РД 52.24.358-2019 МАССОВАЯ КОНЦЕНТРАЦИЯ ЖЕЛЕЗА ОБЩЕГО И ЖЕЛЕЗА ВАЛОВОГО В ВОДАХ. МЕТОДИКА ИЗМЕРЕНИЙ ФОТОМЕТРИЧЕСКИМ МЕТОДОМ С 1,10-ФЕНАНТРОЛИНОМ
Дата введения - 1 ноября 2019 г.
Взамен РД 52.24.358-2006
Введение
Железо является одним из самых распространенных элементов земной коры, что обусловливает его постоянное присутствие в природных водах. Наиболее распространенными природными минералами железа являются магнетит (магнитный железняк) Fe3O4, гематит (красный железняк) Fe2O3, пирит (железный колчедан) Fe2S3.
Основным природным источником поступления железа в поверхностные воды являются процессы химического выветривания горных пород, сопровождающиеся их растворением. Значительная часть железа поступает также с подземным стоком.
Антропогенное загрязнение водных объектов соединениями железа обусловлено их выносом со сточными водами многих отраслей промышленности, прежде всего горнодобывающих, металлургических, химических предприятий.
Железо является одним из важнейших элементов, принимающих активное участие в биохимических процессах, протекающих в живых организмах. Недостаточное содержание железа в воде может быть лимитирующим фактором в развитии водной растительности. Этим объясняется то, что железо часто включают в группу биогенных элементов.
Железо в соединениях, присутствующих в водах, может иметь две валентности: Fe (II) и Fe (III). Соединения железа представлены в водах тремя миграционными формами - растворённой, коллоидной и взвешенной. Растворённое железо может находиться в ионной форме, в виде гидроксокомплексов типа [Fe(OH)2]+; [Fe2(OH)2]4+; [Fe2(OH)3]+; [Fe2(OH)3]3+; [Fe(OH)3]- и комплексных соединений с минеральными и органическими веществами вод (преимущественно в виде комплексов с гуминовыми и фульвокислотами).
На состав и формы нахождения соединений железа в водах оказывают существенное влияние такие факторы, как значения рН и Eh, присутствие природных комплексообразователей (гуминовых и фульвокислот), содержание растворенного кислорода, сероводорода, диоксида углерода, а также наличие микроорганизмов, окисляющих и восстанавливающих железо.
Вследствие гидролиза ионы Fe (III) при рН> 3 превращаются в гидратированные нерастворимые оксиды железа, которые составляют значительную долю валового содержания железа в водах. Присутствие в водах гуминовых и фульвокислот за счет образования довольно прочных комплексов предотвращает в той или иной степени гидролиз Fe (III) и способствует поддержанию его в растворенном состоянии. По этой причине в гумифицированных водах содержание растворенного железа как правило выше, чем в водах, где гумусовых веществ мало.
Для Fe (II) более характерной является ионная форма, однако существовать Fe (II) может только при низких значениях окислительно-восстановительного потенциала (при дефиците кислорода) и низких значениях рН. Восстановлению Fe (III) до Fe (II) способствует присутствие гуминовых, танниновых и фульвокислот.
Для обозначения суммарной концентрации растворенных форм железа в воде Fe (II) и Fe (lll) используют термин "железо общее". Термин "валовое содержание" или "валовая концентрация" используется, когда говорят о суммарном содержании в воде как растворенных, так и взвешенных форм железа.
В речных и озерных водах концентрация железа общего в большинстве случаев находится в пределах от 0,01 до 1,0 мг/дм3. Она подвержена заметным сезонным изменениям, обусловленным как участием этого металла в физико-химических и биологических процессах, активно протекающих в водной среде, так и гидрологическим режимом водного объекта. В болотных, кислых шахтных, грунтовых и термальных водах концентрации железа могут достигать нескольких десятков и даже сотен миллиграммов в кубическом дециметре.
Содержание железа общего в природных водах нормируется. Предельно допустимая концентрация (ПДК) растворенного железа для водных объектов рыбохозяйственного значения составляет 0,1 мг/дм3, для водных объектов хозяйственно-питьевого и культурно-бытового водопользования нормируется валовое содержание железа, для них ПДК составляет 0,3 мг/дм3.
Настоящий руководящий документ устанавливает методику измерений (далее - методика) массовой концентрации железа общего и железа валового (далее - железо) в пробах природных и очищенных сточных вод в диапазоне от 0,02 до 50,0 мг/дм3 фотометрическим методом с 1,10-фенантролином.
Настоящий руководящий документ предназначен для использования в лабораториях, осуществляющих анализ природных и очищенных сточных вод.
В настоящем руководящем документе использованы ссылки на следующие нормативные документы:
ГОСТ 12.1.005-88 Система стандартов безопасности труда. Общие санитарно-гигиенические требования к воздуху рабочей зоны
ГОСТ 12.1.007-76 Система стандартов безопасности труда. Вредные вещества. Классификация и общие требования безопасности
ГОСТ 17.1.5.04-81 Охрана природы. Гидросфера. Приборы и устройства для отбора, первичной обработки и хранения проб природных вод. Общие технические условия
ГОСТ 17.1.5.05-85 Охрана природы. Гидросфера. Общие требования к отбору проб поверхностных и морских вод, льда и атмосферных осадков
ГОСТ 31861-2012 Вода. Общие требования к отбору проб
ГОСТ Р ИСО 5725-6-2002 Точность (правильность и прецизионность) методов и результатов измерений. Часть 6. Использование значений точности на практике
МИ 2881-2004 Государственная система обеспечения единства измерений. Методики количественного химического анализа. Процедуры проверки приемлемости результатов анализа
РД 52.24.521-2009 Массовая концентрация железа (II) в водах. Методика выполнения измерений фотометрическим методом с 1,10-фенантролином
Примечания
1 Ссылки на остальные нормативные документы приведены в разделах 4, А.3 и А.4 (приложение А).
2 При пользовании настоящим руководящим документом целесообразно проверять действие ссылочных нормативных документов:
- национальных стандартов - в информационной системе общего пользования - на официальном сайте национального органа Российской Федерации по стандартизации в сети Интернет или по ежегодно издаваемому информационному указателю "Национальные стандарты", который опубликован по состоянию на 1 января текущего года, и по соответствующим ежемесячно издаваемым информационным указателям, опубликованным в текущем году;
- нормативных документов Росгидромета по РД 52.18.5 и дополнений к нему - ежегодно издаваемых информационным указателям нормативных документов.
Если ссылочный нормативный документ заменен (изменен), то при пользовании настоящим руководящим документом следует руководствоваться замененным (измененным) нормативным документом. Если ссылочный нормативный документ отменен без замены, то положение, в котором дана ссылка на него, применяется в части, не затрагивающей эту ссылку.
3.1 При соблюдении всех регламентируемых методикой условий проведения измерений характеристики погрешности результата измерения с вероятностью 0,95 не должны превышать значений, приведенных в таблице 1.
|
Диапазон измерений массовой концентрации железа |
Показатель повторяемости (среднеквадратическое отклонение повторяемости) |
Показатель воспроизводимости (среднеквадратическое отклонение воспроизводимости) |
Показатель правильности (границы систематической погрешности) |
Показатель точности (границы абсолютной погрешности) |
|
X, мг/дм3 |
σr, мг/дм3 |
σR, мг/дм3 |
±Δc, мг/дм3 |
±Δ, мг/дм3 |
|
От 0,020 до 0,050 включ. |
0,002 |
0,004 |
0,003 |
0,008 |
|
Св. 0,050 до 1,00 включ. |
0,002+0,012·X |
0,001+0,056·X |
0,031·X |
0,003+0,12·X |
|
Св. 1,00 до 7,00 включ. |
0,03 |
0,016·X |
0,046·X |
0,13+0,016·X |
|
Св. 7,00 до 50,0 включ. |
0,007·X |
0,015·X |
0,036·X |
0,056·X |
Предел обнаружения железа фотометрическим методом составляет 0,01 мг/дм3.
3.2 Значения показателя точности методики используют при:
- оформлении результатов измерений, выдаваемых лабораторией;
- оценке деятельности лабораторий на качество проведения измерений;
- оценке возможности использования результатов измерений при реализации методики в конкретной лаборатории.
4.1.1 Фотометр или спектрофотометр любого типа (КФК-3, КФК-3-01, ПЭ-5400, Unico 1200 и др.).
4.1.2 Весы неавтоматического действия (лабораторные) специального (I) класса точности по ГОСТ Р 53228-2008 или ГОСТ OIML R 76-1-2011, действительная цена деления (шкалы) 0,0001 г.
4.1.3 Весы неавтоматического действия (лабораторные) высокого (II) класса точности по ГОСТ Р 53228-2008 или ГОСТ OIML R 76-1-2011, действительная цена деления (шкалы) 0,001 г или 0,01 г.
4.1.4 Государственный стандартный образец состава раствора ионов железа ГСО 7254-96 (далее - ГСО) или аналогичный с относительной погрешностью аттестованного значения не более 1%.
4.1.5 Колбы мерные 2-го класса точности исполнения 2 или 2а по ГОСТ 1770-74 вместимостью: 50 см3 - 10 шт., 100 см3 - 2 шт., 200 см3 - 2 шт.
4.1.6 Пипетки градуированные 2-го класса точности типа 1 и 3 исполнения 1 или 2 по ГОСТ 29227-91 вместимостью: 1 см3 - 8 шт., 2 см3 - 3 шт., 5 см3 - 4 шт., 10 см3 - 3 шт.
4.1.7 Пипетки с одной отметкой 2-го класса точности исполнения 2 по ГОСТ 29169-91 вместимостью: 5 см3 - 1 шт., 10 см3 - 2 шт., 20 см3 - 1 шт., 50 см3 - 3 шт.
4.1.8 Цилиндры мерные 2-го класса точности исполнения 1 или 3 по ГОСТ 1770-74 вместимостью: 25 см3 - 1 шт., 100 см3 - 2 шт., 250 см3 - 2 шт., 1000 см3 - 1 шт.
4.1.9 Колбы конические Кн исполнения 2, ТС, по ГОСТ 25336-82 вместимостью 100 см3 - 10 шт.
4.1.10 Стаканы В-1, ТХС, по ГОСТ 25336-82 вместимостью: 100 см3 - 1 шт., 250 см3 - 1 шт., 600 см3 - 1 шт., 2000 см3 - 1 шт.
4.1.11 Стаканчик для взвешивания СВ-19/9 по ГОСТ 25336-82.
4.1.12 Пробирка исполнения 1 или 2 по ГОСТ 1774-74 вместимостью 10 см3.
4.1.13 Воронки лабораторные типа В по ГОСТ 25336-82 диаметром 56 мм - 10 шт.
4.1.14 Чашки выпарительные N 3 по ГОСТ 9147-80 вместимостью 100 см3 - 10 шт.
4.1.15 Устройство для обработки проб воды УФ-облучением типа УФР с комплектом кварцевых пробирок вместимостью не менее 60 см3.
4.1.16 Устройство для фильтрования проб с использованием мембранных или бумажных фильтров.
4.1.17 Баня водяная лабораторная шестиместная ПЭ-4300 с диапазоном рабочих температур от 5 °С до 100 °С или аналогичная модель любого типа.
4.1.18 Печь муфельная любого типа.
4.1.19 Щипцы муфельные стальные никелированные или из цветного сплава.
4.1.20 Палочка стеклянная.
4.1.21 Посуда стеклянная (в том числе из темного стекла) для хранения растворов вместимостью 0,1; 0,25; 1,0 дм3.
4.1.22 Посуда полиэтиленовая (полипропиленовая) для хранения проб и растворов вместимостью 0,25 дм3.
4.1.23 Шкаф сушильный общелабораторного назначения.
4.1.24 Электроплитка с закрытой спиралью по ГОСТ 14919-83.
Примечание - Допускается использование других типов средств измерений, посуды и вспомогательного оборудования, в том числе импортных, с характеристиками не хуже, чем у приведенных в 4.1.
4.2.1 Соль закиси железа и аммония двойная сернокислая (соль Мора) по ГОСТ 4208-72, х.ч. или ч.д.а. (при отсутствии ГСО).
4.2.2 1,10-фенантролин моногидрат C12H8N2·H2O по ТУ 6-09-08-399-76 или 1,10-фенантролина гидрохлорид C12H8N2·HCl·H2O или сульфат C12H8N2·H2SO4 по ТУ 6-09-05-90-80.
4.2.3 Гидроксиламина гидрохлорид по ГОСТ 5456-79, ч.д.а.
4.2.4 Аммиак водный, концентрированный по ГОСТ 3760-79, ч.д.а.
4.2.5 Аммоний уксуснокислый (ацетат аммония) по ГОСТ 3117-78, ч.д.а.
4.2.6 Кислота соляная по ГОСТ 3118-77, х.ч.
4.2.7 Кислота уксусная ледяная по ГОСТ 61-75, х.ч.
4.2.8 Кислота серная по ГОСТ 4204-77, х.ч.
4.2.9 Калий надсернокислый (персульфат калия ) по ГОСТ 4146-74, х.ч.
4.2.10 Вода дистиллированная по ГОСТ 6709-72.
4.2.11 Фильтры бумажные обеззоленные "белая лента" по ТУ 6-09-1678-95.
4.2.12 Фильтры мембранные "Владипор МФАС-ОС-2", 0,45 мкм по ТУ 6-55-221-1029-89 или другого типа с равноценными характеристиками.
4.2.13 Универсальная индикаторная бумага (рН от 0 до 12) по ТУ 2642-054-23050963-2008.
Примечание - Допускается использование реактивов, изготовленных по другой нормативно-технической документации, в том числе импортных, с квалификацией не ниже указанной в 4.2.
Определение массовой концентрации железа в водах фотометрическим методом основано на восстановлении Fe (III) гидроксиламином до Fe (II) и взаимодействии последнего с 1,10-фенантролином в кислой среде (рН около 3) с образованием окрашенного в оранжево-красный цвет комплекса. Максимум оптической плотности в спектре поглощения образовавшегося соединения наблюдается при 510 нм. Для разрушения комплексов железа с органическими и неорганическими лигандами используют предварительную термическую обработку или облучение пробы ультрафиолетом.
При анализе пробы, отфильтрованной через мембранный фильтр, определяют содержание общего железа. Валовое содержание (сумму растворенных и взвешенных форм) определяют, анализируя тщательно перемешанную нефильтрованную пробу.
6.1 При выполнении измерений массовой концентрации железа в пробах природных и очищенных сточных вод соблюдают требования безопасности, установленные в национальных стандартах и соответствующих нормативных документах.
6.2 По степени воздействия на организм вредные вещества, используемые при выполнении измерений, относятся ко 2-му и 3-му классам опасности по ГОСТ 12.1.007.
6.3 Содержание используемых вредных веществ в воздухе рабочей зоны не должно превышать установленных ПДК в соответствии с ГОСТ 12.1.005.
6.4 Вредные вещества подлежат сбору и утилизации в соответствии с установленными правилами.
6.5 Особых требований по экологической безопасности не предъявляется.
К выполнению измерений и обработке результатов допускают лиц с высшим или средним профессиональным образованием, имеющих стаж работы в лаборатории не менее 6 мес и освоивших методику.
При выполнении измерений соблюдают следующие условия:
|
- температура окружающего воздуха, °С |
22±5; |
|
- атмосферное давление, кПа (мм рт. ст.) |
от 84,0 до 106,7
|
|
- влажность воздуха при температуре 25°С, %, не более |
80; |
|
- напряжение в сети, В |
220±22; |
|
- частота переменного тока в сети питания, Гц |
50±1. |
Отбор проб для определения железа общего и железа валового производится в соответствии с ГОСТ 17.1.5.05 и ГОСТ 31861. Оборудование для отбора проб должно соответствовать ГОСТ 17.1.5.04 и ГОСТ 31861. Пробы помещают в пластиковую посуду. Для измерения массовой концентрации железа общего (растворенных форм) пробу как можно быстрее после отбора (не позже 4 ч) фильтруют через мембранный фильтр 0,45 мкм, очищенный кипячением в течение 5 мин в 1%-ном растворе соляной кислоты и двукратным кипячением в дистиллированной воде. Первые порции фильтрата отбрасывают. Пробу консервируют концентрированной соляной кислотой из расчета 2 см3 на каждые 100 см3 воды и проверяют рН с помощью универсальной индикаторной бумаги. Если рН будет больше 2, добавляют по каплям необходимое количество кислоты до достижения указанного значения рН. Пробы хранят при комнатной температуре не более 1 мес. Объем отбираемой пробы не менее 250 см3.
Для измерения массовой концентрации железа валового (суммарного содержания растворенных и взвешенных форм) пробу не фильтруют, подкисляют соляной кислотой и хранят до анализа в полиэтиленовой посуде не более 1 мес.
Растворяют 1,00 г моногидрата фенантролина (C12H8N2·H2O) или 1,18 г гидрохлорида фенантролина (C12H8N2·HCl·H2O) или 1,34 г сульфата фенантролина (C12H8N2·H2SO4) в 250 см3 дистиллированной воды, добавляют 1 см3 концентрированной соляной кислоты и перемешивают до растворения. Раствор хранят в плотно закрытой склянке в холодильнике не более 3 мес.
Растворяют 10 г гидрохлорида гидроксиламина в 90 см3 дистиллированной воды. Хранят в плотно закрытой склянке из темного стекла в холодильнике не более 3 мес.
Аммонийно-ацетатный буферный раствор готовят одним из следующих способов:
а) растворяют 250 г ацетата аммония в 250 см3 дистиллированной воды и добавляют 700 см3 ледяной уксусной кислоты;
б) смешивают 250 см3 аммиака водного с 900 см3 ледяной уксусной кислоты.
Хранят при комнатной температуре в плотно закрытой посуде не более 3 мес.
В стакан, в который предварительно помещают 50 см3 дистиллированной воды и 0,5 см3 концентрированной серной кислоты, вносят 2 г персульфата калия и перемешивают до растворения. Раствор хранят в темном месте в склянке с притертой пробкой не более 2 недель.
В стакане вместимостью 250 см3 к 200 см3 дистиллированной воды добавляют 5 см3 соляной кислоты. Используют для очистки фильтров. Срок хранения в плотно закрытой склянке не ограничен.
В термостойком стакане вместимостью 250 см3 к 100 см3 дистиллированной воды добавляют 100 см3 соляной кислоты. Срок хранения в плотно закрытой склянке не ограничен.
Градуировочные растворы готовят из ГСО с массовой концентрацией ионов железа 1,00 мг/см3. Для приготовления градуировочного раствора N 1 вскрывают ампулу, ее содержимое переносят в сухую пробирку. С помощью сухой пипетки с одной отметкой отбирают 5,0 см3 образца и переносят в мерную колбу вместимостью 100 см3, добавляют 1 см3 концентрированной соляной кислоты, объем раствора доводят до метки на колбе дистиллированной водой и перемешивают. Массовая концентрация ионов железа в градуировочном растворе составляет 50,0 мг/дм3. Если массовая концентрация ионов железа в ГСО не равна точно 1,00 мг/см3, рассчитывают массовую концентрацию ионов железа в градуировочном растворе соответственно концентрации конкретного образца.
Градуировочный раствор N 1 хранят в склянке с притертой стеклянной или пластиковой пробкой в холодильнике не более 3 мес.
Для приготовления градуировочного раствора N 2 сухой пипеткой с одной отметкой отбирают 10,0 см3 градуировочного раствора N 1, помещают его в мерную колбу вместимостью 100 см3 и доводят до метки на колбе дистиллированной водой. Массовая концентрация ионов железа в градуировочном растворе N 2 составляет 5,00 мг/дм3. Раствор хранят в склянке с притертой стеклянной или пластиковой пробкой в холодильнике не более 10 дней.
При отсутствии ГСО допускается в качестве градуировочного раствора использовать аттестованный раствор железа AP2-Fe, методика приготовления которого приведена в приложении А.
Для измерения массовой концентрации растворенных форм железа применяются градуировочные зависимости в диапазонах от 0,020 до 1,00 мг/дм3 и от 1,00 до 4,00 мг/дм3 в зависимости от концентрации железа, для измерения массовой концентрации железа валового применяется градуировочная зависимость в диапазоне от 1,00 до 7,00 мг/дм3.
Для измерения массовой концентрации растворенных форм железа применяются градуировочные зависимости в соответствии с 9.4.1 и 9.4.2 в зависимости от концентрации железа, для измерения массовой концентрации железа валового применяется градуировочная зависимость в соответствии с 9.4.3.
9.4.1 Для приготовления градуировочных образцов с массовой концентрацией железа в диапазоне от 0,020 до 1,00 мг/дм3 в мерные колбы вместимостью 50 см3 с помощью градуированных пипеток типа 1 вместимостью 1, 2, 5 и 10 см3 вносят 0,2; 0,5; 1,0; 2,0; 4,0; 6,0; 10,0 см3 градуировочного раствора N 2 с массовой концентрацией железа 5,00 мг/дм3, добавляют 1 см3 концентрированной соляной кислоты, доводят объемы растворов до меток на колбах дистиллированной водой и перемешивают. Массовая концентрация железа в полученных образцах составит соответственно 0,020; 0,050; 0,100; 0,200; 0,400; 0,600; 1,00 мг/дм3. Далее выполняют определение в соответствии с 10.1-10.3. Оптическую плотность градуировочных образцов измеряют в кювете с толщиной поглощающего слоя 5 см относительно дистиллированной воды.
9.4.2 Для приготовления градуировочных образцов с массовой концентрацией железа в диапазоне от 1,00 до 4,00 мг/дм3 в мерные колбы вместимостью 50 см3 с помощью градуированных пипеток типа 1 вместимостью 1, 2 и 5 см3 вносят 1,0; 1,5; 2,0; 2,5; 3,0; 4,0 см3 градуировочного раствора N 1 с массовой концентрацией железа 50,0 мг/дм3, добавляют 1 см3 концентрированной соляной кислоты, доводят объемы растворов до меток на колбах дистиллированной водой и перемешивают. Массовая концентрация железа в полученных образцах составит соответственно 1,00; 1,50; 2,00; 2,50; 3,00; 4,00 мг/дм3. Далее выполняют определение в соответствии с 10.1-10.3. Оптическую плотность градуировочных образцов измеряют в кювете с толщиной поглощающего слоя 2 см относительно дистиллированной воды.
9.4.3 Для приготовления градуировочных образцов с массовой концентрацией железа в диапазоне от 1,00 до 7,00 мг/дм3 в мерные колбы вместимостью 50 см3 с помощью градуированных пипеток типа 1 вместимостью 1, 2, 5 и 10 см3 вносят 1,0; 1,5; 2,0; 3,0; 4,0; 5,0; 6,0 и 7,0 см3 градуировочного раствора N 1 с массовой концентрацией железа 50,0 мг/дм3, добавляют 1 см3 концентрированной соляной кислоты, доводят объемы растворов до меток на колбах дистиллированной водой и перемешивают. Массовая концентрация железа в полученных образцах составит соответственно 1,00; 1,50; 2,00; 3,00; 4,00; 5,00; 6,00; 7,00 мг/дм3. Далее выполняют определение в соответствии с 10.1-10.3. Оптическую плотность градуировочных образцов измеряют в кювете с толщиной поглощающего слоя 1 см относительно дистиллированной воды.
9.4.4 Одновременно с градуировочными образцами выполняют два параллельных определения холостой пробы, используя для этого две аликвоты дистиллированной воды объемом 50,0 см3 с добавкой 1 см3 концентрированной соляной кислоты.
Измеряют оптические плотности холостой пробы в кюветах при соответствующей толщине поглощающего слоя, рассчитывают среднее арифметическое значение и вычитают его из оптической плотности градуировочных образцов.
9.4.5 Градуировочные зависимости оптической плотности от массовой концентрации железа для каждого из диапазонов измерений рассчитывают методом наименьших квадратов.
Градуировочные зависимости устанавливают один раз в год, а также при замене измерительного прибора.
Контроль стабильности градуировочной характеристики проводят каждый раз перед анализом серии проб. Средствами контроля являются образцы, используемые для установления градуировочной зависимости по 9.4 (не менее 3 для каждого диапазона).
Допускается проводить контроль стабильности одной градуировочной зависимости, если другие зависимости не будут использованы для расчета результатов анализа в данной серии проб.
Градуировочная характеристика считается стабильной при выполнении следующего условия для всех используемых для контроля градуировочных образцов
|XГ-CГ|≤σR, (1)
где XГ - результат контрольного измерения массовой концентрации железа в образце, мг/дм3;
CГ - приписанное образцу значение массовой концентрации железа, мг/дм3;
σR - показатель воспроизводимости для концентрации CГ, мг/дм3 (см. таблицу 1).
Если условие стабильности не выполняется для одного градуировочного образца, необходимо выполнить повторное измерение этого образца для исключения результата, содержащего грубую погрешность. При повторном невыполнении условия выясняют причины нестабильности, устраняют их и повторяют измерение с использованием других образцов, предусмотренных методикой. Если градуировочный образец вновь не будет удовлетворять условию (1), устанавливают новую градуировочную зависимость.
При выполнении условия (1) учитывают знак разности между измеренными и приписанными значениями массовой концентрации железа в образцах. Эта разность должна иметь как положительное, так и отрицательное значение, если же все значения имеют один знак, это свидетельствует о наличии систематического отклонения. В таком случае требуется установить новую градуировочную зависимость.
Отбирают пипеткой с одной отметкой две аликвоты по 50,0 см3 законсервированной пробы воды (фильтрата при определении железа общего или тщательно перемешанной нефильтрованной пробы воды при определении железа валового) и помещают их в две сухие конические или плоскодонные колбы вместимостью 100 см3. К каждой аликвоте добавляют 1 см3 раствора гидрохлорида гидроксиламина и кипятят от 15 до 20 мин для перехода всех соединений железа в ионное состояние. Объем пробы после кипячения не должен превышать 25 см3, в противном случае продолжают кипячение до достижения этого объема.
После охлаждения добавляют к каждой аликвоте пипеткой концентрированный раствор аммиака небольшими порциями до значения рН около 4, проверяя по универсальной индикаторной бумаге. Далее количественно переносят пробы в две мерные колбы вместимостью 50 см3, промывают колбы, в которых кипятили пробы не менее 2 раз дистиллированной водой объемом не более 5 см3 каждый. Затем приливают в каждую колбу по 3 см3 буферного раствора, 1 см3 раствора 1,10-фенантролина, доводят объем растворов до метки на колбе дистиллированной водой и перемешивают. Через 20 мин измеряют оптическую плотность растворов относительно дистиллированной воды на спектрофотометре или фотометре с непрерывной разверткой спектра при длине волны 510 нм или на фотометре, снабженном светофильтрами - при 490 нм в кювете с толщиной поглощающего слоя 5, 2 или 1 см в зависимости от массовой концентрации железа.
Если для анализа отбирали нефильтрованную пробу воды, то при переносе в мерную колбу ее фильтруют через бумажный фильтр, предварительно промытый 20 см3 1%-ного раствора соляной кислоты.
Одновременно с пробами выполняют холостой опыт, используя для этого аналогично отобранные две пробы по 50,0 см3 дистиллированной воды с добавлением по 1 см3 концентрированной соляной кислоты. Измерение оптической плотности холостого опыта проводят при той же толщине поглощающего слоя, что и анализируемой пробы воды. Рассчитывают среднее арифметическое значение оптической плотности холостой пробы и вычитают его из оптической плотности анализируемой пробы воды.
Если полученное значение оптической плотности анализируемой пробы превышает значение таковой для последней точки градуировочной зависимости для диапазона от 1,00 до 7,00 мг/дм3, то проводят повторное определение после соответствующего разбавления пробы. Для этого пипеткой с одной отметкой вместимостью 5, 10, 20 или 50 см3 отбирают аликвоту исходной пробы воды (V), помещают ее в мерную колбу вместимостью 200 см3, добавляют такой объем концентрированной соляной кислоты, чтобы ее концентрация соответствовала концентрации в исходной неразбавленной пробе воды, доводят объем до метки на колбе дистиллированной водой и перемешивают. Отбираемую для разбавления аликвоту выбирают таким образом, чтобы кратность разбавления
обеспечивала массовую концентрацию железа в пробе в пределах от 1,00 до 7,00 мг/дм3.
Отбирают пипеткой с одной отметкой две аликвоты по 50,0 см3 законсервированной анализируемой пробы воды или предварительно разбавленной пробы, если массовая концентрация железа в ней превышает 7,00 мг/дм3, помещают в две фарфоровые чашки и выпаривают на кипящей водяной бане. Чашки с сухим остатком помещают в муфельную печь и прокаливают при температуре от 400°С до 450°С в течение 2 ч. К каждому прокаленному остатку добавляют пипеткой 2 см3 раствора соляной кислоты 1:1, смачивая им стенки чашки, и оставляют на 10 мин, периодически перемешивая. Добавляют в каждую чашку 10 см3 дистиллированной воды, перемешивают и к полученным растворам добавляют по 1 см3 раствора гидрохлорида гидроксиламина, перемешивают и добавляют концентрированный раствор аммиака до значения рН около 4, проверяя по универсальной индикаторной бумаге. Количественно переносят пробы в две мерные колбы вместимостью 50 см3 через воронки с бумажным фильтром, предварительно промытым 20 см3 1%-ного раствора соляной кислоты. Чашку и фильтр промывают дважды, используя по 5 см3 дистиллированой воды, и помещают промывные воды в те же колбы. Приливают в каждую мерную колбу 3 см3 буферного раствора, 1 см3 раствора 1,10-фенантролина, доводят объем растворов до метки на колбе дистиллированной водой и перемешивают. Через 20 мин выполняют измерение оптической плотности согласно 10.1.
Одновременно с пробами выполняют холостой опыт, используя для этого аналогично отобранные две пробы по 50,0 см3 дистиллированной воды с добавлением 1 см3 концентрированной соляной кислоты. Измерение оптической плотности холостого опыта проводят при той же толщине поглощающего слоя, что и анализируемой пробы воды. Рассчитывают среднее арифметическое значение оптической плотности холостой пробы и вычитают его из оптической плотности анализируемой пробы воды.
Отбирают пипеткой с одной отметкой две аликвоты по 50,0 см3 законсервированной отфильтрованной анализируемой пробы воды (для выполнения измерений содержания валового железа использовать данный способ не рекомендуется) или предварительно разбавленной пробы, если массовая концентрация железа превышает 7,00 мг/дм3, вносят в две кварцевые пробирки, добавляют в каждую 0,5 см3 раствора персульфата калия, помещают пробы в устройство для обработки проб воды УФ-облучением и облучают от 25 до 30 мин.
После облучения в каждую кварцевую пробирку добавляют 1 см3 раствора гидрохлорида гидроксиламина и перемешивают. Затем добавляют концентрированный раствор аммиака до значения рН около 4, проверяя по универсальной индикаторной бумаге. Далее количественно переносят пробы в мерные колбы вместимостью 50 см3, приливают в каждую колбу 3 см3 буферного раствора, предварительно ополоснув им кварцевую пробирку, 1 см3 раствора 1,10-фенантролина и через 20 мин выполняют измерение оптической плотности согласно 10.1.
Одновременно с пробами выполняют холостой опыт, используя для этого аналогично отобранные две пробы по 50,0 см3 дистиллированной воды с добавлением 1 см3 концентрированной соляной кислоты. Измерение оптической плотности холостого опыта проводят при той же толщине поглощающего слоя, что и анализируемой пробы воды. Рассчитывают среднее арифметическое значение оптической плотности холостой пробы и вычитают его из оптической плотности анализируемой пробы воды.
Выполнению измерений мешают сильные окислители, цианиды, нитриты, полифосфаты, цинк при концентрациях, в 10 и более раз превышающих содержание железа; кобальт и медь - свыше 5 мг/дм3, никель - свыше 2 мг/дм3, что редко встречается для поверхностных вод суши; взвешенные и окрашенные вещества.
Мешающее влияние окислителей, цианидов, нитритов и полифосфатов устраняется при выполнении операций, предусмотренных в ходе анализа (кипячение пробы с кислотой, добавление избытка гидроксиламина), металлов - добавлением избытка 1,10-фенантролина. При кипячении пробы происходит также разрушение минеральных и органических комплексов железа.
При анализе сильно окрашенных проб или проб, содержащих большие количества органических веществ, кипячение с кислотой не всегда обеспечивает полноту разрушения комплексов железа (например, неудовлетворительные результаты оперативного контроля с использованием метода добавок). В этом случае проводят разрушение органической матрицы пробы с помощью УФ-облучения (см. 10.3) или прокаливания (см. 10.2). Последний способ предпочтителен при анализе загрязненных поверхностных или очищенных сточных вод. Если проба после термической обработки или УФ-облучения (до добавления 1,10-фенантролина) имеет видимую окраску или опалесцирует, то отдельно проводят измерение собственной оптической плотности анализируемой пробы воды. Для этого проводят обработку третьей аликвоты пробы согласно 10.1, за исключением добавления раствора 1,10-фенантролина, измеряют ее оптическую плотность и вычитают из оптической плотности пробы с добавлением 1,10-фенантролина.
Мешающее влияние взвешенных и коллоидных веществ устраняют фильтрованием пробы.
11.1 Рассчитывают оптическую плотность Ax, соответствующую массовой концентрации железа в анализируемой пробе воды
Ax=A-A̅1-A2, (2)
где А - оптическая плотность анализируемой пробы воды;
A̅1 - среднее арифметическое значение оптической плотности холостого опыта;
A2 - собственная оптическая плотность анализируемой пробы воды по 10.4.
11.2 Массовую концентрацию железа в анализируемой пробе воды С, мг/дм3, вычисляют по градуировочной зависимости согласно полученному значению Ax.
11.3 Массовую концентрацию железа общего или железа валового X, мг/дм3, в анализируемой пробе рассчитывают по формуле
X=C·η·1,02, (3)
где η - кратность разбавления по 10.1 (η=1, если разбавление не проводилось);
1,02 - коэффициент, учитывающий разбавление пробы при консервации.
11.4 При необходимости массовую концентрацию взвешенных форм железа рассчитывают по разности между массовой концентрацией железа валового и массовой концентрацией железа общего.
11.5 При необходимости определения массовой концентрации железа (III) одновременно с измерением массовой концентрации железа общего проводят выполнение измерений массовой концентрации железа (II) (например, в соответствии с РД 52.24.521). Массовую концентрацию железа (III) рассчитывают по разности между массовой концентрацией железа общего и массовой концентрацией железа (II).
12.1 Результат измерения в документах, предусматривающих его использование, представляют в виде
X̅±Δ, мг/дм3 (Р = 0,95), (4)
где X̅ - среднее арифметическое значение двух результатов измерений, разность между которыми не превышает предела повторяемости r 2,77·σr, мг/дм3; при превышении предела повторяемости поступают согласно 13.2;
±Δ - границы абсолютной погрешности результатов измерений для данной массовой концентрации железа (см. таблицу 1), мг/дм3.
Абсолютные погрешности результатов измерений представляют числом, содержащим не более двух значащих цифр. Наименьшие разряды числовых значений результатов измерений принимают такими же, как и наименьшие разряды числовых значений абсолютных погрешностей результатов измерений.
12.2 Допустимо представлять результат в виде
X̅±Δл (Р = 0,95) при условии Δл<Δ, (5)
где ±Δл - границы абсолютной погрешности результатов измерений, установленные при реализации методики в лаборатории и обеспечиваемые контролем стабильности результатов измерений, мг/дм3.
12.3 Результаты измерения оформляют протоколом или записью в журнале по формам, приведенным в Руководстве по качеству лаборатории.
13.1.1 Контроль качества результатов измерений при реализации методики в лаборатории предусматривает:
- оперативный контроль исполнителем процедуры выполнения измерений на основе оценки погрешности при реализации отдельно взятой контрольной процедуры;
- контроль стабильности результатов измерений на основе контроля стабильности повторяемости и погрешности.
13.1.2 Периодичность оперативного контроля исполнителем процедуры выполнения измерений, а также реализуемые процедуры контроля стабильности результатов выполняемых измерений регламентируются в Руководстве по качеству лаборатории.
13.2.1 Оперативный контроль повторяемости осуществляют для каждого из результатов измерений, полученных в соответствии с методикой. Для этого отобранную пробу воды делят на две части и выполняют измерение в соответствии с 10.1.
13.2.2 Результат контрольной процедуры rк, мг/дм3, рассчитывают по формуле
rк=|X1-X2|, (6)
где X1, X2 - результаты измерений массовой концентрации железа в пробе, мг/дм3.
13.2.3 Предел повторяемости rn, мг/дм3, рассчитывают по формуле
rn=2,77·σr, (7)
где σr - показатель повторяемости для массовой концентрации, равной (X1+X2)/2, мг/дм3 (см. таблицу 1).
13.2.4 Результат контрольной процедуры должен удовлетворять условию
rк≤rn. (8)
13.2.5 При несоблюдении условия (8) выполняют еще два измерения и сравнивают разницу между максимальным и минимальным результатами с нормативом контроля. В случае превышения предела повторяемости поступают в соответствии с ГОСТ Р ИСО 5725-6 (раздел 5).
13.3.1 Оперативный контроль процедуры выполнения измерений с использованием метода добавок совместно с методом разбавления проб применяют, если массовая концентрация железа в рабочей пробе превышает 2,00 мг/дм3. В противном случае используют метод добавок, приведенный в 13.4.
13.3.2 Оперативный контроль исполнителем процедуры выполнения измерений проводят путем сравнения результатов отдельно взятой контрольной процедуры Кк с нормативом контроля К.
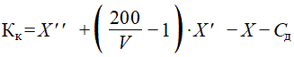
13.3.3 Результат контрольной процедуры Кк, мг/дм3, рассчитывают по формуле
, (9)
где X'' - результат контрольного измерения массовой концентрации железа в пробе, разбавленной в
раз, с известной добавкой, мг/дм3;
X' - результат контрольного измерения массовой концентрации железа в пробе, разбавленной
в раз, мг/дм3;
X - результат измерения массовой концентрации железа в рабочей пробе, мг/дм3;
Cд - концентрация добавки, мг/дм3.
13.3.4 Норматив контроля К, мг/дм3, рассчитывают по формуле
, (10)
где Δлх'' (Δлх', Δлх) - значения абсолютной погрешности результатов измерений, установленные при реализации методики в лаборатории, соответствующие массовой концентрации железа в разбавленной пробе с добавкой (разбавленной пробе, рабочей пробе), мг/дм3.
Примечание - Допустимо для расчета норматива контроля использовать значения абсолютной погрешности, полученные расчетным путем по формулам Δлх''=0,84·Δх'', Δлх'=0,84·Δх' и Δлх=0,84·Δх, где Δх'' (Δх', Δх) - приписанные методике значения абсолютной погрешности результатов измерений, соответствующие массовой концентрации железа в разбавленной пробе с добавкой (разбавленной пробе, рабочей пробе), мг/дм3.
13.3.5 Если результат контрольной процедуры удовлетворяет условию
|Кк|≤К, (11)
процедуру анализа признают удовлетворительной.
При невыполнении условия (11) контрольную процедуру повторяют. При повторном невыполнении условия (11) выясняют причины, приводящие к неудовлетворительным результатам, и принимают меры по их устранению.
13.4.1 Оперативный контроль исполнителем процедуры выполнения измерений проводят путем сравнения результатов отдельно взятой контрольной процедуры
с нормативом контроля К1.
13.4.2 Результат контрольной процедуры
, мг/дм3, рассчитывают по формуле
, (12)
где X'' - результат контрольного измерения массовой концентрации железа в пробе с известной добавкой, мг/дм3;
X - результат измерения массовой концентрации железа в рабочей пробе, мг/дм3;
Cд - концентрация добавки, мг/дм3.
Норматив контроля погрешности К1 мг/дм3, рассчитывают по формуле
, (13)
где Δлх''' (Δлх) - значения абсолютной погрешности результатов измерений, установленные при реализации методики в лаборатории, соответствующие массовой концентрации железа в пробе с добавкой (рабочей пробе).
Примечание - Допустимо для расчета норматива контроля использовать значения абсолютной погрешности, полученные расчетным путем по формулам Δлх'''=0,84·Δх''' и Δлх=0,84·Δх, где Δх''', Δх - приписанные методике значения абсолютной погрешности, соответствующие массовой концентрации железа в пробе с добавкой и рабочей пробе, соответственно.
Если результат контрольной процедуры удовлетворяет условию
, (14)
процедуру признают удовлетворительной.
При невыполнении условия (14) контрольную процедуру повторяют. При повторном невыполнении условия (14) выясняют причины, приводящие к неудовлетворительным результатам, и принимают меры по их устранению.
14.1 Расхождение между результатами измерений, полученными в двух лабораториях, не должно превышать предела воспроизводимости R. При выполнении этого условия приемлемы оба результата измерений и в качестве окончательного может быть использовано их общее среднее значение. Значение предела воспроизводимости рассчитывают по формуле
R=2,77·σR, (15)
где σR - показатель воспроизводимости, мг/дм3 (см. таблицу 1).
14.2 При превышении предела воспроизводимости могут быть использованы методы проверки приемлемости результатов измерений согласно ГОСТ Р ИСО 5725-6 (раздел 5) или МИ 2881.
14.3 Проверка приемлемости проводится при необходимости сравнения результатов измерений, полученных двумя лабораториями.
Приложение А
(рекомендуемое)
Настоящая методика регламентирует процедуру приготовления аттестованных растворов железа, предназначенных для установления градуировочных характеристик приборов и контроля точности результатов измерений массовой концентрации железа общего и железа валового в природных и очищенных сточных водах фотометрическим методом.
Метрологические характеристики аттестованных растворов приведены в таблице А.1.
|
Наименование характеристики |
Значение характеристики для аттестованного раствора | |
|
AP1-Fe |
АР2- Fe | |
|
Аттестованное значение массовой концентрации железа, мг/дм3 |
1000,0 |
50,00 |
|
Границы погрешности аттестованного значения массовой концентрации железа (Р = 0,95), мг/дм3 |
±3,9 |
±0,37 |
А.3.1 Весы неавтоматического действия (лабораторные) специального (I) класса точности по ГОСТ Р 53228-2008 или ГОСТ OIML R 76-1-2011, действительная цена деления (шкалы) 0,0001 г.
А.3.2 Колбы мерные 2-го класса точности исполнения 2, 2а по ГОСТ 1770-74 вместимостью 100 см3 - 2 шт.
А.3.3 Стаканчик для взвешивания (бюкс) СВ-19/9 по ГОСТ 25336-82.
А.3.4 Воронка лабораторная, тип В по ГОСТ 25336-86 диаметром 56 мм.
А.3.5 Склянка из темного стекла для хранения раствора вместимостью 0,10 дм3.
А.4.1 Соль закиси железа и аммония двойная сернокислая (соль Мора) по ГОСТ 4208-72, х.ч. или ч.д.а.
А.4.2 Вода дистиллированная по ГОСТ 6709-72.
А.4.3 Кислота серная по ГОСТ 4204-77, х.ч.
А.4.4 Кислота соляная по ГОСТ 3118-77, х.ч.
Для приготовления аттестованного раствора AP1-Fe на весах специального класса точности взвешивают в бюксе с точностью до четвертого знака после запятой 0,7020 г соли Мора. Количественно переносят навеску в мерную колбу вместимостью 100 см3, растворяют в дистиллированной воде с добавлением 2 см3 концентрированной серной кислоты, доводят объём раствора до метки на колбе дистиллированной водой и перемешивают.
Полученному раствору приписывают массовую концентрацию железа 1000,0 мг/дм3.
При отборе навески соли Мора, отличной от значения 0,7020 г, концентрацию и погрешность аттестованного раствора рассчитывают по А.6.
Отбирают пипеткой с одной отметкой 5,0 см3 раствора AP1-Fe и переносят его в мерную колбу вместимостью 100 см3, добавляют 1 см3 концентрированной соляной кислоты, доводят объем раствора до метки на колбе дистиллированной водой и перемешивают.
Полученному раствору приписывают массовую концентрацию железа 50,00 мг/дм3.
А.6.1.1 Аттестованное значение массовой концентрации железа С, мг/дм3, рассчитывают по формуле
, (А.1)
где m - масса навески соли Мора, г;
Vк - вместимость мерной колбы, см3;
55,85 и 392,14 - молярная масса иона железа и соли Мора, соответственно, г/моль;
1000 - коэффициент перевода граммов в миллиграммы, мг/г.
А.6.1.2 Расчет предела возможных значений погрешности установления массовой концентрации железа в аттестованном растворе AP1-Fe Δ, мг/дм3, выполняют по формуле
, (А.2)
где Δμ - предельное значение возможного отклонения массовой доли основного вещества в реактиве от приписанного значения μ, %;
μ - массовая доля основного вещества в реактиве, приписанная реактиву квалификации х.ч., %;
Δm - предельная возможная погрешность взвешивания, г;
- предельное значение возможного отклонения вместимости мерной к колбы от номинального значения, см3.
А.6.1.3 Погрешность установления массовой концентрации железа в аттестованном растворе АР1-Fe равна
мг/см3.
А.6.2.1 Аттестованное значение массовой концентрации железа C1, мг/дм3, рассчитывают по формуле
, (А.3)
где V1 - объем раствора AP1-Fe, отбираемый пипеткой, см3.
Аттестованное значение массовой концентрации железа в растворе AP2-Fe равно
мг/дм3.
А.6.2.2 Расчет предела возможных значений погрешности установления массовой концентрации железа в аттестованном растворе AP2-Fe Δ1, мг/дм3, выполняют по формуле
, (А.4)
где
- предельное значение возможного отклонения объема V1 от номинального значения, см3.
А.6.2.3 Погрешность установления массовой концентрации железа в аттестованном растворе AP2-Fe равна
мг/дм3.
Необходимо соблюдать общие требования техники безопасности при работе в химических лабораториях.
Аттестованные растворы может готовить специалист с высшим или средним профессиональным образованием, прошедший специальную подготовку и имеющий стаж работы в химической лаборатории не менее 6 мес.
На склянку с аттестованным раствором должна быть наклеена этикетка с указанием условного обозначения аттестованного раствора, массовой концентрации железа, погрешности ее установления и даты приготовления.
Аттестованный раствор AP1-Fe хранят не более 6 мес., аттестованный раствор AP2-Fe хранят не более 3 мес.
Аттестованные растворы хранят в склянках с притертой стеклянной или пластиковой пробкой в холодильнике.


