ювенильным диабетом, используют глюкометры и сотовые телефоны или персональный компьютер (менеджер результатов измерений) для контроля содержания сахара в крови. В течение дня менеджер результатов измерений регулярно напоминает пользователю о необходимости измерить содержание сахара в крови, а глюкометр после каждого измерения беспрепятственно передает измерения на сотовый телефон, который в свою очередь пересылает данные службе мониторинга диабета, которая ведет долговременную историю болезни пользователя и анализирует тренд. Если результат измерения показался необычным или пользователь не выполнил измерение в срок, то система автоматически соединяется с ответственным лицом (родителем), который немедленно вызывает пользователя по мобильному телефону. Дополнительную информацию о контроле диабета можно найти в 3.6.5.
В то время как классическое ведение диабета рассчитано на взрослых, ведение ювенального диабета также включает в себя мотивационные аспекты и воспитание личной осведомленности среди молодых людей. Поэтому приложения для сотовых телефонов и ПМП должны обладать улучшенным удобством использования и с ними должно быть приятно работать.
3.6.3.1 Возможные перспективы
Данный сценарий может распространить оказание медицинской помощи ювенальным диабетикам на домашние условия, а также улучшить программы ведения диабета. Далее, в будущем, такая технология позволит осуществлять мониторинг течения заболевания, включая, в частности, непрерывную оценку содержания глюкозы в крови, физической активности, принимаемых лекарств, питания и периферической перфузии. На основе этой оценки может быть осуществлена своевременная запись к врачу, а данные могут использоваться для анализа динамики лечения. В настоящее время уже существуют программы, реализующие элементы таких сценариев.
3.6.3.2 Типы и роли участников
Основными участниками данного варианта использования являются пользователи/пациенты и их лечащие врачи. Данный сценарий является полностью мобильным и не имеет региональных ограничений.
3.6.3.3 Надежность, частота и своевременность измерений
Показания приборов снимаются периодически, а для тревожных сигналов может понадобиться соединение в режиме реального времени.
3.6.4 Различие между индивидуальным ведением пациента и центрами ухода за многими пациентами: управление идентификацией и сертифицированные приборы
Существует несколько базовых различий между ситуациями, когда пользователь использует индивидуальный прибор, а группа пользователей использует один общий прибор. Эти различия варьируются от аспектов удобства использования до юридических, финансовых и других вопросов. Настоящий отчет не дает глубокого описания различий. В нем выделены некоторые из них, чтобы читатель смог ориентироваться в проблеме.
Единоличные пользователи ПМП часто владеют этими приборами. В других сценариях специалист предоставляет приборы группе пользователей, например в доме престарелых, как часть услуги, включающей в себя также техническое обслуживание и функционирование. Это предъявляет свои требования к удобству использования, прочности, функциональности и цене прибора. Поэтому стандарты ИИЭР 11073 ПМП поддерживают следующие два режима, которые могут использоваться одновременно:
- в первом режиме пользователь может подключиться к существующим менеджерам в домашней/мобильной среде и измерения осуществляются примерно одинаково для каждого ПМП. Каждый пользователь обычно использует один прибор для измерения, а другой - в качестве менеджера результатов измерений;
- во втором режиме измерительный прибор будет обладать конфигурацией с функциональностью хранилища данных. Такая конфигурация обычно используется в медицинском кабинете/клинической среде в целях регулярного использования для посетителей. Менеджер результатов измерений может затем скачать собранные данные и очистить хранилище для подготовки к следующему визиту.
По желанию агента прибор может поддерживать оба режима использования, имея две конфигурации, позволяющие: 1) пользователю осуществлять мониторинг своей ежедневной активности и 2) дистанционно удаленной системе выполнять мониторинг по заданному пользователем расписанию.
Индивидуальные пользователи обычно имеют стабильный набор используемых приборов. Связь между пользователем и прибором по принципу "один к одному" позволяет автоматически добавлять идентификацию пациента в данные, которые поступают от уникально идентифицируемого прибора, например показания кровяного давления: если пользователь получил монитор кровяного давления с серийным номером, то любые данные, в которых передается уникальный серийный номер прибора, можно с уверенностью считать снятыми с этого пользователя/пациента. Могут потребоваться дополнительные меры предосторожности, например явно проинструктировать пользователя: не разрешать никому использовать его прибор или не давать прибору запрашивать дополнительную идентификационную информацию, к примеру персональный идентификационный кодовый номер. Можно также предполагать, что никто не имеет несанкционированного доступа к прибору и тем самым данные, хранящиеся в нем, в какой-то мере защищены от несанкционированного доступа.
В средах с несколькими пользователями/пациентами, например в семьях, коммунальных квартирах, домах престарелых или больницах один прибор обычно используется для измерения показателей нескольких лиц (весы, термометры, тонометры и т.п.). Если эти приборы подключены к вычислительной сети, становятся необходимыми безопасные и эффективные методы идентификации пользователей/пациентов. Стандарты ИИЭР 11073 ПМП позволяют осуществлять передачу идентификационных данных пациента. Однако в настоящее время существует много специализированных стандартов и технологий, используемых для обеспечения надежной идентификации пользователей/пациентов и приборов: интеллектуальные карточки, браслеты, штрих-коды, радиочастотные метки (RFID), этикетки и другие технологии. В типичной сегодняшней реализации автоматическая интеграция данных, поступающих с приборов, отсутствует. Будущие системы будут интегрировать данные, поступающие с приборов, и технологии идентификации с целью обеспечить хранение каждого элемента данных с надлежащей идентификацией пользователя. Это будет особенно необходимо в многопользовательских средах, где один прибор готов к использованию несколькими пользователями.
Как в однопользовательской, так и в многопользовательской среде нередко используются беспроводные соединения. В будущем они будут использоваться и для передачи данных, собираемых приборами. Поэтому во всех подобных приложениях следует учитывать возможность перехвата информации.
В центрах ухода за многими пациентами обычно требуются более выносливые и качественные приборы, поскольку каждый такой прибор имеет более высокий коэффициент использования или "онлайновое" время. Технологии передачи данных ПМП, используемого единолично, и ПМП, используемого в организации для групп пациентов, имеют определенные различия. В больницах возможности передачи данных, как правило, четко определены и стабильны, поэтому технология передачи данных прибора останется неизменной в течение длительного времени.
Организационные вопросы также накладывают требования к архитектуре систем и прибора. В условиях медицинской организации персонал обычно доступен в любое время. С точки зрения риска существует значительная разница между тем, когда профессиональная и обученная помощь доступна оперативно и на месте, и тем, когда специалистам необходимо быстро добираться до пользователя/пациента (в экстренных случаях), используя, например, машину скорой помощи или даже вертолет. Конечно, это также влечет за собой много других отличий в процессах, а также юридических и финансовых последствий.
3.6.5 Ведение диабета
Пользователи/пациенты, больные диабетом, могут быть оснащены автоматическими глюкометрами, позволяющими измерять содержание глюкозы в крови, и дозаторами лекарственных средств, предоставляющими лекарственные средства. Регистрируются также приемы пищи и физическая активность. Собранные данные обычно оцениваются пользователем/пациентом, а затем медицинскими специалистами. Какие данные регистрируются и каков интервал между измерениями, определяется для каждого пользователя индивидуально. В системах, подсоединенных к вычислительной сети, полезны механизмы предупреждений, информирующие пользователя и медицинского специалиста о текущем состоянии здоровья пользователя и инициирующие вспомогательные действия.
Пациенты, страдающие диабетом, контролируют содержание глюкозы в крови посредством подкожных датчиков, снимающих показания каждые 15 минут. Пользователи совершенно мобильны, ходят на работу, по магазинам и занимаются физическими упражнениями (например, бегом трусцой в местном парке) по режиму, рекомендованному лечащим врачом. Если глюкометр способен передавать данные, то информация может отправляться, например, с помощью беспроводного канала другим поставщикам услуг. С помощью шлюза данные перенаправляются на центральную станцию мониторинга, развернутую в местной больнице. Системы данного типа уже демонстрировались, центры телемониторинга работают в ряде сообществ по всему миру, имеют миллионы пользователей и выполняют тысячи телеметрических сеансов в месяц.
В этих условиях пользователи могут получать доступ к собственным данным с центрального сервера, чтобы, к примеру, планировать прием пищи и соответствующий ему прием лекарств. Регулярные оповещения отправляются для напоминания пользователям о необходимости инсулиновых инъекций.
Диабет часто имеет осложнения, которые необходимо учитывать в планах ведения. В таблице 5 показан пример ряда действий, которые могут стать необходимыми одному пациенту в течение длительного периода времени.
3.6.5.1 Возможные перспективы
Ожидается, что подобные системы станут более распространенными в ближайшем будущем. Дистанционные консультации будут доступны по телефону, электронной почте, видеоконференцсвязи и могут также включать систему предупреждений, направляемых как пользователю/пациенту, так и его врачу. В длительной перспективе команды управления будут по расписанию передаваться в имплантированную инсулиновую помпу для оптимизации дозировки на основе текущего измерения содержания глюкозы в крови. Программное обеспечение шлюза или системы центрального мониторинга может отображать информацию о том, что содержание глюкозы в крови вышло за пределы заданного интервала. Это позволит медицинским работникам, дежурящим у центральной системы мониторинга, инициировать контакт с пользователем/пациентом либо вызвать для него скорую или неотложную помощь.
|
Возраст, событие |
Описание |
Примеры используемых датчиков и приборов |
|
Риск диабета | ||
|
45, диабет типа II |
Рекомендации по образу жизни, разумная индивидуальная обратная связь |
10417 глюкометр |
|
55, гипертензия |
Оценка риска осложнений, интеллектуальный анализ данных |
10407 монитор кровяного давления |
|
65, стенокардия |
10406 базовая ЭКГ (1-3 отведения) | |
|
67, хроническая сердечная недостаточность |
10407 монитор кровяного давления, 10415 весы | |
|
70, деменция |
10471 концентратор активности одинокого человека, 10472 простой дозатор лекарственных средств | |
|
72, инсулиновая зависимость |
10417 глюкометр, используемый непрерывно | |
|
74, порок сердца |
10418 монитор международного нормализованного отношения (свертывание крови) | |
|
76, недержание |
Монитор недержания | |
|
78, падения |
10471 концентратор активности одинокого человека, предупреждения о падении |
3.6.5.2 Типы и роли участников
Основными действующими лицами в этом варианте использования являются пользователи/пациенты и их врачи. Данный сценарий является совершенно мобильным и не имеет региональных ограничений.
3.6.5.3 Надежность, частота и своевременность измерений
Важные показания приборов снимаются периодически, и могут требоваться соединения в режиме реального времени для тревожных сигналов, инициируемых разными компонентами взаимосвязанной системы.
3.6.6 Хроническая астма, ХОБЛ
Пользователи, страдающие хронической астмой, используют пикфлоуметр, пульсоксиметр и тонометр для ежедневного контроля своего состояния. Аналогично пользователи с ХОБЛ используют пикфлоуметры. В настоящее время эти приборы доступны на рынке.
3.6.6.1 Возможные перспективы
Когда станут доступны приборы следующего поколения со стандартизированными интерфейсами, измеренные ими показатели смогут автоматически передаваться в домашнюю персональную электронную медицинскую карту и переправляться в сервисный центр медицинского телемониторинга, помогающий отслеживать состояние здоровья. Медицинские специалисты в сервисных центрах смогут контролировать динамику изменения поступающих данных. Пользователь/пациент и его лечащий врач смогут получать автоматические оповещения. Медицинские специалисты смогут связываться с пользователем/пациентом для обсуждения их симптомов, рекомендовать изменение образа жизни или записать на прием для дополнительной диагностики.
3.6.6.2 Типы и роли участников
Как и в случае ведения диабета, основными участниками данного варианта использования являются пользователи/пациенты и их лечащие врачи. Сценарий является полностью мобильным и не имеет региональных ограничений.
3.6.6.3 Надежность, частота и своевременность измерений
Показания приборов снимаются периодически, и могут требоваться соединения в режиме реального времени для тревожных сигналов, инициируемых разными компонентами взаимосвязанной системы.
3.6.7 Индивидуальный мобильный мониторинг состояния здоровья кардиологического пациента
Для непрерывного мониторинга электрической активности человеческого сердца в течение не менее 24 часов используется специализированный амбулаторный кардиограф (например, холтеровский монитор, который в настоящее время не представлен в стандартах ИИЭР 11073 ПМП). Его расширенный период регистрации сигналов бывает полезен для выявления нерегулярных нарушений сердечного ритма, которые сложно идентифицировать в более короткие интервалы времени. В случае пользователей/пациентов с более преходящими симптомами регистратор кардиологических событий собирает данные в течение более одного месяца.
Холтеровский монитор записывает электрические сигналы сердца, снимаемые с электродов, прикрепленных к телу, на протяжении всего периода записи. Мониторы, соединенные с вычислительной сетью, могут передавать данные в конце сеанса записи или в режиме реального времени. Некоторые современные приборы имеют интерфейсы такого типа, большинство из которых не стандартизировано. Будущие приложения регистрации сигналов, реализующие стандартизованную передачу данных мониторинга из конца в конец, облегчат предоставление этих данных медицинским работникам, поставщикам, что позволит повысить качество оказания медицинской помощи.
Для регистрации редких событий, когда пользователь/пациент, к примеру, испытывает острую грудную боль и хочет обратиться к медицинскому специалисту за помощью, используются небольшие мобильные устройства, записывающие несколько минут ЭКГ после момента возникновения боли. Это помогает избежать ситуаций, в которых пользователь/пациент обращается за помощью спустя длительное время после острого события, и кардиолог не имеет никаких объективных сведений об аномальной ситуации.
3.6.8 Монитор апноэ (или домашний монитор синдрома внезапной детской смерти [СВДС] с функцией телекоммуникации)
Область применения мониторов апноэ варьируется от пользователей с аспирационной пневмонией или блокадой верхних дыхательных путей до пациентов, страдающих хроническими болезнями легких, например астмой. Известны также попытки предотвращения СВДС. Далее, опасные последствия временной остановки дыхания во время сна могут отслеживаться с помощью длительного или краткосрочного мониторинга сна, совместно с использованием ремня, генерирующего тревожные сигналы или похожие события, чтобы разбудить пользователя или заставить его сменить свое положение во время сна.
Современные мониторы апноэ используются в больницах и на дому и остаются активными на протяжении всего времени или только в определенные интервалы. Типичная продолжительность работы варьируется от 24 часов до 2 или 3 месяцев.
Система мониторинга апноэ обычно собирает данные от нескольких приборов для объединенного просмотра, например от кардиомониторов, респираторных мониторов и пульсоксиметров.
3.6.8.1 Типы и роли участников
Поскольку основными участниками этого сценария являются родители и медицинские специалисты, то он осуществляется на дому или в больнице.
3.6.8.2 Надежность, частота и своевременность измерений
Соединение в режиме реального времени является необходимым для отправки тревожных сигналов.
3.6.9 Преимущества
Коммуникации ПМП предоставляют значительные преимущества при ведении пациентов с неизлечимыми заболеваниями, поскольку позволяют обеспечить им существенную поддержку в их повседневной нормальной жизни. Соединения датчиков и дозаторов в реальном времени помогают упростить ежедневные медицинские процедуры, а при возникновении экстренной ситуации осуществляется немедленный контакт с медицинскими специалистами.
Даже если для ведения пациентов с определенными заболеваниями уже используются различные медицинские приборы, то для повышения качества медицинской помощи необходимо соединять эти приборы и стандартизовать их интерфейсы. Решение этой задачи может быть связано с определенными техническими трудностями, но предоставляет заметные преимущества медицинским специалистам, пользователям/пациентам и техническому персоналу.
3.6.10 Пример
В возрасте 45 лет Полу (гипотетическая личность) был поставлен диагноз диабета типа II. В дополнение к медицинской консультации по правильному образу жизни и персонализированной обратной связи Пол начал измерять содержание глюкозы в своей крови. Через несколько лет у Пола обнаружилась гипертензия; поэтому понадобился постоянный мониторинг его кровяного давления. В возрасте 70 лет Пол стал страдать от деменции, поэтому для поддержки его жизнедеятельности в его жилище были установлены датчики окружающей среды и дозатор лекарственных средств.
3.7.1 Общие положения
В данном подразделе перечислены примеры типов ПМП. Некоторые из них стандартизированы в соответствии со стандартами ИИЭР 11073 ПМП, другие, как это отмечается, нет.
3.7.2 Оборудование для силового фитнеса
Агенты силы и фитнеса измеряют пределы, до которых пользователь может выполнять определенное движение при заданном сопротивлении. Агенты этой категории довольно разнообразны, варьируясь от тренажеров для одной части тела, например жим ногами, до многофункциональных агентов, которые используются при выполнении разнообразных упражнений. Хотя формы таких агентов разнообразны, измерения, которые они выполняют, в основном одинаковы. Агенты данной категории функционируют в режиме промежуточного хранения с последующей передачей данных. Измерения заканчиваются, когда заканчивается время выполнения упражнения. Затем агент передает все измерения менеджеру результатов измерений. Период времени измерения упражнений называется подходом. Подробности см. в IEEE Std 11073-10442ТМ-2008 [В33].
3.7.3 Монитор сердечно-сосудистого фитнеса и физической активности
Агенты мониторинга сердечно-сосудистого фитнеса и физической активности измеряют физическую активность лица и регистрируют физиологическую реакцию на эту активность. К таким агентам относятся беговые дорожки, велотренажеры, мониторы частоты сердечных сокращений, велокомпьютеры, педометры и мониторы общей активности/образа жизни. Хотя формы таких агентов значительно отличаются друг от друга, выполняемые ими измерения имеют много общего и нередко перекрываются. Подробное описание см. в IEEE Std 11073-10441-2008 [В32].
3.7.4 Базовая ЭКГ
Базовая электрокардиограмма предназначена для простых приложений, осуществляющих мониторинг электрической активности сердца. Приборы ЭКГ для мониторинга отличаются от диагностических кардиографов тем, что их можно носить на теле, число используемых отведений не больше трех. Кроме того, такие приборы не нуждаются в возможностях аннотации ЭКГ или анализа регистрируемой электрической активности в целях выявления известных кардиологических феноменов. Подробное описание см. в IEEE Std 11073-10406-2011 [В27].
3.7.5 Весы
Весы измеряют вес (массу) объекта. Они могут использовать, например, пружину, которая деформируется под нагрузкой, или балансир, сравнивающий неизвестный вес с эталонным весом при помощи горизонтального рычага. Вес тела является типичным результатом измерений, представляемым в килограммах (кг) или фунтах (lb). Подробное описание см. в ISO/IEEE 11073-10415:2010(Е) [В46].
3.7.6 Анализатор состава тела
Приборы анализа состава тела широко используются для измерения электрического сопротивления тела и для вычисления по значению сопротивления различных компонентов состава тела, включая коэффициент жира. Приборы анализа состава тела могут также вычислять или запрашивать индекс массы тела. Подробное описание см. в IEEE Std 11073-10420 [В30].
3.7.7 Простой дозатор лекарственных средств
Дозатор лекарственных средств содержит дозу одного или нескольких лекарственных препаратов. Каждая доза должна подаваться пользователю/пациенту в заранее определенное время. Когда пациент забирает предоставленную дозу из дозатора (доза принята) и/или когда доза не была забрана по истечении заранее определенного времени (доза пропущена), генерируется событие датчика. Подробное описание см. в IEEE Std 11073-10472-2010 [В35].
3.7.8 Монитор международного нормализованного отношения
В контексте персональных медицинских приборов мониторинг международного нормализованного отношения (MHO) осуществляется с помощью измерения протромбинового времени (ПТВ), используемого для оценки достижения целевого уровня антикоагулянтной терапии, и его представления в форме международного нормализованного отношения (MHO) с помощью сравнения с протромбиновым временем нормальной плазмы крови. К числу приложений монитора MHO относится управление терапевтическим уровнем антикоагулянта, используемое при лечении ряда состояний. Метод измерения не указан. Подробное описание см. в IEEE 11073-10418-2011 [В29].
3.7.9 Монитор кровяного давления
Монитор кровяного давления измеряет давление крови. Для ограничения потока крови обычно используется надувная манжета, а давление измеряется ртутным или механическим манометром. Монитор регистрирует систолическое, диастолическое и среднее давление. Подробное описание см. в ISO/IEEE 11073-10407:2010(Е) [В44].
3.7.10 Пикфлоуметр
Пикфлоуметр измеряет максимальную скорость выдоха пациента. Данный прибор используется для оценки способности пациента выдыхать воздух. Он измеряет поток воздуха через бронхи и тем самым степень их сужения. Подробное описание см. в IEEE Std 11073-10421ТМ-2010 [В31].
3.7.11 Глюкометр
Глюкометр измеряет концентрацию глюкозы в крови. Глюкоза, или сахар крови, является основным источником энергии для человеческого организма. Содержание глюкозы в крови является ключевым показателем, который диабетики измеряют несколько раз в день. Шкала прибора градуирована в мг/дл или ммоль/л. Подробное описание см. в IEEE Std 11073-10417ТМ-2011 [В28].
3.7.12 Пульсоксиметр
Пульсоксиметр, или упрощенно оксиметр, обеспечивает неинвазивную оценку функционального кислорода артериального гемоглобина (SpO2) по взаимодействию светового сигнала с тканью, используя изменения оптических свойств ткани, происходящие при пульсации кровообращения. Подробное описание см. в ISO/IEEE 11073-10404:2010(E) [В43].
3.7.13 Термометр
Термометр измеряет температуру определенной точки тела человека. В общем случае он снимает показания, представляющие базовую температуру тела. По традиции оральные или ректальные измерения используются для получения разовых значений, а подмышечные измерения используются при расширенном мониторинге. Подробное описание см. в ISO/IEEE 11073-10408:2010(Е) [В45].
3.7.14 Концентратор активности одинокого человека
Концентратор активности одинокого человека собирает показания датчиков активности из многих источников, используемых для поддержки одинокого проживания одного или нескольких жильцов. Окружающая среда жильцов может значительно варьироваться и включать в себя разнообразные сочетания датчиков, поэтому данные о событиях активности, регистрируемых датчиками, о которых сообщает какой-либо определенный агент, имеют соответствующие вариации. Ниже приведен обзор видов датчиков и собираемых ими данных об активности. Подробное описание см. в IEEE Std 11073-10471 TM-2008 [В34].
Температурный датчик
Температурный датчик анализирует температуру окружающей среды. При выходе температуры за пределы заданного диапазона и при входе в этот диапазон он генерирует события. События датчика могут сообщать о подъеме температуры окружающей среды выше определенного уровня (верхнего предела), понижении температуры ниже определенного уровня (нижнего предела) или о том, что изменение температуры происходит со скоростью, превышающей ожидаемую. Эти датчики используются для обнаружения таких ситуаций, как опасное повышение или понижение температуры либо что после приготовления пищи конфорки кухонной плиты остались включенными.
Датчик падения
Датчик падения оповещает систему мониторинга о том, что произошло событие, которое может быть ассоциировано с падением пациента. Такие датчики могут быть прикреплены к телу или быть встроены в здания и полы. Датчики, прикрепляемые к телу, использовать быстрее и проще. Однако многие пользователи неохотно соглашаются постоянно носить такие приборы.
Датчик персональной системы экстренного реагирования
Датчик персональной системы экстренного реагирования оповещает систему мониторинга о событии, требующем экстренного реагирования. Обычно он имеет форму кнопки, на которую пациент нажимает, чтобы подать сигнал экстренной ситуации ("тревожная кнопка").
Датчики окружающей среды
Датчики окружающей среды генерируют событие датчика каждый раз, когда определенная характеристика окружающей среды выходит за заданные пределы. Примерами служат датчики дыма, датчики угарного газа, датчики воды и датчики природного/сжиженного газа.
Датчик движения
Датчик движения генерирует событие датчика каждый раз, когда он обнаруживает движение, превышающее заданную величину. Такой тип датчиков, как правило, используется для обнаружения либо общего движения, либо незаконного проникновения в дом. Обнаружив движение, датчик общего движения немедленно генерирует событие и инициирует последующее действие, которое может использоваться для отслеживания степени активности жильца, чтобы установить, изменилась ли типичная модель его поведения. При обнаружении движения датчик проникновения может инициировать действие выявления нарушителя.
Датчик покидания территории
Датчик покидания территории генерирует событие каждый раз, когда он обнаруживает, что лицо или устройство покидает территорию. Он обычно используется для лиц с когнитивными расстройствами, испытывающих затруднения при пребывании в незнакомой обстановке. Датчик может также генерировать событие, если выход из помещения остался открытым.
Датчик энуреза
Датчик энуреза генерирует событие, когда он обнаруживает мочеиспускание в постель или непроизвольное мочеиспускание. Он может устанавливаться в разных местах, например на кровати или в кресле.
Датчик замыкания контактов
Датчик замыкания контактов генерирует событие изменения состояния всякий раз, когда контакт прерывается или замыкается. Такой датчик оповещает о состоянии контакта после перехода в другое состояние. На каждый переход генерируется только одно событие датчика. Такой датчик может устанавливаться в проходных дверях, дверцах шкафа, в выдвижных ящиках, на окнах и в сенсорных ковриках.
Датчик использования
Датчики использования генерируют событие изменения состояния, указывающее на начало или конец использования (например, когда пациент ложится в кровать или садится в кресло либо покидает кровать или кресло). Он также генерирует событие ожидаемого использования, не начатого достаточно быстро (нарушение ожидаемого начала), а также событие длительности использования, превышающей ожидаемое завершение (нарушение ожидаемого завершения).
Датчик выключателя
Датчик генерирует событие, когда выключатель меняет состояние на "включен" (ON) или "выключен" (OFF). Примерами служат выключатели освещения, вентиляторов и другие подобные выключатели электрических аппаратов.
Серия стандартов ИИЭР 11073 вносит свой вклад в обеспечение интероперабельности медицинских и персональных медицинских приборов. Интероперабельность означает способность прибора предоставлять данные так, чтобы они были доступны другим приборам и системам, а затем посредством электронных средств - другим лицам, находящимся близко или далеко. Над всем этим "семантическая интероперабельность" позволяет целевым системам автоматически интерпретировать и анализировать данные. Она позволяет однозначно интерпретировать информацию (не автоматически), в особенности на разных языках и в разной культурной среде.
Интероперабельность приборов, выпускаемых разными производителями, лучше всего достигается при использовании общих стандартов для всех взаимодействующих систем и приборов. Серия стандартов ИСО/ИИЭР 11073 разработана для стандартизации взаимодействия с медицинскими приборами. В последние несколько лет к ней был добавлен ряд новых стандартов, оптимизированных для взаимодействующих ПМП. На рисунке 3 показан обзор технических коммуникаций между несколькими приборами и функциями.
В настоящем разделе показано, как стандарты ИИЭР 11073 ПМП облегчают оптимальное использование ПМП, делая результаты измерений доступными для будущего инновационного и выгодного использования. На рисунке 3 показан общий "ландшафт" коммуникаций. В рамках этого "ландшафта" стандарты ПМП описывают методы передачи данных между ПМП и агрегирующими устройствами. На рисунке 4 показан обзор стандартов ПМП.
Следующие стандарты являются "базовыми стандартами" серии ИИЭР 11073:
- ISO/IEEE 11073-10101:2004(Е) [В41];
- ISO/IEEE 11073-10201:2004(Е) [B42];
- ISO/IEEE 11073-20101:2004(Е) [В47];
- ISO/IEEE 11073-30200:2004(Е) [В49];
- ISO/IEEE 11073-30300:2004(Е) [В50].

Рисунок 3 - Обзор технических коммуникаций
Ссылаясь на базовые стандарты, стандарты ИИЭР 11073 ПМП, в свою очередь, делают определенные в них понятия доступными для использования в приборах на дому и в общих, не медицинских контекстах. Они соответствующим образом расширяют базовые стандарты ИИЭР 11073 и заимствуют из них содержание многими разными способами. На рисунке 4 показан обзор базовых стандартов ИИЭР 11073 и стандартов ИИЭР 11073 ПМП и связей между ними. Существуют два типа связи:
- заимствование идей и/или содержания из базовых документов (пунктирные линии);
- усиление информации из базового документа и включение нового содержания в этот документ для поддержки данного стандарта (сплошные линии).
Стандарты ИИЭР 11073 ПМП предполагалось сделать достаточно простыми за счет ограничения функциональности до абсолютно необходимой. С другой стороны, стандарты ИИЭР 11073 ПМП являются по необходимости обширными, поскольку включают в себя полный объем сведений, позволяющий специалистам реализовать существующие согласованные функции. Принималось во внимание, что при реализации простых приборов и систем достаточно использовать только подмножество функций, определенных стандартами ИИЭР 11073 ПМП. Для облегчения чтения стандартов ИИЭР 11073 ПМП в них воспроизведены основные элементы базовых стандартов, что позволяет не слишком часто обращаться к базовым стандартам за более детальными сведениями.
Наиболее важные понятия, "агент" и "менеджер", определены в базовых стандартах ИИЭР и часто повторно используются в данной серии.
Агент является программным компонентом ПМП. Его основной задачей является обеспечение функции взаимодействия с другими устройствами внешнего мира. Партнерами агентов являются менеджеры. Они, как и агенты, являются программными компонентами устройств, находящихся на другой стороне канала передачи данных. Менеджеры, как правило, принимают данные от агентов. На рисунке 3 показан "ландшафт", охватывающий датчики и менеджеры результатов измерений.
Приборы, в которые встроены агенты, как правило, являются малобюджетными, потребительскими устройствами. Поэтому они имеют ограниченные функциональные возможности аппаратного обеспечения (оперативное запоминающее устройство [ОЗУ], постоянное запоминающее устройство, центральный процессор [ЦП]) и ограниченные ресурсы питания (маленькая батарейка). Чтобы сохранять простоту и экономить энергию, они обычно имеют фиксированные конфигурации и отсоединяются от вычислительной сети в случае неактивности. Менеджеры обычно встроены в устройства с более существенными наборами функциональных возможностей и способны соединяться с несколькими агентами. Они обычно питаются от сети или батарей большей емкости.

Рисунок 4 - Обзор стандартов персональных медицинских приборов
Как показано на рисунке 5, стандарты ИСО/ИИЭР 11073-20601:2010(E) [В48] и ИИЭР Std 11073-20601аТМ-2010 [В36] используют следующие методы для описания структуры и поведения агентов и менеджеров:
- использование модели предметной области (domain information model, DIM), которая описывает набор атомарных частей и показывает, как эти части соединяются для формирования более крупного элемента, который может использоваться в компоненте программного обеспечения. Разработчики обычно называют такие элементы "классами" и "объектами". Показатель кровяного давления является примером значения атрибута экземпляра числового объекта, представляющего измерение кровяного давления;
- использование номенклатуры: модель предметной области использует стабильный и гармонизированный набор терминов, помогающий использовать согласованные термины для одного и того же понятия в целях обеспечения семантической интероперабельности. С их помощью содержание глюкозы в крови вместе со всеми необходимыми деталями (например, штамп даты и времени, единицы измерения, идентификатор прибора и т.д.) всегда можно легко отличить от других элементов данных. Согласованная номенклатура полезна при работе над архитектурой системы и на протяжении всех фаз ее реализации и использования. Коммуникационная модель также описывает, как можно преобразовать абстрактный синтаксис, используемый при описании модели предметной области, в синтаксис передачи данных;
- использование "сервисной модели", описывающей взаимодействие протокола с объектами и атрибутами;
- использование "коммуникационной модели", описывающей переходы состояний сетевых соединений и детали коммуникационных характеристик.

Рисунок 5 - Базовые блоки моделирования в стандарте ИСО/ИИЭР 11073-20601
В серии стандартов ИИЭР 11073 для описания объектов и служб используется Абстрактная синтаксическая нотация версии один (АСН.1). АСН.1 представляет собой формальную нотацию, используемую для описания данных, передаваемых телекоммуникационными протоколами. Она не зависит от языка реализации и физического представления данных. АСН.1 определяет формальную систему спецификации абстрактных типов данных.
Существуют программные инструментальные средства, способные автоматически генерировать структуры на языке С и обеспечивать маршалинг для представления данных в фиксированном двоичном формате, упакованном двоичном формате и на языке XML (eXtensible Markup Language - расширяемый язык разметки). Для передачи данные упаковываются в блоки данных протокола прикладного уровня (APDU - Application Protocol Data Unit). Эти блоки содержат данные в двоичном формате. С их помощью данные передаются между агентом и менеджером.
4.2.1 Общие положения
DIM описывает набор элементов, которые разработчики используют и комбинируют для моделирования свойств данных, обрабатываемых ПМП. В реализациях эти элементы будут, к примеру, описаны как "классы" и "объекты". На рисунке 6 показана информационная модель предметной области ПМП. Например, система медицинского прибора (medical device system, MDS) представляет собственно прибор. Модели "метрики" (Metric) хранят различные формы измерений. "Постоянное хранилище метрики" (persistent metric store, РМ-хранилище) представляет средство хранения данных в течение определенного периода, а также хранения групп "сканеров" (scanner). Оно оптимизирует управление данными и управление потоком данных. На рисунке 7 показан пример модели, описывающей реальный прибор, в данном случае пикфлоуметр.

Рисунок 6 - Модель предметной области персонального медицинского прибора

Рисунок 7 - Информационная модель предметной области реального прибора, произведенная от стандартов ИИЭР 11073 ПМП и взятая из стандарта специализации устройств ИИЭР 11073-10421 (пикфлоуметр)
Используя информационные модели, стандарты ИИЭР 11073 ПМП предоставляют описания кодирования и передачи данных. Это подробно описано в В.2. На рисунке В.1, взятом из ИСО/ИИЭР11073-10407:2010(E) [В44], показана диаграмма последовательности.
4.2.2 Пример реализации
На рисунке 8 показан экземпляр числового объекта, специфичного для конкретного прибора, а именно для весов. Он соответствует следующим критериям:
- для создания объекта Weight (вес) создается экземпляр класса Numeric (числовой);
- многие атрибуты этого объекта (Handle, Туре и т.д.) наследуются от класса Metric (метрика);
- все обязательные атрибуты включены (Handle, Type, Metric-Spec-Small);
- объект соответствует условиям, указанным в графе примечаний двух условных атрибутов (Attribute-Value-Map, Simple-Nu-Observed-Value);
- включает в себя один дополнительный атрибут (Unit-Code);
- никакие другие атрибуты не включены.

Рисунок 8 - Пример реализации модели предметной области
Полная модель монитора кровяного давления со всеми деталями показана на рисунке А.1.
Номенклатура предоставляет стабильный набор терминов, а также числовых кодов этих терминов. Она способствует формированию общего языка для тех, кто генерирует данные в датчиках приборов, и тех, кто в дальнейшем обрабатывает данные в менеджерах результатов измерений или в других местах цепочки передачи данных. Она также облегчает возможность переноса на местные коды. Номенклатура полностью определена в ИСО/ИИЭР 11073-10101:2004(Е) [В41].
Номенклатура определяет 32-битовые идентификаторы MDC_*, которые, как показано на рисунке 9, состоят из следующих двух частей:
- номер блока кодов в старших 16 битах;
- фактический код термина в младших 16 битах (с подразделами).
Блоки кодов группируют похожие коды терминов, например физиологические измерения, величины, события и части тела.
Чтобы сократить размер пакета данных, код термина может использоваться сам по себе при определенных условиях: номер блока кодов должен быть уже известен (к примеру, стандартизирован). Например, коды единиц измерения всегда находятся в блоке с кодом "Размерности".
4.3.1 Примеры
В следующем примере показан 32-битовый (4-байтовый) идентификатор, классифицирующий блок кодов (раздел) в старших 16 битах и термин в младших 16 битах:
- полный идентификатор: 0x00 0x02 0хЕ1 0x40;
- старшие 16 битов: 0x00 0x02, то есть десятичное значение 2, идентифицирующее блок кодов MDC_PART_SCADA (диспетчерское управление и сбор данных);
- младшие 16 битов: 0хЕ1 0x40, то есть десятичное значение 57664, идентифицирующее термин с мнемокодом MDC_MASS_BODY_ACTUAL (фактическая масса тела).
Сервисная модель описывает концептуальные механизмы сервисов обмена данными. Эти сервисы оперируют сообщениями, которыми обмениваются агент и менеджер. Эти сообщения определены в нотации АСН.1. В настоящем стандарте определены следующие сервисы:
- сервис ассоциации:
1) запрос ассоциации/ответ на запрос ассоциации;
2) запрос завершения ассоциации/подтверждение завершения ассоциации;
3) прерывание ассоциации;
- сервис доступа к объекту:
1) получение данных;
2) присвоение данных;
3) отчет о событии;
4) действия (методы).

Рисунок 9 - ИСО/ИИЭР 11073-10101:2004(Е) [В41]: сборка контекстно-независимых кодов из кода блока и конкретных терминов в блоке
4.4.1 Сервис ассоциации
Сервисы ассоциации позволяют создавать и прекращать логическое соединение. Такое соединение устанавливается поверх физического кабельного или беспроводного соединения и используется для передачи командных сообщений, связанных с управлением соединением.
В число сервисов ассоциации входят:
- запрос ассоциации (aarq);
1) агент инициирует ассоциацию с менеджером;
- ответ на запрос ассоциации (aare);
2) менеджер отвечает на запрос ассоциации;
- запрос завершения ассоциации (rlrq);
3) агент или менеджер завершает ассоциацию (сеанс);
- подтверждение завершения ассоциации (rlre);
4) ответ ассоциированной стороны;
- прерывание ассоциации (abrt);
5) агент или менеджер прерывают ассоциацию (обычно в связи с отказом).
4.4.2 Сервис доступа к объекту
Сервисы доступа к объектам используются для получения доступа к атрибутам в информационных объектах, определенных в модели предметной области. В число сервисов доступа входят:
- сервис GET (получение данных) используется менеджером для получения значений MDS-объектов агента и атрибутов РМ-хранилища;
- сервис SET (присвоение данных) используется менеджером для установки значений атрибутов объекта агента;
- сервис EVENT REPORT (отчет о событии) используется агентом для отправки менеджеру обновлений конфигурации и результатов измерений;
- сервис ACTION (действие): используется менеджером для вызова действий (или методов), поддерживаемых агентом. Примером служит действие MDS-Data-Request, используемое для запроса у агента измеренных данных.
Для базовых транзакций измерений достаточно использования сервиса отчета о событии (т.е. значения, генерируемые ПМП, могут передаваться менеджеру с помощью этого сервиса). Этот сервис является одной из основополагающих функций, определенных в стандартах ИИЭР 11073 ПМП. Поэтому в 4.4.3 будут представлены характеристики сервиса отчета о событии.
4.4.3 Сервис отчета о событии: передача результатов измерений
Сервис отчета о событии является основным механизмом, с помощью которого агент может сообщать результаты измерений и данные конфигурации. Отчеты о событии в ПМП являются свойством MDS и объектов сканера. Отправитель отчета о событии имеет возможность запросить от получателя необязательное подтверждение. Эти конкретные отчеты о событии могут иметь разнообразную форму и свойства в соответствии с определениями, приведенными в подразделах 7.4.2-7.4.7 стандарта ИСО/ИИЭР 11073-20601:2010(E) [В48].
Сервис отчетов о событии конфигурирования позволяет передать информацию о конкретной конфигурации прибора агента и всех объектов агента (т.е. агент сообщает менеджеру тип информации, которая будет отправлена позже, и в каком формате она будет передана). В течение одной ассоциации конфигурация агента является фиксированной. Отчеты о событии конфигурирования содержат следующую информацию:
- описание конкретной конфигурации;
- описание всех объектов агента;
- значения не часто меняющихся атрибутов;
- необязательное описание фиксированного и группируемого формата сообщений;
- подтверждение/отклонение менеджером в зависимости от способности предоставить поддержку.
Отчеты о событиях изменения данных используются для передачи менеджеру данных, измеренных агентом. В следующих трех абзацах представлены различные характеристики, которыми может обладать отчет о событии изменения данных.
Обмен данными может быть инициирован агентом или менеджером. В первом случае агент решает, в какой момент времени он будет передавать данные менеджеру. Во втором случае менеджер передает агенту требование начать или остановить отправку измеренных данных.
Измеренные данные можно передавать с помощью отчетов о событии, используя один из трех типов формата: переменный, фиксированный или группируемый. Сравнение этих разных форматов показано на рисунке 10. Их отличие в том, какая метаинформация передается для простого измеренного значения. К примеру, при переменном формате каждый раз будет передаваться соответствующий дескриптор объекта (handle), а также идентификатор атрибута, в то время как при фиксированном формате передается только дескриптор объекта. При группируемом формате передаются только измеренные значения очень компактным способом.
Отчет о событии может использовать многопользовательскую возможность, если предполагается, что один и тот же ПМП будет использоваться несколькими людьми. При использовании этой возможности ПМП должен предлагать пользователям возможность идентифицировать себя. Во всех других случаях агент может использовать однопользовательский отчет.
4.5.1 Общие коммуникационные характеристики
Коммуникационная модель описывает характеристики коммуникаций, машину перехода состояний соединений и допустимые взаимодействия агента и менеджера в каждом состоянии. Коммуникационная модель описывает, как сервисы, упомянутые в 4.4, применяются различными процедурами. Она также описывает, как сообщения, соответствующие каждому сервису, кодируются в двоичный формат и декодируются из двоичного формата при передаче по транспортным каналам.
Соединения осуществляются по принципу "точка-точка", и, как правило, агент взаимодействует с одним менеджером. Менеджер может взаимодействовать с несколькими агентами. Блок APDU должен обрабатываться автоматически. Блоки APDU могут разбиваться на сегменты и повторно собираться. Максимальный размер блока APDU (если в специализации прибора он не сокращен) составляет 63K при отправке менеджеру и 8K при отправке агенту. Предполагаются следующие две разные группы характеристик коммуникаций:
- надежные: используются для процедур ассоциации и подтверждаемых коммуникаций;
- "максимально хорошие"/сбрасываемые: не обязательно используются для неподтверждаемых коммуникаций, но не для процедур ассоциации и подтверждаемых коммуникаций.

Рисунок 10 - Сравнение разных форматов отчетов об измеренных данных
4.5.2 Характеристики надежных коммуникаций
Блоки APDU доставляются в порядке отправки, без обнаруживаемых ошибок, без дублирования и потери. Возможны задержки передачи блоков APDU, связанные с повторными попытками. Коммуникационный уровень должен регистрировать начатое соединение и сообщать о разъединении. Он должен также регистрировать отказ в отправке блока APDU, а управление потоком должно поддерживаться для полного блока APDU.
4.5.3 Характеристики коммуникаций "максимально хорошие"
Отправка блоков APDU может быть задержана, блоки могут доставляться с нарушением порядка или дублированием. На прикладном уровне блоки APDU должны иметь последовательную нумерацию. Они могут поступать со скоростью, приводящей к переполнению буфера.
4.5.4 Пример: передача значений кровяного давления
В примере описано, как монитор кровяного давления, реализующий специализацию прибора, описанную в ИСО/ИИЭР 11073-10407:2010(E) [В44], передает менеджеру результаты измерений кровяного давления.
Когда монитор кровяного давления (представляющий собой реализацию агента) завершает выполнение измерений и устанавливает физическое соединение с устройством менеджера, агент может передать измеренные значения. Для этого он должен инициировать процедуру ассоциации, в которой обе стороны коммуникаций соглашаются использовать общий протокол данных и общий набор операционных параметров. Процедура начинается с запроса ассоциации, отправляемого агентом. Сообщение запроса ассоциации содержит, например, идентификацию агента, информацию о функциях, обеспечиваемых агентом, используемые правила кодирования и декодирования сообщений, а также текущую конфигурацию агента (dev-config-id). Когда менеджер получает запрос ассоциации, то он сравнивает полученные в нем параметры со своими и решает, является ли агент совместимым с ним. С помощью идентификатора dev-config-id менеджер определит, известна ли ему эта конфигурация (т.е. поймет ли он структуру и содержание последующих отчетов данных). Для первых запросов ассоциаций менеджер в большинстве случаев не будет знать конфигурацию прибора агента и поэтому в ответе на запрос ассоциации сообщит агенту, что запрос ассоциации может быть удовлетворен, но необходимо получить параметры конфигурации агента. После отправки ответа на запрос ассоциации менеджер инициирует процедуру конфигурации. Равным образом агент по получении этого ответа тоже инициирует процедуру конфигурации, чтобы передать менеджеру информацию о своей конфигурации. Агент выполняет процедуру конфигурации, используя подтверждаемое сообщение отчета о событии, в котором он сообщает менеджеру перечень реализованных объектов агента (например, числовой объект для считываний значения пульса), их статические атрибуты (например, идентификатор единиц измерения/размерности), а также организацию будущих сообщений данных (например, отчеты о событиях в фиксированном формате). Если менеджер принимает конфигурацию, то он возвращает агенту сообщение accepted-config (принятая конфигурация), а затем оба устройства перейдут в состояние взаимодействия. Для инициированной агентом передачи измеренных данных он использует сервис отчета о событии, в котором монитор кровяного давления может переслать менеджеру показания кровяного давления и пульса. Когда агент передаст всю предназначенную информацию, он вызовет процедуру диссоциации и отправит менеджеру запрос о завершении ассоциации. В ответ менеджер отправит подтверждение завершения ассоциации, и оба прибора перейдут в неассоциированное состояние. В зависимости от типа физических средств передачи данных и способа их использования может быть обеспечено необязательное сохранение физического соединения.
В подразделе В.2 приведены подробное описание и диаграмма последовательности описанных выше коммуникаций.
4.5.5 Среда передачи
4.5.5.1 Общие положения
Коммуникационные технологии, используемые для передачи данных биофизических измерений, делятся на две большие группы: проводные и беспроводные. Кроме того, они подразделяются на разные группы в зависимости от радиуса действия. Коммуникации ближнего радиуса действия, как правило, используют кабельную магистраль, беспроводную ПВС, беспроводную ПВС/ЛВС, радиочастотную идентификацию (RFID) и аналогичные каналы. Коммуникации дальнего радиуса действия используют протокол управления передачей/межсетевой протокол TCP/IP поверх ЛВС или сотовых технологий.
В настоящем стандарте перечислены только некоторые из этих технологий. Более подробное обсуждение см. в руководстве по использованию беспроводной радиочастотной технологии (ИИЭР Std 11073-00101ТМ-2008 [В26]. Руководство по архитектуре, опубликованное организацией Continue Health Alliance, рисует полную картину среды соединений, от ПМП, взаимодействующих с менеджерами результатов измерений, до телемедицинских центров и систем ведения ЭМК, основанных на стандартах ИИЭР 11073 ПМП и других спецификациях.
4.5.5.2 Беспроводная ПВС
Многие ПМП, доступные на рынке, используют беспроводную радиочастотную передачу данных по беспроводной ПВС, широко распространенной на ноутбуках и многих мобильных телефонах. Беспроводная ПВС обычно используется для передачи мобильному телефону результатов измерений, полученных на мобильном приборе, на короткой дистанции. Затем мобильный телефон передает эти результаты для дальнейшей обработки по соединению большого радиуса действия (например, по беспроводной ГВС).
Для передачи медицинских данных доступны профили, позволяющие передавать данные в соответствии с ИСО/ИИЭР 11073-20601:2010(E) [В48] и ИИЭР Std 11073-20601аТМ-2010 [В36], включая меры защиты (аутентификацию и шифрование).
4.5.5.3 Кабельная магистраль ПВС
Кабельная магистраль ПВС является очень распространенным способом проводного соединения бытовой электроники с ноутбуками и настольными компьютерами, а также взаимодействия со многими мобильными приборами (обычно ограничиваясь их зарядкой).
Кабельная магистраль обычно предоставляет устройствам электрическое питание, что является большим преимуществом по сравнению с беспроводными технологиями. Кабельная магистраль используется в ПМП, для которых проводное соединение более пригодно, чем беспроводная передача данных (по техническим причинам или для удобства использования). Существуют протоколы, доступные для кабельных магистралей ПВС и позволяющие им передавать данные в соответствии с ИСО/ИИЭР 11073-20601:2010(E) [В48] и ИИЭР Std 11073-20601аТМ-2010 [В36].
4.5.5.4 Беспроводные сети ПВС/ЛВС
Беспроводные передачи данных по сетям ПВС/ЛВС (wP/LAN) весьма популярны для соединения с небольшими, легкими датчиками, имеющими низкое потребление энергии и батарейное питание, на коротких дистанциях, в пределах комнаты или здания. Существуют приборы, которые могут работать месяцами и годами без замены батареи. Эти сети могут также использоваться для соединения нескольких датчиков в "облако", в котором одна станция служит ретранслятором для других станций, находящихся слишком далеко друг от друга, чтобы иметь прямое соединение. Существуют протоколы беспроводной передачи данных по сетям ПВС/ЛВС, позволяющие передавать данные в соответствии с ИСО/ИИЭР 11073-20601:2010(E) [В48] и ИИЭР Std 11073-20601аТМ-2010 [В36].
В некоторых сетях ПВС/ЛВС предоставляются также сервисы безопасности и надежного мониторинга, необходимые при оказании некритичной медицинской помощи, предоставляемой не при острых состояниях, а при ведении хронических заболеваний и одинокого старения, а также для целей общего оздоровления, благополучия и фитнеса. Сети ПВС/ЛВС могут использоваться как на дому, так и медицинскими специалистами, например врачами и медицинскими сестрами.
4.5.5.5 Протоколы ТСP/UDP/IP в сетях ГВС/ЛВС
Протоколы TCP/IP в проводных ЛВС обычно используются для более крупных медицинских приборов, для приборов, используемых в спорте и фитнесе, а также для систем датчиков, используемых для контроля окружающей среды в жилых зданиях. Беспроводной вариант использует очень похожие протоколы и часто используется в близких соединениях с проводными ЛВС, во многих случаях даже за пределами зданий. Встраивание интерфейса ЛВС, в особенности беспроводного, в небольшой ПМП, питающийся от батарей, существенно ограничивает время работы в связи со значительным потреблением энергии этими интерфейсами.
Протоколы TCP/IP обычно используются в приложениях, которым требуется скоростная передача больших объемов данных. Их преимуществами являются возможности коммуникации на большие расстояния и широко распространенные системы защиты передаваемых данных (например, WPA и WPA2).
Протокол пользовательских дейтаграмм (User Datagram Protocol, UDP) предоставляет прикладным программам возможность отправлять сообщения другим программам с минимальными протокольными издержками. Он не требует организации соединений (основан на передаче пакетов), не гарантирует доставку и защиту от дублирования*(9).
4.5.5.6 RFID
Протокол RFID (ИСО/МЭК 14443*(10)) обычно используется для целей идентификации. Например, пациенты, находящиеся в больницах днями и неделями, носят браслеты RFID для обеспечения их легкой и удобной идентификации и определения местонахождения.
──────────────────────────────
*(9) Дополнительную информацию см. по адресу: http://tools.ietf.org/html/rfc768.
*(10) Данный документ доступен по адресу: www.rfid.org.
В данном разделе очерчен возможный процесс реализации системы ПМП. Основное внимание уделяется методам, гарантирующим обеспечение интероперабельности собранных данных "из конца в конец", предусмотренным серией стандартов ИИЭР 11073 ПМП. Некоторые из шагов процесса затрагивают только реализацию программного обеспечения, в то время как большинство разделов посвящено общей архитектуре системы, независимой от программного обеспечения или аппаратных средств.
Процесс начинается с оценки нужд потребителей и заканчивается успешно функционирующей, развернутой финальной системой. Конечно, техническое обслуживание, а также многие большие и малые улучшения продолжаются в течение длительного периода после успешного ввода в эксплуатацию. Общая последовательность шагов разработки, приведенная в настоящем разделе, взята из МЭК 62304-2006 [В24]. Кроме этого документа разработчики могут обратиться к ИСО 13485-2009 [В38]. По ходу изложения примера упоминаются и другие источники.
Серия стандартов 11073 обычно используется на шагах, относящихся к "инженерной" части работы (проектирование архитектуры, техническое проектирование и реализация). На других шагах, в большей степени ориентированных на "стратегию развития" и "управление" (например, планирование развития и анализ рисков), фундаментальная идея стандартов ИИЭР 11073 ПМП, конечно же, является полезной даже для управляющих и лиц, принимающих решения. В реальных проектах в дополнение к серии стандартов 11073 рассматриваются многие другие источники, например охватывающие аспекты безопасности и качества процесса. Содержание данного раздела в основном посвящено вкладу стандартов в процесс разработки. Оно не претендует на полноту описания всех необходимых шагов реализации.
В процессе реализации следует учитывать нужды потребителя. Пользователи могут как являться, так и не являться потребителями: в условиях стационарного лечения потребителем системы будет являться больница. Медицинские специалисты, административный персонал и сами пациенты могут иметь роли пользователей. В других условиях пользователи являются также и потребителями, например когда они приобретают прибор для фитнеса с целью использования его в тренировках. В фазе анализа должны учитываться как точка зрения пользователя, так и многие другие аспекты. Поэтому здесь используется термин "нужды потребителя".
В данном примере обсуждается вариант использования стандартов ИИЭР 11073 ПМП для реабилитации, когда в целом здоровые лица нуждаются в медицинской поддержке в процессе реабилитации после хирургической операции. В него включены централизованный фитнес-центр, используемый пациентами для тренировок, и ПМП, которые пользователь/пациент использует на дому. Собранные данные должны быть доступны пользователю/пациенту и медицинским специалистам, контролирующим процесс реабилитации. Наряду с пользователями/пациентами в процессе участвуют персонал и тренеры фитнес-центра, медицинские специалисты и лица, обеспечивающие техническую поддержку.
Все эти люди носят важную для реализации информацию и поэтому должны быть надлежащим образом включены в процесс разработки. Реализация успешна только в том случае, если удовлетворяет нужды потребителей.
При определении нужд потребителей стандарты ИИЭР 11073 ПМП полезны как источники знаний, которые могут использоваться при составлении требований. Например, группы лиц, которым некоторые типы приборов представляются новыми, могут извлекать информацию о типичном составе данных, передаваемых этими приборами, из стандартов ИИЭР 11073 ПМП, посвященных специализациям приборов. Это поможет на следующих шагах процесса правильно определить способы обработки этих данных и тем самым повысить качество результатов.
Другой важный аспект анализа нужд потребителя включает описание текущего состояния системы, охватывающее всех действующих лиц и существующие установки программного обеспечения и аппаратных средств. Например, в число действующих лиц могут входить пациенты, медицинские специалисты, административный персонал, заинтересованные стороны или организаторы здравоохранения. Являясь "пользователями" системы, все они привносят важные аспекты в анализ нужд потребителя. Разные типы пользователей обычно предъявляют разные наборы требований.
К числу ожидаемых результатов на выходе этой фазы обычно являются определения и описания следующего:
- история пользователя;
- основные и второстепенные лица;
- рабочие процессы;
- стратегия потребителей;
- обзор системы;
- зависимости;
- компетенции.
5.3.1 Общие положения
Разработка программного обеспечения в существенной мере затрагивается деятельностью по управлению рисками, которая должна минимизировать все разумно предполагаемые риски, ассоциированные с программным обеспечением медицинских приборов. Определение соответствующего процесса управления рисками не входит в область применения настоящего стандарта. Производителю следует обеспечить соответствие своего процесса управления рисками стандарту EN ISO 14971:2007 [В19] (управление рисками для медицинских приборов). Анализ риска идентифицирует угрозы, а затем оценивает потенциально возможный вред, который может быть нанесен разным категориям людей, другим живым существам, приборам и в целом системам. Наличие угрозы, которая предположительно часто возникает и известна тяжелыми последствиями, приводит к высокой степени риска. С другой стороны, угроза, возникающая редко и не приносящая вреда, приводит к низкой степени риска.
Фактический процесс управления рисками делится на три основные части: анализ риска, оценка и контроль риска. Кроме того, для организации этого процесса должен быть утвержден план управления рисками, содержащий все грядущие задачи, представленные в настоящем разделе.
Процесс анализа риска должен прояснить предполагаемое использование и идентифицировать характеристики, связанные с безопасностью медицинских приборов, а также потенциальные угрозы. Следует также позаботиться об оценке рисков каждой угрожающей ситуации, взятой из примеров, приведенных в опубликованных стандартах, научных технических данных, тестов удобства использования или данных полевых испытаний похожих, уже используемых, приборов. Затем на основе оценки рисков и плана управления рисками следует решить для каждой угрозы, необходимо ли понижение ее риска. Существует несколько шагов контроля и понижения риска, включая по крайней мере следующие:
- анализ возможностей контроля риска: производитель должен идентифицировать меры, понижающие риск до приемлемого уровня, в том числе архитектурные решения, способы защиты или информацию по безопасности;
- реализация этих мер контроля риска;
- оценка остаточного риска: должна быть проведена оценка приемлемости риска, остающегося после применения мер контроля;
- анализ рисков/преимуществ: если остаточный риск все еще не считается допустимым, а дополнительные меры контроля риска не являются практичными, то производитель может провести обзор данных и литературы, чтобы определить, перевешивают ли медицинские преимущества остаточный риск;
- риск, возникающий из мер контроля риска: последствия мер контроля риска необходимо подвергнуть анализу, чтобы определить, не привносят ли они новые опасности и не оказывают ли они влияние на предварительно оцененные риски для ранее идентифицированных угрожающих ситуаций;
- полнота мер контроля риска: производитель должен минимизировать риски, связанные со всеми идентифицированными угрожающими ситуациями.
В результате должна быть проведена оценка приемлемости всего остаточного риска и составлен отчет по управлению риском, а также представлена информация о производстве и последующем использовании приборов.
Следующая тема охватывает "категории угроз и рисков", а дополнительную информацию об управлении риском медицинских приборов можно найти в EN ISO 14971:2007 [В19].
5.3.2 Категории угроз и рисков
В использовании ПМП участвуют как профессиональные пользователи, работающие в организациях, оказывающих медицинскую помощь, так и люди, не обладающие медицинскими или техническими навыками. Для поставщиков услуг это означает наличие дополнительных рисков, которые необходимо учитывать. В настоящем разделе упомянуты некоторые из них. Данный стандарт не предоставляет подробное руководство по анализу этих проблем. Тем не менее в нем предусмотрены ссылки, необходимые для получения нужной экспертизы.
В таблице 6 перечислены вопросы, которые будут детально рассмотрены в дальнейшей части этого обзора.
|
Угрозы и риски |
Примеры |
|
Человеческие факторы |
Важность проектирования с расчетом на фактических пользователей системы ПМП |
|
Недостаток знаний по правильному использованию ПМП |
Неправильное использование прибора или его использование не по назначению |
|
Несанкционированное использование ПМП |
Мошенничество с ПМП, несанкционированное использование приборов и каналов передачи данных для сбора конфиденциальной информации |
|
Технические отказы ПМП |
ПМП, отправляющий неправильные данные или не отправляющий данные, ограничение или разрыв коммуникаций |
5.3.3 Человеческие факторы
Сектор ПМП сфокусирован на нуждах пользователя/пациента, чтобы каждый тип персональных медицинских приборов облегчал повседневную жизнь и работу пользователей. Это оказалось сложной задачей во многих проектах, особенно с тех пор, как "технологическая революция" проникла в медицинский сектор. Поэтому при выпуске систем ПМП на рынок положительная мотивация и соответствие нуждам пользователей являются основными задачами, которые необходимо решить. Даже самая развитая технология не может предоставить преимущества, если потенциальные пользователи не могут понять, чем она им поможет.
Следовательно, критически важным является удобство использования системы. Поскольку ПМП и управляющее ими программное обеспечение используются пользователем/пациентом, то они должны быть настолько удобными и простыми в использовании, насколько это возможно. Пользователи/пациенты могут также быть инвалидами или иметь нарушения зрения, поэтому программное обеспечение и аппаратные средства системы должны также соответствовать требованиям доступности таким лицам. С другой стороны, интерфейсы пользователя, предназначенные для специалистов здравоохранения и тренеров, тоже должны быть простыми и понятными пользователю. Например, в критический момент короткая и понятная сводка жизненно важных показателей может спасти жизнь. Как тренеры по фитнесу и физкультуре, так и медицинские специалисты обычно сосредотачивают внимание на очень конкретной части данных, поэтому персонализированные интерфейсы и меню являются необходимыми. До внедрения системы ПМП в "реальный мир" проводят различные испытания ее удобства, к которым привлекается группа лиц, достаточно представительная для получения максимально положительной обратной связи от пользователей/пациентов, чтобы обеспечить ее приемлемость.
Человеческие факторы также оказывают существенное влияние на безопасность системы. Опыт показывает, что самым уязвимым звеном является неправильное использование человеком. Растущее число атак на компьютерные системы пользуется "социальной инженерией": например, нарушитель использует персональную контактную информацию работников медицинской организации для получения доступа к медицинским данным лица. Для этого даже не нужны технические средства. Данные покидают границы медицинской организации в телефонном разговоре или даже в распечатках. Ниже приведены примеры:
- коммуникации между датчиком и персональным цифровым помощником (ПЦП) шифруются, чтобы никто не мог прочесть информацию. Но этот способ защиты будет лишен смысла, если пользователь не защитил свой ПЦП от вирусов и ПЦП был заражен. Теперь, возможно, ПЦП отправляет незашифрованную информацию третьей стороне. Если пользователь не проверяет, что его датчики работают надлежащим образом, могут возникать ошибки. Может оказаться, что они отправляют неправильные данные;
- если проектировщик сценария медицинского мониторинга не позаботился о неоспоримости и не предусмотрел использование сертификатов, то система не сможет распознать атаки "посредника" со стороны вирусов на промежуточных устройствах (например, ПЦП), которые также могут привести к изменению значений результатов измерений.
В дополнение к этим более техническим проблемам системы ПМП могут также столкнуться с конфликтами культур. Сетевые службы здравоохранения нередко охватывают много организаций разных профилей. Эти организации обычно имеют разную культуру деятельности и разный стиль работы. Учет этого обстоятельства при проектировании обычно отнимает много времени и усилий и должен тщательно проводиться.
5.3.4 Недостаток знаний о правильном использовании ПМП
Наиболее вероятные риски и угрозы возникают из-за недостатка знаний о правильном использовании прибора. Например, неправильное использование глюкометра или манжеты тонометра может привести к ошибочным показаниям и повлечь за собой неправильное лечение. Поэтому необходимы детальные описания ПМП и руководства по их применению, рассчитанные на пользователя. Хотя такая мера может понизить некоторые потенциальные риски, приборы должны быть рассчитаны на максимальную простоту использования, чтобы свести к минимуму потребность в сложных объяснениях.
Другой важной угрозой, которую следует принимать во внимание, является использование ПМП не по назначению. Например, использование простого монитора частоты сокращений сердца, встроенного в наручные часы, для детального анализа медицинского состояния пациента не приемлемо. Поэтому необходима детальная спецификация прибора с информацией о его назначении.
5.4.1 Основы
В контексте коммуникаций с ПМП термин "безопасность" чаще всего используется в значении информационной безопасности: он описывает характеристики систем, обрабатывающих и хранящих информацию, максимизирующие конфиденциальность, целостность и доступность. Эти три ключевых принципа защиты информации называются триадой КЦД. Информационная безопасность служит целям защиты от опасностей и/или угроз, позволяет избежать вреда и минимизирует риск. Расширенная триада КЦД дополнительно включает в себя неоспоримость в качестве одного из принципов.
Персонализированная медицинская информация, вообще говоря, считается высокочувствительной и, следовательно, нуждается в надлежащей защите. Это относится и к данным, собираемым медицинским датчиком, например по кровяному давлению, содержанию глюкозы в крови, весу и т.д., которые отправляются по сети Интернет на медицинские серверы.
В настоящее время стандарты ИИЭР ПМП не предлагают методы обеспечения безопасности обмена данными. В них предполагается, что обмен данными защищен иными средствами, например с помощью использования защищенного канала передачи данных. Тем не менее безопасность является критической проблемой, которая нуждается в решении в контексте обмена данными с ПМП. Поэтому в 5.4.2-5.4.6 предусмотрено введение в эти вопросы и приведены ссылки на источники, предоставляющие больше информации о том, как обеспечить достаточную степень безопасности приложений.
5.4.2 Конфиденциальность
Конфиденциальность была определена Международной организацией по стандартизации в ИСО/МЭК 27002:2005 [В39] как "обеспечение доступа к информации только авторизованным лицам". Минимизация раскрытия информации неавторизованным лицам или системам является краеугольным камнем информационной безопасности. Нарушение конфиденциальности может принимать множество форм, даже если информационные технологии не используются, например подслушивание диалогов других людей, подсматривание через плечо с целью прочтения информации, заглядывание в секретные документы, компьютерный вирус или троян, отправляющий информацию третьей стороне. В данном случае нарушение конфиденциальности в основном означает подслушивание информации где-то между ее источником (например, датчиком) и приемником (например, ПК, компьютером врача, больничным сервером и т.д.). Для обеспечения конфиденциальности информация шифруется во время передачи.
5.4.3 Целостность
В информационной безопасности целостность означает защиту данных от несанкционированной модификации или удаления. Целостность нарушается, когда информация изменяется кем-то, кому не разрешено это делать. Нарушение безопасности, связанное с целостностью, может произойти непосредственно на приборах (например, из-за вируса) и на пути от источника информации до ее приемника.
Технологии аутентификации гарантируют, что исходные данные не были изменены или удалены в процессе передачи. Они также предоставляют технологические средства проверки того, что данные поступили от правильного отправителя, а не от того, кто им притворяется. Это достигается, например, с помощью использования электронной подписи и сертификатов.
5.4.4 Доступность
По отношению к информационной безопасности доступность означает, что информация доступна, когда она требуется. Из этого следует, что вычислительные системы, используемые для хранения и обработки информации, средства информационной безопасности, используемые для защиты этой информации, а также коммуникационные каналы, используемые для получения доступа к информации, должны функционировать правильно и надежно.
Доступность становится более важной по мере того, как правильная и своевременная информация становится все более критичной для обеспечения медицинской помощи.
5.4.5 Неоспоримость
Неоспоримость означает наличие точной идентификации источника информации. Хорошим примером является привязка биометрической информации к конкретному пользователю/пациенту. Контекстная информация о том, кто собрал информацию (например, медсестра) и какой прибор использован (например, идентификатор прибора), также является важной и нуждается в регистрации и передаче таким образом, чтобы никакое лицо или прибор не могли отрицать свой вклад в общую деятельность.
5.4.6 Сценарии возможных нарушений
5.4.6.1 Общие положения
Сценарии возможных нарушений в пределах коммуникаций с персональными медицинскими приборами легче всего объяснить, рассмотрев более внимательно вариант использования, представленный на рисунке 6. В данном случае нарушение означает, что один или несколько взаимодействующих элементов скомпрометированы. Примеры сценариев нарушения охватывают весь спектр, от манипуляций с прибором с помощью несанкционированного подключения к сети передачи данных до произвольного изменения информации.
5.4.6.2 Несанкционированное использование агентов приборов
Как показано на рисунке 11, первым элементом, который может быть скомпрометирован в цепочке передачи данных, является агент самого ПМП.

Рисунок 11 - Несанкционированное использование агентов приборов
Необходимо учитывать разные случаи несанкционированного использования, затрагивающие агентов. Например, прибор мог быть похищен и заменен на другой, со скомпрометированным агентом, который намеренно предоставляет неправильные данные для принятия медицинских решений или перехватывает персональную либо медицинскую информацию пациента. В самом худшем случае это приведет к лечению на основе неправильных данных, что может вызвать тяжелые последствия. Аутентификация прибора является обязательным условием предотвращения этого. Каждый прибор должен обладать своими собственными "виртуальными отпечатками пальцев" (сертификатом и подписью), с которыми необходимо обращаться с особой осторожностью. "Отпечатки пальцев" передаются вместе с полученными данными, чтобы надежно идентифицировать прибор и его пользователя.
5.4.6.3 Несанкционированное использование коммуникаций агент-менеджер
Второй возможной целью атаки является коммуникационный канал между агентом/ПМП и менеджером (рисунок 12).

Рисунок 12 - Несанкционированное использование коммуникаций агент-менеджер
Для коммуникаций используются как проводные, так и беспроводные технологии. По техническим причинам беспроводные коммуникации гораздо чаще могут быть скомпрометированы. Аналогично несанкционированному использованию агентов передаваемая информация может быть изменена и в таком виде введена в коммуникационную сеть либо перехвачена. Чтобы минимизировать число таких событий, необходимо использовать надежные и современные методы шифрования и аутентификации.
5.4.6.4 Несанкционированное использование устройств менеджеров и программного обеспечения Следующим узлом коммуникаций является устройство менеджера, отвечающее за передачу данных пациента на большие дистанции, фитнес-центрам и оздоровительным организациям, медицинским специалистам или базам данных (рисунок 13).

Рисунок 13 - Несанкционированное использование устройств менеджеров и программного обеспечения
Менеджер является центральным коммуникационным компонентом, соединяющим агенты/ПМП со всеми другими приложениями. Он может быть установлен на дому у пользователя/пациента или пользователь/пациент может носить его на себе для сбора результатов измерений в режиме реального времени. Подмена устройства, на котором установлен менеджер, или манипуляции с этим устройством являются возможными случаями несанкционированного использования. Последствия в этих случаях аналогичны тем, что возникают со скомпрометированными агентами. Поэтому менеджеры тоже нуждаются в строгих методах аутентификации. Если данные хранятся на устройстве менеджера, то необходимо применить дополнительную технологию шифрования.
5.4.6.5 Несанкционированное использование коммуникаций менеджер-медицинский специалист
Коммуникации между менеджерами и фитнес-центрами, медицинскими специалистами или системами ведения медицинских карт осуществляются с помощью технологий передачи данных на большие расстояния, например по сети Интернет или сотовой сети (рисунок 14).

Рисунок 14 - Несанкционированное использование коммуникаций менеджер-медицинский специалист
Эта часть коммуникаций полагается на общую технологию передачи данных, например сеть Интернет. Поэтому несанкционированное использование случается так же часто, как и в случае общего трафика Интернет. Перехват информации (подслушивание) очень привлекателен для нарушителей, поскольку данные от различных приборов уже агрегированы и отформатированы для передачи. Ложные данные, подброшенные в процесс принятия медицинских решений, могут вызвать серьезные последствия, поскольку эти данные многократно используются в разных сценариях и ситуациях.
5.4.6.6 Несанкционированное использование устройств хранения данных и вычислительных средств медицинских работников и других специалистов
Вычислительные ресурсы фитнес-центров, оздоровительных организаций, медицинских специалистов и систем ведения электронных медицинских карт являются последними элементами схемы совместного использования данных ПМП, показанной на рисунке 15.

Рисунок 15 - Несанкционированное использование коммуникаций менеджер-медицинский специалист
Многие случаи несанкционированного использования происходят в медицинских организациях, в которых большое количество пользователей и устройств получают доступ к большому объему информации о пользователе/пациенте на многих шагах процесса ее обработки. Широкий спектр приложений и устройств имеет много целей для атак и сценариев несанкционированного использования. Любым компонентом могут манипулировать, каждый канал передачи данных могут прослушивать, данные могут подвергаться изменению или даже удаляться. Поэтому специалисты по реализации системы должны быть осведомлены о существующих рисках и современных методах обеспечения безопасности, а также знать руководство по информационной безопасности, чтобы поддерживать уровень безопасности и защиты, достаточный для конечных пользователей.
5.4.7 Технические отказы ПМП
Угрозы и риски могут также проистекать из технических отказов. Такие отказы могут варьироваться от отправки прибором сообщений с неправильными данными (или вообще без данных) до ограничения коммуникаций или даже полной поломки. Возможные технические проблемы должны быть учтены в дополнение к сведениям, приведенным в ИСО/ИИЭР 11073-20601:2010(E) [В48] и ИИЭР Std 11073-20601аТМ-2010 [В36] и описанным детально в разделе 5.
Качество услуг в количественной форме описывает то, каким образом предоставляются услуги информационных технологий, и тем самым помогает определить, предоставляется ли услуга в соответствии со спецификациями. Общими примерами являются время доступности системы и время от ввода данных до получения полезного ответа, называемое задержкой. Пользователям информационных систем здравоохранения обычно требуется, чтобы время реакции не превышало нескольких секунд. В дополнение к описанию функций системы необходимо указывать параметры QoS, фиксирующие соглашение между пользователями и поставщиками об ожидаемом качестве. При эксплуатации системы обычно осуществляется мониторинг параметров QoS как часть общей деятельности по техническому обслуживанию.
Для оценки качества информационных технологий обычно используются следующие атрибуты:
- надежность: например, наработка на отказ (среднее время между отказами) или частота ошибок (потерь данных);
- приоритет: отличие соединений/передач данных низкого и высокого приоритета;
- латентность: время реакции программного обеспечения, устройства или коммуникационного протокола на событие;
- пропускная способность: максимально возможная пропускная способность или число параллельных соединений в заданное время, минимальная гарантированная пропускная способность;
- время установки/сбрасывания канала прямой и обратной передачи данных;
- цена: стоимость прибора, стоимость реализации, стоимость сервиса и срок службы устройства;
- энергоемкость: срок жизни батареи, потребляемая мощность и энергоэффективность.
Основное внимание, конечно, уделяется надежности и латентности. Эти два атрибута считаются наиболее значимыми для эффективного управления качеством. В определенных сценариях нередко делаются уступки в пользу надежности или латентности. В некоторых случаях своевременность или низкая латентность могут оказаться гораздо важнее определенного процента пропущенных данных; в других случаях передача данных должна быть абсолютно точной, даже если первая передача не сработала и данные нужно передать заново. Основной акцент требований QoS также зависит от приложения. Для прибора с батарейным питанием (например, часы, измеряющие пульс) в центре внимания будет энергопотребление, а латентность коммуникаций не является главной проблемой.
В данном разделе описана специфика регистрируемых медицинских приборов, выделяющая их среди всех ПМП. Эта специфика обозначена в соответствующих нормативных документах. Настоящий подраздел содержит краткое введение в маркировку СЕ, Европейскую директиву по медицинским приборам, а также в процедуры, предусмотренные организацией FDA (Food and Drug Administration) в Соединенных Штатах Америки для многих медицинских приборов.
Вообще говоря, медицинские работники используют при лечении пациентов только медицинские приборы, соответствующие определенным стандартам. Другие типы ПМП, например приборы для фитнеса, не нуждаются в соответствии этим требованиям и поэтому используются только самим пользователем/пациентом для персональных измерений во время тренировки. Однако существуют варианты использования, в которых ПМП отправляют данные медицинским специалистам для дальнейшего анализа. Кроме того, многие приборы клинического применения предоставляют данные, аналогичные данным приборов для фитнеса, и в этом случае будут использоваться для коммуникаций стандарты ИИЭР 11073 ПМП.
Стандарты ИИЭР 11073 ПМП разрабатываются ИИЭР совместно с ИСО и Европейским комитетом по стандартизации (CEN). Поэтому они публикуются как международные и европейские стандарты, а также являются национальными стандартами государств - членов ЕС. Это делает их полезными во всем мире.
5.6.1 Европейская директива по медицинским приборам
Компании, желающие продавать медицинские приборы на территории ЕС, должны выполнять требования Директивы по медицинским приборам MDD: 93/94/ЕЕС [В53], которая содержит 12 различных приложений. В этом стандарте приложение I содержит список требований, называемых существенными (Essential Requirements). Все медицинские приборы должны соответствовать этим требованиям, затрагивающим многие различные темы, среди них: безопасность, производительность и риск. Чтобы объявить соответствие существенному требованию, производитель медицинского прибора обычно использует гармонизированные стандарты ЕС. Список гармонизированных стандартов публикуется в официальном журнале Европейского союза. Данный подраздел содержит обзор этих стандартов. Полный список доступен онлайн*(11).
──────────────────────────────
*(11) Данный документ доступен по адресу: http://ec.europa.eu/enterprise/newapproach/standardization/harmstds/refli st/meddevic.html.
Стандарты ИИЭР 11073 ПМП имеют также статус европейских стандартов (CEN). Поэтому ожидается, что стандарты на конкретные приборы, предъявляющие требования к производительности электронных коммуникаций, будут ссылаться на соответствующие стандарты ИСО/ИИЭР 11073 ПМП, даже если они пока не включены в список гармонизированных стандартов.
Все директивы по медицинским приборам обычно имеют следующую структуру:
- нормативные разделы, определяющие область применения;
- определение медицинского прибора или его аксессуара и правил классификации;
- статьи законов, регулирующих выпуск прибора на рынок производителем;
- подтверждение использования стандартов как средств демонстрации соответствия существенным требованиям;
- существенные требования (по безопасности), которые должен выполнить каждый продукт для получения маркировки СЕ;
- пути оценки соответствия, определяющие будущие регуляторные процессы.
5.6.1.1 Маркировка СЕ
Маркировка СЕ регулируется директивами "нового подхода" (New Approach). Под эти директивы подпадают многие изделия. Для выхода на рынок в ЕС изделия должны иметь маркировку СЕ (это нормативное требование). Маркировка СЕ является заявлением производителя о том, что изделие соответствует существенным требованиям всех релевантных европейских директив*(12).
──────────────────────────────
*(12) Данный документ доступен по адресу: http://www.bsigroup.co.uk/en-ca/bsi-canada/product-testing/ce-marking/.
Маркировка СЕ на изделии означает следующее:
- указывает государственным органам, что продукт можно легально продавать на территории ЕС и Европейской ассоциации свободной торговли;
- обеспечивает свободное перемещение изделия по единому Европейскому рынку;
- указывает потребителям, что продукт соответствует определенному минимуму стандартов безопасности и, следовательно, имеет качество не ниже минимально допустимого уровня;
- способствует общественному здоровью и безопасности;
- повышает доверие к изделию;
- приводит к улучшению продаж и более высокой степени удовлетворенности потребителей.
Существуют три европейские директивы по маркировке СЕ, которые применяются специально к производителям медицинских приборов:
- директива MDD применяется ко всем общим медицинским устройствам, не охватываемым директивой по активным имплантируемым медицинским устройствам или директивой диагностики in vitro;
- директива по активным имплантируемым медицинским устройствам (Active Implantable Medical Devices Directive) применяется ко всем устройствам и их аксессуарам, предназначенным для постоянной имплантации в организм человека;
- директива диагностики In vitro применима ко всем устройствам и наборам, используемым отдельно от пациента для целей диагностики медицинских состояний.
Сервисы маркировки СЕ включают в себя следующее:
- оценку/обзор технической документации/файла или пакета проектной документации;
- обследование типа прибора;
- гарантию качества изделия (на основе ИСО 13485-2009 [В38]);
- полную гарантию качества (ИСО 13485-2009 [В38]);
- верификацию/выпуск партии.
5.6.1.2 Общие стандарты
В данном подразделе рассмотрены стандарты, называемые "общими стандартами" и "сопутствующими стандартами". Они применимы ко всем медицинским приборам. Ниже перечислены самые важные из них:
- ISO TS 25238-2007 [В52];
- ISO TR 27809-2007 [В51];
- ISO/IEC 80001-1:2010 [B40];
- IEC TR 80002-1-2009 [B25] (одобрен, ожидает публикации в МЭК в качестве технического отчета не является кандидатом для гармонизации MDD);
- EN ISO 14971-2007 [В19];
- EN IEC 62304-2006 [В16];
- EN IEC 60601-1-4:1996 [B14];
- EN IEC 60601-1-6:2004 (IEC 60601-1-6:2003) [B15];
- EN IEC 62366:2007 [B17];
- EN 60601-1:1990 (IEC 60601-1:1988+A1:1991+A2:1995) [B8];
- EN 60601-1-1:2001 [B9];
- EN 60601-1-2:2001 [В10].
5.6.1.3 Интересные конкретные стандарты (примеры)
Перечисленные ниже стандарты называются "конкретными". Конкретные стандарты регламентируют вопросы безопасности и производительности, связанные с конкретным типом приборов. Ниже приведены некоторые из стандартов, которые производитель прибора мог бы использовать, объявляя соответствие различным существенным требованиям:
- EN 60601-2-27:2006 [В11];
- EN 60601-2-30:2000 [В12];
- EN 60601-2-47:2001 [В13];
- EN ISO 9919:2005 [В18];
- EN 12470-5:2003 [В7];
- EN 12470-3:2000 [В6];
- EN ISO 17510-1:2002 [В20].
5.6.2 Одобрение FDA
Центр США по приборам и радиологической медицине (U.S. Center for Devices and Radiological Health, CDRH), являющийся структурным подразделением Управления по пищевым продуктам и лекарственным средствам США (Food and Drug Administration, FDA), уполномочен разрешать выпуск изделий на рынок медицинских приборов в США. Определение медицинского прибора в статье Sec 201(h) федерального закона FD&C содержит 16 классов регулирования (21 CFR, part 800-1299) [В22]:
- клиническая химия и клиническая токсикология;
- гематология и патология;
- иммунология и микробиология;
- анестезиология;
- сердечно-сосудистая система;
- стоматология;
- отоларингология;
- гастроэнтерологические и урологические изделия;
- общая и пластическая хирургия;
- общее больничное и персональное использование;
- неврология;
- офтальмология;
- ортопедия и физиотерапия;
- акушерство и гинекология;
- радиология.
FDA использует классификацию, основанную на риске, уровне регистрационного контроля и управлении типом представления на регистрацию. Существует примерно 1700 общих типов приборов, которые разделяют на три класса, дополненные так называемым классом с исключениями 510(k) exempt (таблица 7).
|
Классификация |
510(k) exempt |
Класс I |
Класс II |
Класс III |
|
Уровень контроля при регистрации |
Очень низкий |
Низкий |
Средний |
Высокий |
|
Тип представления на регистрацию |
Общий контроль |
Общий контроль, предпродажное уведомление или форма 510(k) |
Общий и специальный контроль, представление формы 510(k) |
Общий и специальный контроль, предпродажное одобрение |
В зависимости от уровня риска, связанного с применением медицинского прибора, процесс одобрения 510(k), осуществляемый FDA, может быть более сложным. Уровень требуемого контроля при регистрации и тип представления на регистрацию изменяются при повышении риска. Два упомянутых типа представления на регистрацию, общий контроль и специальный контроль предусматривают следующее:
- общий контроль:
1) базовые уполномоченные органы по регистрации медицинских изделий, предусмотренные FDA;
2) применим к медицинским приборам независимо от классификации, которые подвергаются предпродажному и послепродажному регулированию;
3) регистрационная информация предприятия и список приборов;
4) предпродажное уведомление или форма 510(k), если не является исключением;
5) маркировка;
6) использование несоответствующего товарного знака;
7) фальсификация;
8) системы качества;
9) записи и отчеты/отчеты по медицинскому изделию;
- специальный контроль:
1) исследование послепродажного надзора;
2) регистры пациентов;
3) руководства (например, руководство по перчаткам);
4) обязательный стандарт производительности;
5) рекомендации или другие действия;
6) специальная маркировка (например, 882.5970 и краниальный ортез).
Двумя наиболее распространенными способами выпуска изделия на рынок США являются предпродажное уведомление, инициирующее процесс одобрения 510(K) и демонстрирующее существенную эквивалентность другим, уже зарегистрированным, изделиям, или предпродажное одобрение на основе проверки безопасности и эффективности изделий (доказанных клиническими данными).
Ранним шагом процесса реализации является деятельность по планированию, включая, к примеру, следующие действия:
- планирование ресурсов: рабочая сила и технические ресурсы, тестовая среда и необходимая экспертиза;
- планирование разработки: определение задач, которые можно оценить, и поручение их выполнения конкретным разработчикам;
- участие потребителя: в течение всего процесса реализации для полного удовлетворения нужд потребителя;
- техническая интеграция: интеграция с уже существующими приборами или программным обеспечением;
- планирование зависимости: планирование порядка решения задач в зависимости от их приоритета;
- анализ безопасности: построение модели угроз, классификация уровней безопасности определенных задач;
- управление рисками: задачи с более высоким риском требуют особого внимания и должны решаться тщательнее. Более подробно управление рисками описано в 5.3;
- управление испытаниями (тестированием): разработка программ и методик тестирования, а также контрольных примеров;
- план внедрения: условия внедрения и возможности индивидуальной настройки.
Кроме того, в среде ПМП особое внимание необходимо уделять следующим аспектам:
- вопросы нормативно-правового регулирования: существующие стандарты и требования по сертификации (дополнительную информацию см. в 5.4):
1) Управление по пищевым продуктам и лекарственным средствам США (FDA), CDRH: предпродажное одобрение всех медицинских приборов, а также надзор за их производством, показателями эффективности и безопасностью;
2) Директива по медицинским приборам (93/42/ЕЕС [В53]): гармонизация законодательства Европейского союза по медицинским приборам.
На этом шаге стандарты ИИЭР 11073 ПМП могут оказаться полезными, поскольку описывают уже существующие компоненты. Одним из подготовительных шагов разработки проекта является выбор тех приборов, которые могут быть полезными для него. Это позволяет экономить усилия по разработке модулей и интерфейсов на последующих стадиях проекта.
К ожидаемым результатам относятся, например, план разработки системы, блок-схема проекта, зависимости проекта и техническое задание.
После формального документирования требований пользователя на их основе разрабатываются требования к программному обеспечению. В процессе разработки некоторые элементы требований пользователя воплощаются с помощью информационных и коммуникационных технологий. Для выполнения других его требований понадобится работа с бумажными документами. В результате анализа требований к программному обеспечению создается набор документов, точно описывающих, что должно делать программное обеспечение для удовлетворения требований пользователя. Пользователи по-прежнему вовлечены в анализ требований к программному обеспечению, но большая часть работы выполняется инженерами.
Обычно для создания системы необходимо много компонентов программного обеспечения, взаимодействующего с приборами. Документы требований существуют как для системы в целом, так и для всех ее частей. Прежде всего необходимо выделить различные элементы системы в варианте использования, представленном в 3.3 (рисунок 16).

Рисунок 16 - Роли участников в примере варианта использования
В данном примере измерительным прибором является агент в соответствии с определениями, приведенными в стандартах ИИЭР 11073. Разные типы агентов используются медицинскими специалистами в разных ситуациях, и выбор агентов может со временем меняться. В целом система остается той же самой.
В нашем примере используются монитор кровяного давления и велоэргометр, а фитнес-тренер или медицинский специалист по здравоохранению получают доступ к результатам измерений, чтобы дать совет. В результате анализа требований к программному обеспечению необходимо составить подробное описание каждого состояния, событий и действий всего рабочего процесса, всех входных и выходных данных, а также всех возможных сценариев завершения процесса. Например, пользователь/пациент нажимает определенную кнопку на велоэргометре, чтобы начать сеанс тренировки. Пациент тренируется полчаса и затем предоставляет фитнес-тренеру данные о своей тренировке. Даже в таком очень простом варианте использования необходимо получить ответы на несколько (демонстрационных) вопросов:
- каким образом тренажер узнает, кто им пользуется (идентификация или авторизация)?
- что произойдет с данными о тренировке, если пользователь/пациент не сможет завершить сеанс их сбора и передачи?
- разрешается ли фитнес-тренеру просматривать данные о тренировке всех пользователей/пациентов или же только отдельной группы пользователей/пациентов?
- каким образом фитнес-тренер получает доступ к данным о тренировке?
- какая технология передачи данных полезна для данного случая?
- что произойдет, если данные о тренировке не удастся передать (например, в случае ошибки сетевого соединения)?
При анализе требований к программному обеспечению рассматриваются гораздо более сложные вопросы и проблемы, требующие пошагового рассмотрения. Детальные описания рабочих процессов, построенные на основе требований пользователей, изложенных в повествованиях и вариантах использования, должны быть задокументированы и просмотрены всеми заинтересованными сторонами, включая пользователей/пациентов, фитнес-тренеров, медицинских специалистов, обладающих некоторыми техническими познаниями, техников по обслуживанию и производителей приборов. Некоторые из документов анализа требований к программному обеспечению являются подробными диаграммами рабочих процессов с определенными входными и выходными параметрами, конкретными конструкциями вариантов использования и определениями модулей, составленными для решения задач разработки программного обеспечения. Конечно, в течение всего процесса анализа необходимо учитывать риски и управление безопасностью.
Результаты анализа могут включать в себя, например, детальную спецификацию требований к системе, диаграммы вариантов использования и блок-схемы.
По завершении документирования требований пользователей и требований к программному обеспечению начинается работа над архитектурой программного обеспечения. Архитектура программного обеспечения показывает все модули, образующие полную систему. Она разбивает большие проекты на меньшие компоненты программного обеспечения, модули и строительные блоки. В проекте архитектуры точно указано, за какую задачу отвечает каждый модуль. Позже проводятся детальное проектирование этих модулей и их параллельная разработка меньшими группами разработчиков. Архитектура программного обеспечения также используется для принятия решений о мерах управления рисками, подлежащих реализации.
Поскольку детальное проектирование и реализация программного обеспечения зависят от архитектуры, то нередко проводится техническая оценка архитектуры. Оценка полагается успешной, а архитектура программного обеспечения считается завершенной, если все требования к программному обеспечению охвачены, а всем необходимым функциям найдены соответствующие места, где они будут реализованы точно поименованными модулями программного обеспечения.
Архитектура программного обеспечения не описывает детали того, как модули программного обеспечения будут реализовывать свои функции. Это будет описано только на следующем шаге, в детализированном проекте, в соответствии с 5.10.
Такие стандарты, как серия ИСО/ИИЭР 11073 ПМП, ISO/HL7 27931:2009 [В23] (прикладной протокол электронного обмена данными HL7), или руководство по архитектуре Continue Health Alliance предоставляют полезную информацию по архитектурным решениям и другим детально рассмотренным идеям проектирования. Среди прочего они описывают эталонную архитектуру (или шаблон). Наличие доступного описания эталонной архитектуры помогает проектированию реально используемой архитектуры программного обеспечения во многих отношениях, например:
- использование существующего стабильного набора подтвержденных понятий и идей ускоряет процесс разработки и помогает достичь хороших результатов;
- многие стандарты можно использовать как руководство по реализации архитектурных строительных блоков. Это облегчает процесс проектирования на дальнейших, более детальных этапах;
- описания доступны более широкой аудитории. Это особенно важно при увеличении масштаба систем, когда отдельные части разрабатываются разными группами производителей или уже доступны на рынке в виде хорошо зарекомендовавших себя стабильных продуктов;
- агент и менеджер в том виде, как они описаны в ИСО/ИИЭР 11073-20601:2010(E) [В48] и ИИЭР Std 11073-20601аТМ-2010 [В36], являются типичными примерами строительных блоков. В реально существующем проекте они могут использоваться как элементы архитектуры, требуемые определенным рабочим процессом;
- стандартная конфигурация специализации прибора является хорошей отправной точкой в начале разработки. Расширенную конфигурацию всегда можно интегрировать позже.
Организация Continua Health Alliance описала эталонные классы приборов и топологию системы в документе Continua Design Guidelines. Краткий обзор приведен в 3.1. Эти и другие гармонизированные документы являются богатым источником архитектурных идей, пригодных для использования в реальных проектах. Руководство Continua Design Guidelines во многих отношениях ссылается на стандарты ИИЭР 11073 ПМП.
Процесс детального проектирования обычно описывает технические аспекты всех элементов архитектуры программного обеспечения. Стандарты ИИЭР 11073 ПМП предоставляют много спецификаций модулей программного обеспечения, например:
- модель предметной области описывает такие технологические детали, как наборы классов с их атрибутами и методами, типы атрибутов и объекты, настроенные на конкретные цели использования с помощью атрибутов классов. Атрибуты могут быть обязательными, необязательными или условными, могут иметь постоянные или переменные значения. Для описания структур данных в модели предметной области используется нотация АСН.1;
- "правила кодирования" описывают согласованные методы генерации стандартизированных двоичных сообщений. Эти сообщения передаются между устройствами по кабельным или радиоканалам и затем декодируются без потери информации, при этом используется тот же набор правил кодирования. Правила кодирования определены для оптимизированного отображения избранного подмножества АСН.1 на двоичный формат передаваемых данных;
- описания специализаций приборов, приведенные в ИИЭР 11073 ПМП, содержат богатый набор детально представленных понятий, относящихся к приборам и модальностям. Он включает в себя объект MDS, в том числе его атрибуты, методы и события; стандартный и расширенный механизмы конфигурации; числовые объекты.
Вся важная информация по реализации, посвященная функциям ассоциации, конфигурирования и создания отчетов, подробно представлена в описаниях специализаций приборов, которые также включают в себя примеры диаграмм последовательности, включенные в приложение В.
Производитель разрабатывает программный код модуля программного обеспечения и выполняет его верификацию. Детальный проект должен быть преобразован в исходный код. Кодирование представляет собой точку, в которой декомпозиция (спецификация) заканчивается и начинается сборка исполняемых программ. Для достижения требуемых характеристик программного кода следует использовать стандарты кодирования, описывающие предпочтительный стиль кодирования. Эти вопросы не входят в область применения серии стандартов 11073. В подразделе 5.4 упоминаются стандарты, к которым можно обращаться в процессе разработки медицинских приборов.
Частью процесса интеграции и тестирования является установка модулей программного обеспечения на аппаратных средствах, позволяющая получить тестируемые приложения. Эти тесты выполняются без участия реальных потребителей в соответствии с программой и методикой испытаний. На более поздних этапах некоторое тестирование выполняется на целевых объектах. Вопросы интеграции и тестирования не входят в область применения серии стандартов 11073. В подразделе 5.4 упоминаются стандарты и методы, к которым следует обращаться в процессе разработки и тестирования медицинских приборов.
Производителям, реализующим стандарты ИИЭР 11073 ПМП, доступны схемы сертификации. Важным примером служит схема сертификации Continue Health Alliance. Производители, сертифицирующие свои продукты, получают преимущество более тщательного тестирования перед выпуском этих продуктов на рынок. Сертификация позволяет пользователям без труда идентифицировать продукты, предлагающие функции интероперабельности. Наличие сертификата может также использоваться производителями в маркетинговых целях.
Выпуск системы происходит, когда конечным пользователям предоставляется ее финальная версия. Перед выпуском производитель системы должен документировать выпускаемую версию системы медицинского прибора и указать, как она была создана, а затем выполнить надлежащие процедуры по ее выпуску. Производитель должен быть способен показать, что система, созданная им с помощью процесса разработки, и есть выпускаемая система. Производитель должен также быть способен сохранить систему и инструментальные средства, использованные для ее создания, на случай, если это потребуется в будущем, а также должен хранить, упаковывать и доставлять систему таким образом, который предотвращает повреждения и неправильное использование системы. Должны быть утверждены соответствующие процедуры, обеспечивающие надлежащее выполнение этих задач со стабильными результатами. Вопросы выпуска не входят в область применения серии стандартов 11073.
Управление конфигурацией системы состоит из следующих трех основных частей:
- идентификация конфигурации:
1) определить средства идентификации элементов конфигурации. Для управления проектом производитель должен задать схему уникальной идентификации элементов конфигурации и их версий;
2) идентифицировать программное обеспечение, процесс разработки которого неизвестен. Для каждого элемента конфигурации такого программного обеспечения производитель должен задокументировать заголовок, производителя и уникальное обозначение;
3) идентифицировать документацию по конфигурации системы. Производитель должен задокументировать набор элементов конфигурации их версий, составляющих конфигурацию программного обеспечения системы;
- управление изменениями:
1) утверждать запросы на изменения. Производитель должен изменять элементы конфигурации только в ответ на утвержденный запрос на изменение;
2) реализация изменений. Производитель должен реализовать изменение в соответствии с содержанием запроса на изменение. Производитель должен идентифицировать и выполнить любые действия, которые в результате изменения необходимо повторить, включая изменения в классе информационной безопасности программных систем и их компонентов;
3) верификация изменений. Производитель должен верифицировать изменение, включая повторение любой верификации, которая перестала проходить из-за изменения;
4) предоставить средства отслеживания изменения. Производитель должен создать регистрационный журнал, с помощью которого можно отследить каждый запрос на изменение, релевантный отчет о проблеме и утверждение запроса на изменение;
- учет состояния конфигурации:
1) производитель должен сохранять записи истории изменения управляемых элементов конфигурации, включая системную конфигурацию, и обеспечить возможность их последующего извлечения.
Техническим обслуживанием называется процесс модификации системы после ее ввода в эксплуатацию с целью исправления ошибок или добавления новых функций. Новые функции могут, например, расширять диапазон типов приборов, чтобы могли генерироваться дополнительные данные, в которых заинтересована новая группа пользователей. Могут также добавляться новые системные элементы. Например, группа пользователей может принять решение о записи своих данных в общую базу данных, что изначально не планировалось.
При добавлении нового типа прибора целесообразно рассмотреть стандарты ИИЭР 11073 ПМП и другие источники, чтобы определить, был ли этот тип уже описан в качестве специализации. По аналогии с начальной стадией проектирования это может ускорить процесс спецификации изменений, закупки и реализации.
Стандарты ИСО/ИИЭР 11073 охватывают многие аспекты коммуникаций приборов в контексте интероперабельности, предоставляя технические руководства и форму заявлений о соответствии. Во многих вариантах использования этого будет недостаточно для интероперабельности. Например, могут различаться локальные политики безопасности или способы идентификации пользователей/пациентов, врачей, приборов и т.д. в определенных условиях. Поскольку эти вопросы не входят в область применения стандартов ИСО/ИИЭР 11073, то ответственность за их решение возлагается на конечного пользователя, даже если было заявлено, что приложение или система соответствуют ИИЭР 11073.
В этой сфере деятельности очень важным является сотрудничество производителей приборов, медицинских специалистов и пользователей/пациентов. Поэтому следует упомянуть следующие две организации:
- организация IHE утверждает, что "оптимальный уход за пациентом требует от поставщиков услуг и пациентов способности эффективного и безопасного создания, управления и получения доступа к объемлющим электронным медицинским картам (ЭМК). Организация IHE (Integrating the healthcare enterprise - интеграция предприятия здравоохранения) ускоряет внедрение ЭМК за счет улучшения процесса обмена информацией между медицинскими информационными системами. Целью этой организации является повышение качества, эффективности и безопасности клинических услуг за счет предоставления доступа к значимой медицинской информации для пациентов и авторизированных поставщиков услуг здравоохранения"*(13);
- некоммерческая организация Continua Health Alliance является "открытой промышленной коалицией медицинских и технологических организаций, объединенных с целью улучшения качества персональной медицинской помощи"*(14).
──────────────────────────────
*(13) Данный документ доступен по адресу: http://www.ihe.net/About/index.cfm.
*(14) Данный документ доступен по адресу: http://www.continuaalliance.org/about-the-alliance.html.
Обе эти организации способствуют сотрудничеству и интероперабельности многими способами, а также активно собирают информацию о возникающих проблемах соответствия. Например, целями организации Continua Health Alliance являются:
- разработка руководств по проектированию, помогающих производителям создавать интероперабельные датчики, домашние сети, телемедицинские платформы, а также сервисы оздоровления и улучшения самочувствия;
- создание программы сертификации изделий, позволяющей производителям использовать логотип, узнаваемый потребителями и обещающий интероперабельность с другими сертифицированными изделиями;
- сотрудничество с государственными регуляторными органами с целью предоставления методов для безопасного и эффективного управления разнообразными решениями производителей;
- сотрудничество с лидерами в отраслях здравоохранения с целью разработки новых способов возмещения затрат на предоставление персональных телемедицинских систем.
Весь сектор интероперабельности, как это следует из его названия, ориентирован на сотрудничество всех участвующих компаний, медицинских специалистов и организаций здравоохранения.
Приложение А
(справочное)
В этом приложении приведен пример более подробного описания варианта использования с примерами обработки данных, инжинирингом и другими деталями, заслуживающими обсуждения, например размеры пакетов данных, срок жизни батареи, параметры качества услуг (QoS), безопасность, настройки канала и другие характеристики времени реакции.
Доктор Хелпфул озабочен кровяным давлением Пола, у которого в последние месяцы большая нагрузка на работе, приводящая к стрессу. Доктор Хелпфул рекомендовал Полу методы релаксации и предложил ему измерять свое кровяное давление три раза в день для контроля лечения. Пол получает монитор кровяного давления вместе с программой для его мобильного телефона, предназначенной для управления этим прибором. Пол передает результаты измерения своего кровяного давления по расписанию, где бы он ни находился в течение дня. Программное обеспечение в его телефоне строит графики трендов изменения его кровяного давления с течением времени с учетом заданных целевых диапазонов, чтобы Пол мог определить, приводит ли его режим к изменению его кровяного давления и движется ли он к поставленной цели. Эти же данные передаются доктору, чтобы тот мог консультировать Пола и контролировать его лечение.
На рисунке А.1 представлена диаграмма экземпляров объектов, взятая из модели предметной области, приведенной в описании специализации 10407 (монитор кровяного давления).

Рисунок А.1 - Модель предметной области монитора кровяного давления
Как показано на рисунке А.1, модель предметной области включает в себя объект MDS и числовые объекты:
- объект MDS:
1) атрибуты, например идентификатор системы, дата и время, способ электропитания или уровень заряда батареи;
2) методы, например set-time (установка таймера);
3) события, по которым направляются отчеты;
- числовые объекты:
1) систолическое, диастолическое и среднее артериальное давление (САР);
2) пульс.
Приложение В
(справочное)
Упомянутый выше монитор кровяного давления (специализация 10407) служит еще и хорошим примером демонстрации сервисной модели и профилей транзакций. Сервисная модель определяет концептуальные механизмы для сервисов обмена данными. Эти сервисы обрабатывают сообщения, которыми обмениваются агент и менеджер. Протокольные сообщения в рамках серии стандартов ИСО/ИИЭР 11073 определены в нотации АСН.1. Подробное описание сервисной модели персональных медицинских приборов см. в ISO/IEEE 11073-20601:2010(E) [В48] и IEEE Std 11073-20601аТМ-2010 [В36].
В.1 Пример сервисной модели монитора кровяного давления
Для доступа к объектам, определенным в модели предметной области монитора кровяного давления, используются следующие несколько сервисов:
- сервис GET: используется менеджером для извлечения значений атрибутов объекта MDS, используемого агентом;
- сервис SET: используется менеджером для задания значений атрибутов объекта, используемого агентом (изменяемые атрибуты у объектов, используемых агентом монитора кровяного давления, отсутствуют);
- сервис отчета о событии (event report): используется агентом для отправки менеджеру отчетов о конфигурации и результатов измерений;
- сервис действия (action): используется менеджером для вызова действий (или методов), поддерживаемых агентом. Примером может служить метод Set-Time, используемый для установки абсолютного времени на часах реального времени агента.
В.2 Пример коммуникационной модели монитора кровяного давления
Описание монитора кровяного давления в стандарте ИСО/ИИЭР 11073-10407 содержит детальную информацию о возможных последовательностях коммуникаций, имеющих место, например:
- при процедуре ассоциации;
- при процедуре конфигурации;
- при процедуре функционирования;
- при синхронизации часов.
На рисунке В.1 показаны примеры соответствующих диаграмм последовательности.
Пример последовательности обменов информацией, упомянутый в стандарте монитора кровяного давления, показан для следующего варианта использования:
- когда пользователь включает монитор кровяного давления, менеджер еще не знает конфигурацию агента и отправляет ответ на запрос ассоциации агента с результатом acceptedunknown-config (подтверждена неизвестная конфигурация);
- получив такой ответ, агент передает менеджеру информацию о своей конфигурации. После получения подтверждения от менеджера о том, что конфигурация агента им принята, прибор агента готов отправить измерения. Оба прибора входят в режим Operating (состояние взаимодействия);
- затем менеджер может запросить атрибуты MDS объекта агента, отправив сообщение данных с командой "Remote Operation Invoke | Get" (дистанционный вызов операции | Get). В качестве ответа агент возвращает менеджеру отчет, содержащий атрибуты объекта MDS, используя сообщение данных с командой "Remote Operation Response | Get";
- на следующем шаге пользователь прибора агента выполняет одно измерение. Результат измерения передается менеджеру в форме отчета о подтверждаемом событии. После успешного получения результата измерения менеджер отправляет агенту подтверждение;
- пользователь завершает сеанс (например, нажимая на приборе соответствующую кнопку или не используя прибор дольше определенного периода времени). Вследствие этого агент завершает ассоциацию с менеджером, отправляя ему запрос на прекращение ассоциации. Менеджер возвращает ответ на этот запрос;
- когда агент запрашивает ассоциацию с менеджером в следующем сеансе измерений (например, на следующий день), то в ответе менеджера содержится подтверждение приема, так как он уже знает конфигурацию агента по предыдущему сеансу измерений. Оба прибора сразу переходят в состояние взаимодействия.
Согласно ISO/IEEE 11073-10407:2010(E) [В44] запрос на ассоциацию, отправляемый агентом менеджеру, имеет следующую структуру:
- значение версии процедуры ассоциации, используемой агентом, должно быть равно assoc-version1 (т.е. assoc-version = 0x80000000);
- значение структурного элемента DataProtoList в идентификаторе протокола данных должно быть равно data-proto-id-20601 (т.е. data-proto-id = 0x5079);
- поле data-proto-info должно содержать структуру PhdAssociationlnformation со следующими значениями параметров:

Рисунок В.1 - Диаграмма последовательности монитора кровяного давления, соответствующего специализации 10407
1) в поле functional-units могут быть установлены биты тестирования ассоциации. Никакие другие биты не должны быть установлены;
2) поле system-type должно быть равно sys-type-agent (т.е. system-type = 0x00800000);
3) поле System-Id должно быть равно значению атрибута System-Id объекта MDS агента. Менеджер может воспользоваться этим полем для идентификации монитора кровяного давления, с которым он ассоциируется, и при необходимости реализовать простую политику ограничения доступа;
4) поле dev-config-id должно быть равно значению атрибута Dev-Configuration-ld объекта MDS агента;
5) если агент поддерживает только специализацию монитора кровяного давления, то поле, указывающее режимы запроса данных (data-req-mode-capab), поддерживаемые агентом монитора кровяного давления, должно иметь значение data-req-supp-init-agent;
6) если агент поддерживает только специализацию монитора кровяного давления, то поле data-req-initmanager-count должно иметь значение 0, а поле data-req-init-agent-count - значение 1.
При использовании правил кодирования MDER пример запроса на ассоциацию, отправляемого агентом прибора устройству менеджера, будет иметь следующий вид:
|
0хЕ2 0x00 |
Тип APDU CHOICE (AarqApdu) | ||
|
0x00 0x32 |
CHOICE.Iength = 50 | ||
|
0x80 0x00 0x00 0x00 |
assoc-version | ||
|
0x00 0x01 0x00 0х2А |
data-proto-list.count = 1 | длина = 42 | ||
|
0x50 0x79 |
data-proto-id = 20601 | ||
|
0x00 0x26 |
длина data-proto-info = 38 | ||
|
0x80 0x00 |
0x00 0x00 protocolVersion | ||
|
0хА0 0x00 |
правила кодирования = MDER или PER | ||
|
0x80 0x00 |
0x00 0x00 nomenclatureVersion | ||
|
0x40 0x00 0x00 0x00 |
functionalUnits, имеет возможность тестирования ассоциации | ||
|
0x00 0x80 0x00 0x00 |
systemType = sys-type-agent | ||
|
0x00 0x08 |
длина system-id = 8 и значение | ||
|
0x11 0x22 0x33 0x44 0x55 0x66 0x77 0x07 | |||
|
0x02 0хВС |
dev-config-id - стандартная конфигурация | ||
|
0x00 0x01 |
data-req-mode-flags | ||
|
0x01 0x00 |
data-req-init-agent-count, data-req-manager count | ||
|
0x00 0x00 0x00 0x00 optionList.count = 0 | option List, length = 0 | |||
Соответствующий ответ менеджера на этот запрос ассоциации будет иметь следующую структуру:
- поле результата должно иметь одно из значений вариантов ответа, определенных в ИСО/ИИЭР 11073-20601:2010(Е) [В48] и ИИЭР Std 11073-20601аТМ-2010 [В36]. Например, если все условия протокола ассоциации выполнены, то возвращается значение accepted (принято), если менеджер распознал идентификатор конфигурации агента dev-config-id, и accepted-unknown-config (подтверждена неизвестная конфигурация) в противном случае:
- значение структурного элемента DataProtoList в идентификаторе протокола данных должно быть равно data-proto-id-20601 (т.е., data-proto-id = 0x5079);
- поле data-proto-info должно содержать структуру PhdAssociationlnformation со следующими значениями параметров:
1) версия протокола обмена данными должна быть равна protocol-version1 (т.е. protocol-version = 0x80000000);
2) менеджер должен возвратить идентификатор одного правила кодирования, которое поддерживается и им, и агентом. Менеджер должен поддерживать как минимум правила кодирования MDER;
3) используемая версия номенклатуры должна быть равна nom-version1 (т.е. nomenclature-version = 0x80000000);
4) в поле functional-units должны быть сброшены все биты, кроме тех, что относятся к тестированию ассоциации;
5) поле system-type должно быть равно sys-type-manager (т.е. system-type = 0x80000000);
6) поле System-Id должно содержать уникальный идентификатор системы устройства менеджера, имеющий формат расширенного уникального идентификатора (64 бита) (EUI-64);
7) поле dev-config-id должно быть равно manager-config-response (0);
8) поле data-req-mode-capab должно быть равно 0;
9) поля data-req-init-*-count должны быть равны 0.
Ниже приведен пример кодирования ответа менеджера на запрос ассоциации при неизвестной конфигурации агента:
|
0хЕ3 0х00 |
Тип APDU CHOICE (AareApdu) | |
|
0x00 0х2С |
CHOICE.Iength = 44 | |
|
0x00 0x03 |
результат = accepted-unknown-config | |
|
0x50 0x79 |
data-proto-id = 20601 | |
|
0x00 0x26 |
data-proto-info length = 38 | |
|
0x80 0x00 0x00 0x00 |
protocol-version | |
|
0x80 0x00 |
encoding-rules = MDER | |
|
0x80 0x00 0x00 0x00 |
nomenclature-version | |
|
0x00 0x00 0x00 0x00 |
functional-units | |
|
0x80 0x00 0x00 0x00 |
system-type = sys-type-manager | |
|
0x00 0x08 |
длина svstem-id = 8 и значение | |
|
0x11 0x22 0x33 0x44 0x55 0x66 0x77 0x88 | ||
|
0x00 0x00 |
dev-config-id в ответе менеджера всегда равно 0 | |
|
0x00 0x00 0x00 0x00 |
data-req-mode-capab в ответе менеджера всегда равно 0 | |
|
0x00 0x00 0x00 0x00 |
option-list.count = 0 | option-list.length = 0 | |
Приложение С
(справочное)
В стандартах ИСО/ИИЭР 11073-20601:2010(E) [В48] и ИИЭР Std 11073-20601аТМ-2010 [В36] сделано несколько предположений о поведении транспортных механизмов нижних уровней. При необходимости ИСО/ИИЭР 11073-20601:2010(Е) [В48] и ИИЭР Std 11073-20601аТМ-2010 [В36] идентифицируют предположения, для которых требуется непосредственная поддержка транспортным уровнем или "прослойкой" над транспортным уровнем. Данный подход всегда позволяет осуществлять поддержку разных способов транспорта, например кабельной ЛВС, беспроводной ЛВС и других. Определение способов транспорта дается другими группами и консорциумами. Оно не входит в область применения настоящего стандарта. При практической реализации взаимодействия агента с менеджером стандарты ИСО/ИИЭР 11073-20601:2010(E) [В48] и ИИЭР Std 11073-20601аТМ-2010 [В36] должны быть рассмотрены в тесной привязке к различным каналам транспорта. Поэтому в настоящем отчете представлен краткий обзор элементов, участвующих в примере профиля Health Device Profile (HDP) беспроводной ПВС.

Рисунок С.1 - Коммуникационная модель ИСО/ИИЭР 11073-20601
На рисунке С.1 показан обзор коммуникационной модели. Одним из ключевых элементов коммуникаций, описанных в ИСО/ИИЭР 11073-20601:2010(E) [В48] и ИИЭР Std 11073-20601аТМ-2010 [В36], является блок данных протокола прикладного уровня (application protocol data unit, APDU), т.е. типичный пакет данных, передаваемый между агентом и менеджером. Существуют блоки APDU, предназначенные для многих целей, например ассоциация, конфигурация, передача измеренных данных.
Стандарты ИСО/ИИЭР 11073-20601:2010(Е) [В48] и ИИЭР Std 11073-20601аТМ-2010 [В36] определяют два разных типа транспортных каналов: "надежный" и "максимально хороший". "Надежный" транспортный канал используется для всех сообщений, являющихся значимыми для взаимодействия агента и менеджера в целом. Например, взаимодействие агента и менеджера обычно зависит от управляющего сообщения, которое они используют для согласования параметров конфигурации. Это сообщение должно проходить по каналу без потери или искажения. Ошибочные или пропавшие сообщения такого типа вызывают серьезные проблемы. Поэтому управляющие сообщения должны передаваться по надежному каналу. Но в тех случаях, когда в коммуникациях участвуют потоковые данные, потеря или искажение одного пакета не приводит к значительным проблемам. Для данных этого типа обычно используется "максимально хороший" канал.
Стандарты ИСО/ИИЭР 11073-20601:2010(E) [В48] и ИИЭР Std 11073-20601аТМ-2010 [В36] описывают несколько следующих характеристик, общих как для надежных коммуникаций, так и для максимально хороших коммуникаций:
- блок APDU может обрабатываться любым образом, но эффект этой обработки должен быть эквивалентен атомарной транзакции;
- блоки APDU могут быть сегментированы и повторно собраны во время транспортировки или же они могут быть переданы как единое целое;
- размер блоков APDU в направлении от агента к менеджеру не должен превышать 63K (64 512) байтов;
- размер блоков APDU в направлении от менеджера к агенту не должен превышать 8K (8192) байтов;
- общая длина блока APDU должна передаваться в коммуникационные уровни и возвращаться от них как метаданные;
- коммуникаций должен указывать общую длину APDU для коммуникационного слоя, являющегося его пиром (узлом).
Как показано на рисунке С.2, коммуникационные каналы разделены на каналы "максимально хорошие" ("М.х") и надежные ("Над.") каналы. Хотя бы один надежный канал должен присутствовать всегда, а "максимально хорошие" коммуникации являются необязательными. Эти типы каналов имеют следующие характеристики:
- надежная коммуникация:
1) блоки APDU должны приниматься в порядке отправления;
2) блоки APDU не должны содержать обнаруживаемые ошибки;
3) блоки APDU не должны дублироваться;
4) блоки APDU не должны теряться;
5) APDU обычно отправляются оперативно, но могут быть задержаны из-за попыток повторной передачи;
6) коммуникационные уровни должны предоставлять механизм оповещения прикладного уровня о получении полного блока APDU;
7) коммуникационные уровни должны предоставлять механизм оповещения прикладного уровня об установлении соединения между агентом и менеджером;
8) коммуникационные уровни должны предоставлять механизм оповещения прикладного уровня о прекращении соединения или разъединении;
9) коммуникационные уровни должны предоставлять механизм оповещения прикладного уровня о невозможности передачи блока APDU;
10) потоки управления между отправляющим и принимающим приложениями должны поддерживаться для полных блоков APDU. На более низких уровнях потоки управления могут быть реализованы для фрагментов блока APDU;
- "максимально хорошая" коммуникация:
1) блок APDU может быть доставлен не в порядке отправления. Может оказаться, что коммуникационный канал сам меняет порядок пакетов, независимо от работы трансмиттера ПМП;
2) блок APDU может быть потерян или продублирован;
3) блоки APDU могут поступать со скоростью, вызывающей переполнение буфера получателя.
Положения стандартов ИСО/ИИЭР 11073-20601:2010(E) [В48] и ИИЭР Std 11073-20601аТМ-2010 [В36], а также реализация типов коммуникаций могут интерпретироваться разными способами. Профиль HDP (HDP_SPEC_V10) является одной из реализаций, служащей примером для описания некоторых технических деталей.

Рисунок С.2 - Обзор профиля HDP
Профиль многоканальной адаптации (multichannel adaptation profile, МСАР) предоставляет канал управления, позволяющий создать несколько каналов данных и управлять ими. Профиль МСАР основан на протоколе управления логической связью и уровнем адаптации (Logical Link Control and Adaption Layer Protocol, L2CAP). Первый канал L2CAP, образованный между двумя экземплярами МСАР, является надежным "каналом управления". Он облегчает создание "каналов данных" (надежных или "максимально хороших"/потоковой передачи), по которым осуществляется обмен прикладными данными, определенными в спецификациях обмена данными.
Для других транспортных каналов существуют аналогичные решения по созданию коммуникационных каналов (как надежных, так и "максимально хороших"), которые могут применяться для обмена блоками APDU, определенными в стандарте ИСО/ИИЭР 11073-20601:2010(Е) [В48] и ИИЭР Std 11073-20601аТМ-2010 [В36]. Более глубокое рассмотрение этого вопроса не входит в область применения настоящего стандарта.
Библиография
Библиографические ссылки даны на источники, предоставляющие дополнительный или вспомогательный материал, но не являющиеся необходимыми для понимания и реализации настоящего стандарта. Ссылки на эти источники приводятся исключительно в справочных целях.
|
[В1] |
Blake-Wilson, S., D. Brown, and P. Lambert, Request for Comments 3278 - Use of Elliptic Curve Cryptography (ECC) Algorithms in Cryptographic Message Syntax (CMS), RFC 3278, Apr. 2002*(15) |
|
[В2] |
Blake-Wilson, S., N. Bolyard, V. Gupta, C. Hawk, and B. Moeller, Request for Comments 4492 - Elliptic Curve Cryptography (ECC) Cipher Suites for Transport Layer Security (TLS), RFC 4492, May 2006*(16) |
|
[В3] |
Continua Health Alliance, Continua Design Guidelines Version 1.0, June 2009 |
|
[В4] |
Dierks, Т., and C. Allen, Request for Comments 2246 - SSL/TLS The TLS Protocol Version 1.0. RFC 2246, Jan. 1999*(17) |
|
[В5] |
Dierks, Т., and E. Rescorla, Request for Comments 5246 - The Transport Layer Security (TLS) Protocol Version 1.2, RFC 5246, Aug. 2008*(18) |
|
[В6] |
EN 12470-3:2000, Clinical thermometers - Part 3: Performance of compact electrical thermometers (non-predictive and predictive) with maximum device*(19) |
|
[В7] |
EN 12470-5:2003, Clinical thermometers - Part 5: Performance of infra-red ear thermometers (with maximum device) |
|
[В8] |
EN 60601-1:1990 (IEC 60601-1:1988+A1:1991+A2:1995), Medical electrical equipment - Part 1: General requirements for safety |
|
[В9] |
EN 60601-1-1:2001, Medical electrical equipment - Part 1-1: General requirements for safety - Collateral standard: Safety requirements for medical electrical systems |
|
[В10] |
EN 60601-1-2:2001, Medical electrical equipment - Part 1-2: General requirements for safety - Collateral standard: Electromagnetic compatibility - Requirements and tests |
|
[В11] |
EN 60601-2-27:2006, Medical electrical equipment - Part 2-27: Particular requirements for the safety, including essential performance, of electrocardiographic monitoring equipment |
|
[В12] |
EN 60601-2-30:2000, Medical electrical equipment - Part 2-30: Particular requirements for the safety, including essential performance, of automatic cycling non-invasive blood pressure monitoring equipment |
|
[В13] |
EN 60601-2-47:2001, Medical electrical equipment - Part 2-47: Particular requirements for the safety, including essential performance, of ambulatory electrocardiographic systems |
|
[В14] |
EN IEC 60601-1-4:1996+A1:1999, Medical electrical equipment - Part 1: General requirements for safety - 4. Collateral standard: Programmable electrical medical systems (MDD harmonized) |
|
[В15] |
EN IEC 60601-1-6:2004 (IEC 60601-1-6:2003), Medical electrical equipment - Part 1-6: General requirements for safety - Collateral standard: Usability (MDD harmonized) |
|
[В16] |
EN IEC 62304:2006, Medical device software - Software life cycle processes (MDD harmonized) |
|
[В17] |
EN IEC 62366:2007, Medical devices - Application of usability engineering to medical devices (MDD harmonized) |
|
[В18] |
EN ISO 9919:2005, Medical electrical equipment - Particular requirements for the basic safety and essential performance of pulse oximeter equipment for medical use (ISO 9919:2005) |
|
[В19] |
EN ISO 14971:2007, Medical devices - Application of risk management to medical devices (MDD harmonized) |
|
[В20] |
EN ISO 17510-1:2002, Sleep apnoea breathing therapy - Part 1: Sleep apnoea breathing therapy devices |
|
[В21] |
EN ISO 18778-2005, Respiratory equipment - Infant monitors - Particular requirements |
|
[В22] |
Food and Drug Administration, Department of Health and Human Services: FD&C Act*(20) |
|
[В23] |
Health Level Seven International (HL7), ISO/HL7 27931:2009, Data Exchange Standards - Health Level Seven Version 2.5 - An application protocol for electronic data exchange in healthcare environments*(21) |
|
[В24] |
IEC 62304-2006, Medical Device Software - Software Life Cycle Processes*(22) |
|
[В25] |
IEC/TR 80002-1-2009, Medical device software - Part 1: Guidance on the application of ISO 14971 to medical device software (Approved, at IEC waiting for publication, as a TR, not a candidate for MDD harmonization) |
|
[В26] |
IEEE Std 11073-00101TM-2008, Health informatics - Point-of-care medical device communication - Part 00101: Guide - Guidelines for the use of RF wireless technology*(23), *(24) |
|
[В27] |
IEEE Std 11073-10406TM-2011, Health informatics - Personal health device communication - Device specialization - Part 10406: Basic electrocardiograph (ECG) (1- to 3-lead ECG) |
|
[В28] |
IEEE Std 11073-10417TM-2011, Health informatics - Personal health device communication - Part 10417: Device specialization - Glucose meter |
|
[В29] |
IEEE Std 11073-10418TM-2011, Health informatics - Personal health device communication - Device specialization - Part 10418: International Normalized Ratio (INR) monitor |
|
[В30] |
IEEE Std 11073-10420TM-2010, Health informatics - Personal health device communication - Device specialization - Part 10420: Body composition analyzer |
|
[В31] |
IEEE Std 11073-10421TM-2010, Health informatics - Personal health device communication - Device specialization - Part 10421: Peak expiratory flow monitor (peak flow) |
|
[В32] |
IEEE Std 11073-10441TM-2008, Health informatics - Personal health device communication - Device specialization - Part 10441: Cardiovascular fitness and activity monitor |
|
[В33] |
IEEE Std 11073-10442TM-2008, Health informatics - Personal health device communication - Device specialization - Part 10442: Strength fitness equipment |
|
[В34] |
IEEE Std 11073-10471TM-2008, Health informatics - Personal health device communication - Device specialization - Part 10471: Independent living activity hub |
|
[В35] |
IEEE Std 11073-10472TM-2010, Health informatics - Personal health device communication - Device specialization - Part 10472: Medication monitor |
|
[В36] |
IEEE Std 11073-20601aTM-2010, Health informatics - Personal health device communication - Application profile - Optimized Exchange Protocol Amendment 1 |
|
[В37] |
Integrating the Healthcare Enterprise (IHE), Initiative by healthcare professionals and industry, promotes the coordinated use of established standards such as DICOM and HL7*(25) |
|
[В38] |
ISO 13485-2009, Medical Devices - Quality Management Systems - Requirements for Regulatory Purposes*(26) |
|
[В39] |
ISO/IEC 27002:2005, Information Technology - Security Techniques - Code of Practice for Information Security Management*(27) |
|
[В40] |
ISO/IEC 80001-1:2010, Application of Risk Management for IT-Networks Incorporating Medical Devices*(28) |
|
[В41] |
ISO/IEEE 11073-10101:2004(E), Health informatics - Point-of-care medical device communication - Part 10101: Nomenclature |
|
[В42] |
ISO/IEEE 11073-10201:2004(E), Health informatics - Point-of-care medical device communication - Part 10201: Domain information model |
|
[В43] |
ISO/IEEE 11073-10404:2010(E), Health informatics - Personal health device communication - Part 10404: Device specialization - Pulse oximeter |
|
[В44] |
ISO/IEEE 11073-10407:2010(E), Health informatics - Personal health device communication - Part 10407: Device specialization - Blood pressure monitor |
|
[В45] |
ISO/IEEE 11073-10408:2010(E), Health informatics - Personal health device communication - Part 10408: Device specialization - Thermometer |
|
[В46] |
ISO/IEEE 11073-10415:2010(E), Health informatics - Personal health device communication - Part 10415: Device specialization - Weighing scale |
|
[В47] |
ISO/IEEE 11073-20101:2004(E), Health informatics - Point-of-care medical device communication - Part 20101: Application profile - Base standard |
|
[В48] |
ISO/IEEE 11073-20601:2010(E), Health informatics - Personal health device communication - Application profile - Optimized Exchange Protocol |
|
[В49] |
ISO/IEEE 11073-30200:2004(E), Health informatics - Point-of-care medical device communication - Part 30200: Transport profile - Cable connected |
|
[В50] |
ISO/IEEE 11073-30300:2004(E), Health informatics - Point-of-care medical device communication - Part 30300: Transport profile - infrared wireless |
|
[В51] |
ISO TR 27809-2007, Health informatics - Measures for ensuring patient safety of health software (as a TR is not MDD harmonized) |
|
[В52] |
ISO TS 25238-2007, Health informatics - Classification of safety risks from health software (as a TS is not MDD harmonized) |
|
[В53] |
MDD: 93/42/EEC, Medical Device Directive |
|
[В54] |
Rescorla, E., Request for Comments 2818 - HTTP Over TLS. RFC 2818, May 2000*(29) |
──────────────────────────────
*(15) Данный документ можно найти по адресу: http://www.ietf.org/rfc/rfc3278.txt.
*(16) Данный документ можно найти по адресу: http://tools.ietf.org/html/rfc4492.
*(17) Данный документ можно найти по адресу: http://www.ietf.org/rfc/rfc2246.txt.
*(18) Данный документ можно найти по адресу: http://tools.ietf.org/html/rfc5246.
*(19) Данный документ можно получить от Европейского комитета по стандартизации (CEN) (http://www.cen.eu/).
*(20) Данный документ можно найти по адресу: http://ecfr.gpoaccess.gov/cgi/t/text/text-idx?sid=118572e945357a1f65ed669 c4ee212e6&c=ecfr&tpl=/ecfrbrowse/Title21/21tab_02.tpl.
*(21) Издания HL7 можно получить у Health Level Seven International (http://www.hl7.org).
*(22) Издания МЭК можно получить у Международной электротехнической комиссии (http://www.iec.ch/). Издания МЭК также доступны в США через Национальный институт американских стандартов (http://www.ansi.org/).
*(23) Стандарты и продукты ИИЭР, упомянутые в данном разделе, являются торговыми марками Института инженеров по электротехнике и электрике, Inc.
*(24) Издания ИИЭР можно получить от Института инженеров по электротехнике и электрике (http://standards.ieee.org/).
*(25) Издания IHE доступны посредством Интеграции учреждений здравоохранения (http://www.ihe.net).
*(26) Издания ИСО можно получить от Центрального секретариата ИСО (http://www.iso.org/). В США издания ИСО можно получить от Национального института американских стандартов (http://www.ansi.org/).
*(27) Издания ИСО/МЭК можно получить от Центрального секретариата ИСО (http://www.iso.org/). В США издания ИСО/МЭК можно получить от Национального института американских стандартов (http://www.ansi.org/).
*(28) Издания ИСО/ИИЭР можно получить от Центрального секретариата ИСО (http://www.iso.org/). В США издания ИСО/ИИЭР можно получить от Института инженеров по электротехнике и радиоэлектронике (http://standards.ieee.org/).
*(29) Данный документ доступен по адресу: http://www.ietf.org/rfc/rfc2818.txt.


