РД 52.24.405-2018 МАССОВАЯ КОНЦЕНТРАЦИЯ СУЛЬФАТОВ В ВОДАХ. МЕТОДИКА ИЗМЕРЕНИЙ ТУРБИДИМЕТРИЧЕСКИМ МЕТОДОМ
Дата введения - 1 октября 2019 г.
Взамен РД 52.24.405-2005
Введение
Сульфатные ионы являются важнейшим компонентом химического состава поверхностных и подземных вод. В маломинерализованных водах сульфаты находятся преимущественно в ионной форме. При увеличении минерализации они склонны к образованию ассоциированных нейтральных ионных пар типа CaSO4, MgSO4.
В поверхностные воды сульфаты поступают, главным образом, за счет процессов химического выветривания и растворения серосодержащих минералов, в основном гипса и ангидрита, а также окисления сульфидных минералов и серы. Значительные количества сульфатов поступают в водные объекты в процессе отмирания организмов и окисления веществ растительного и животного происхождения, а также с промышленными и бытовыми сточными водами.
Содержание сульфатов в незагрязненных речных водах и водах пресных озер зависит от их географического расположения и обычно находится в пределах от 5 до 500 мг/дм3, в дождевых водах - от 1 до 10 мг/дм3. В подземных водах содержание сульфатов нередко достигает значительно более высоких значений массовой концентрации. В целом же оно ограничивается сравнительно малой растворимостью сульфата кальция (произведение растворимости 2,5•10-5. Внугригодовые изменения концентрации сульфатов в поверхностных водах суши связаны, в основном, с особенностями гидрологического режима водного объекта.
Повышенное содержание сульфатов ухудшает органолептические свойства воды. Жесткие требования в отношении концентрации сульфатов предъявляются и к воде, питающей паросиловые установки, поскольку в присутствии кальция сульфаты образуют прочную накипь.
Содержание сульфатов в природных водах нормируется. Предельно допустимая концентрация (ПДК) для водных объектов рыбохозяйственного значения составляет 100 мг/дм3, для водных объектов хозяйственно-питьевого и культурно-бытового водопользования 500 мг/дм3.
1.1 Настоящий руководящий документ устанавливает методику измерений (далее - методика) массовой концентрации сульфатов в пробах природных и очищенных сточных вод турбидиметрическим методом в диапазоне от 2,0 до 40,0 мг/дм3.
1.2 Настоящий руководящий документ предназначен для использования в лабораториях, осуществляющих анализ природных и очищенных сточных вод.
В настоящем руководящем документе использованы ссылки на следующие нормативные документы:
ГОСТ 12.1.005-88 Система стандартов безопасности труда. Общие санитарно-гигиенические требования к воздуху рабочей зоны
ГОСТ 12.1.007-76 Система стандартов безопасности труда. Вредные вещества. Классификация и общие требования безопасности
ГОСТ 17.1.5.04-81 Охрана природы. Гидросфера. Приборы и устройства для отбора, первичной обработки и хранения проб природных вод. Общие технические условия
ГОСТ 17.1.5.05-85 Охрана природы. Гидросфера. Общие требования к отбору проб поверхностных и морских вод, льда и атмосферных осадков
ГОСТ 31861-2012 Вода. Общие требования к отбору проб
ГОСТ Р ИСО 5725-6-2002 Точность (правильность и прецизионность) методов и результатов измерений. Часть 6. Использование значений точности на практике
МИ 2881-2004 Государственная система обеспечения единства измерений. Методики количественного химического анализа. Процедуры проверки приемлемости результатов анализа
Примечания
1 Ссылки на остальные нормативные документы приведены в разделах 4, А.1, Б.3 и Б.4 (приложение Б).
2 При пользовании настоящим руководящим документом целесообразно проверять действие национальных стандартов - в информационной системе общего пользования - на официальном сайте национального органа Российской Федерации по стандартизации в сети Интернет или по ежегодно издаваемому информационному указателю "Национальные стандарты", который опубликован по состоянию на 1 января текущего года, и по соответствующим ежемесячно издаваемым информационным указателям, опубликованным в текущем году.
3 Если ссылочный нормативный документ заменен (изменен), то при пользовании настоящим руководящим документом следует руководствоваться замененным (измененным) нормативным документом. Если ссылочный нормативный документ отменен без замены, то положение, в котором дана ссылка на него, применяется в части, не затрагивающей эту ссылку.
3.1 При соблюдении всех регламентируемых методикой условий проведения измерений характеристики погрешности результата измерения с вероятностью 0,95 не должны превышать значений, приведенных в таблице 1.
|
Диапазон измерений массовой концентрации сульфатов |
Показатель повторяемости (среднеквадратическое отклонение повторяемости) |
Показатель воспроизводимости (среднеквадратическое отклонение воспроизводимости) |
Показатель правильности (границы систематической погрешности) |
Показатель точности (границы абсолютной погрешности) |
|
X, мг/дм3 |
σr, мг/дм3 |
σR, мг/дм3 |
±Δc, мг/дм3 |
±Δ, мг/дм3 |
|
От 2,0 до 5,0 включ. |
0,2 |
0,4 |
0,3 |
0,8 |
|
Св. 5,0 до 40,0 включ. |
0,1+0,02•X |
0,1+0,06•X |
0,04•X |
0,1+0,12•X |
Предел обнаружения сульфатов турбидиметрическим методом составляет 1,0 мг/дм3.
3.2 Значения показателя точности методики используют при:
- оформлении результатов измерений, выдаваемых лабораторией;
- оценке деятельности лабораторий на качество проведения измерений;
- оценке возможности использования результатов измерений при реализации методики в конкретной лаборатории.
4.1.1 Фотометр или спектрофотометр любого типа (КФК-3-01, ПЭ-5400УФ, Unico 2100 и др.), обеспечивающий работу при 315 нм с погрешностью измерения пропускания не более 2%.
4.1.2 Весы неавтоматического действия (лабораторные) специального (I) класса точности по ГОСТ Р 53228-2008 или ГОСТ OIML R 76-1-2011, действительная цена деления (шкалы) 0,0001 г.
4.1.3 Весы неавтоматического действия (лабораторные) высокого (II) класса точности по ГОСТ Р 53228-2008 или ГОСТ OIML R 76-1-2011, действительная цена деления (шкалы) 0,001 г или 0,01 г.
4.1.4 Государственный стандартный образец состава раствора сульфат-ионов ГСО 7480-98 (далее - ГСО) или аналогичный с относительной погрешностью аттестованного значения не более 1%.
4.1.5 Колбы мерные 2-го класса точности исполнения 2 или 2а по ГОСТ 1770-74 вместимостью: 50 см3 - 11 шт., 200 см3 - 1 шт., 500 см3 - 1 шт.
4.1.6 Пипетки градуированные 2-го класса точности типа 1 и 3 исполнения 1 или 2 по ГОСТ 29227-91 вместимостью: 1 см3 - 2 шт., 2 см3 - 1 шт., 5 см3 - 2 шт., 10 см3 - 1 шт.
4.1.7 Пипетки с одной отметкой 2-го класса точности исполнения 2 по ГОСТ 29169-91 вместимостью 5 см3 - 3 шт.
4.1.8 Цилиндры мерные 2-го класса точности исполнения 1 или 3 по ГОСТ 1770-74 вместимостью: 50 см3- 3 шт., 100 см3 - 1 шт., 250 см3 - 2 шт.
4.1.9 Колбы конические Кн исполнения 2 по ГОСТ 25336-82 вместимостью: 50 см3 - 22 шт., 500 см3 - 1 шт.
4.1.10 Стаканы В-1, ТХС, по ГОСТ 25336-82 вместимостью 150 см3 - 2 шт.
4.1.11 Стаканчики для взвешивания СВ-19/9 и СВ-24/10 по ГОСТ 25336-82 - 2 шт.
4.1.12 Воронка лабораторная типа В по ГОСТ 25336-82 диаметром 56 мм.
4.1.13 Стекло часовое.
4.1.14 Пробирка исполнения 1 или 2 по ГОСТ 1770-74 вместимостью 5 или 10 см3.
4.1.15 Эксикатор исполнения 2 с диаметром корпуса 190 мм по ГОСТ 25336-82.
4.1.16 Система получения воды для лабораторного анализа степени чистоты 1 или 2 по ГОСТ Р 52501-2005 с использованием ионообменных смол любого типа (фирма Merck Millipore "Simplicity" или аналог).
4.1.17 Установка для перегонки дистиллированной воды из стекла группы ТС (плоскодонная колба типа П исполнения 1 с взаимозаменяемым конусом 29/32, вместимостью 1000 или 2000 см3, насадка типа Н1 с взаимозаменяемыми конусами 29/32-14/23-14/23, холодильник типа ХПТ исполнения 1 длиной не менее 400 мм, аллонж типа АИ с взаимозаменяемым конусом муфты 14/23) по ГОСТ 25336-82.
4.1.18 Устройство для фильтрования проб с использованием мембранных или бумажных фильтров.
4.1.19 Посуда стеклянная (в том числе из темного стекла) для хранения проб и растворов вместимостью 0,1; 0,25; 0,5 дм3.
4.1.20 Посуда полиэтиленовая (полипропиленовая) для хранения проб и растворов вместимостью 0,25 дм3.
4.1.21 Шкаф сушильный общелабораторного назначения.
4.1.22 Электроплитка с закрытой спиралью по ГОСТ 14919-83.
Примечание - Допускается использование других типов средств измерений, посуды и вспомогательного оборудования, в том числе импортных, с характеристиками не хуже, чем у приведенных в 4.1.
4.2.1 Калий сернокислый (сульфат калия) по ГОСТ 4145-74, х.ч. (при отсутствии ГСО).
4.2.2 Барий хлорид 2-водный (хлорид бария) по ГОСТ 4108-72, ч.д.а.
4.2.3 Кислота соляная по ГОСТ 3118-77, ч.д.а.
4.2.4 Натрия гидроокись (гидроксид натрия) по ГОСТ 4328-77, ч.д.а.
4.2.5 Этиленгликоль по ГОСТ 10164-75, ч.д.а. (допускается ч.) или глицерин по ГОСТ 6259-75, ч.д.а.
4.2.6 Спирт этиловый технический гидролизный ректификованный по ГОСТ Р 55878-2013 любого сорта или спирт изопропиловый по ТУ 2632-181-44493179-2014, х.ч.
4.2.7 Вода дистиллированная по ГОСТ 6709-72.
4.2.8 Хлорид кальция обезвоженный по ТУ 6-09-4711-81, ч. (для эксикатора).
4.2.9 Фильтры бумажные обеззоленные "белая лента" и "синяя лента" по ТУ 6-09-1678-95.
4.2.10 Фильтры мембранные "Владипор МФАС-ОС-2", 0,45 мкм по ТУ 6-55-221-1-29-89 или другого типа с равноценными характеристиками.
4.2.11 Универсальная индикаторная бумага (рН от 0 до 12) по ТУ 2642-054-23050963-2008.
Примечание - Допускается использование реактивов, изготовленных по другой нормативно-технической документации, в том числе импортных, с квалификацией не ниже указанной в 4.2.
4.3.1 Цилиндры мерные исполнения 1 или 3 по ГОСТ 1770-74 вместимостью: 250 см3 - 2 шт., 500 см3 - 1 шт.
4.3.2 Колба коническая Кн исполнения 2, ТС по ГОСТ 25336-82 вместимостью 500 см3.
4.3.3 Стакан В-1, ТХС, по ГОСТ 25336-82 вместимостью 600 см3.
4.3.4 Колонка хроматографическая диаметром от 1,5 до 2,0 см и длиной от 25 до 30 см.
4.3.5 Стекло часовое.
4.3.6 Уголь активный БАУ-А по ГОСТ 6217-74.
Определение сульфатов турбидиметрическим методом основано на измерении интенсивности помутнения растворов, содержащих сульфаты, при добавлении хлорида бария в кислой среде. Для стабилизации суспензии BaSO4 в реакционную смесь вводят этиленгликоль или глицерин, а для понижения растворимости сульфата бария - этиловый или изопропиловый спирт.
Оптическую плотность растворов измеряют при 315 нм.
6.1 При выполнении измерений массовой концентрации сульфатов в пробах природных и очищенных сточных вод соблюдают требования безопасности, установленные в национальных стандартах и соответствующих нормативных документах.
6.2 По степени воздействия на организм вредные вещества, используемые при выполнении измерений, относятся ко 2-му и 3-му классам опасности по ГОСТ 12.1.007.
6.3 Содержание используемых вредных веществ в воздухе рабочей зоны не должно превышать установленных ПДК в соответствии с ГОСТ 12.1.005.
6.4 Вредные вещества подлежат сбору и утилизации в соответствии с установленными правилами.
6.5 Особых требований по экологической безопасности не предъявляется.
К выполнению измерений и обработке их результатов допускают лиц с высшим или средним профессиональным образованием, имеющих стаж работы в лаборатории не менее 6 мес. и освоивших методику.
При выполнении измерений соблюдают следующие условия:
|
- температура окружающего воздуха, °С |
22±5; |
|
- атмосферное давление, кПа (мм рт. ст.) |
от 84,0 до 106,7
|
|
- влажность воздуха при температуре 25°С, %, не более |
80; |
|
- напряжение в сети, В |
220±22; |
|
- частота переменного тока в сети питания, Гц |
50±1. |
Отбор проб для определения сульфатов производится в соответствии с ГОСТ 17.1.5.05 и ГОСТ 31861. Оборудование для отбора проб должно соответствовать ГОСТ 17.1.5.04 и ГОСТ 31861. Пробы помещают в стеклянную или пластиковую посуду. Пробы, содержащие взвешенные вещества, фильтруют через мембранный фильтр 0,45 мкм или бумажный фильтр "синяя лента", отбрасывая первую порцию фильтрата. Объем отбираемой пробы не менее 250 см3.
Пробы хранят при температуре от 2°С до 5°С. Анализ проб очищенных сточных и загрязненных природных вод рекомендуется выполнять в течение 7 сут после отбора. Если в воде присутствуют заметные количества других соединений минеральной или органической серы, определение необходимо выполнять не позднее 1 сут после отбора проб.
Собирают установку по 4.1.17, в плоскодонную колбу помещают 1000 см3 дистиллированной воды, колбу устанавливают на плиту, затем подсоединяют холодильник и перегоняют воду, отбрасывая первые 50 см3.
Очищенную воду используют для приготовления реактивов и хранят в плотно закрытой посуде с пластиковой пробкой не более 3 сут.
При наличии любых систем очистки воды с использованием фильтров (картриджей) ионообменных смол (допустимо и без УФ-облучения) подготовку воды проводят в соответствии с инструкцией по их эксплуатации.
Смешивают 50 см3 бидистиллированной воды с 50 см3 концентрированной соляной кислоты. Срок хранения в плотно закрытой склянке не ограничен.
Растворяют 6,2 г хлорида бария в 100 см3 бидистиллированной воды. Срок хранения в плотно закрытой склянке не ограничен.
В конической колбе вместимостью 500 см3 смешивают 50 см3 5%-го раствора хлорида бария с 150 см3 этиленгликоля или глицерина и 150 см3 этилового или изопропилового спирта. Допускается смешивать и другие объемы, но соотношение должно быть равно указанному. Доводят значение рН раствора приблизительно до 3 по универсальной индикаторной бумаге раствором соляной кислоты по 9.2.2 и оставляют на срок не менее 3 сут в темном месте, накрыв колбу часовым стеклом. После отстаивания раствор осадителя переносят в темную склянку с притертой стеклянной или пластиковой пробкой. Если при отстаивании на дне колбы образовался осадок, перенос раствора осадителя в склянку следует проводить осторожно, так чтобы осадок остался в колбе. Срок хранения при комнатной температуре не более 1,5 мес.
Показателем непригодности раствора осадителя являются неудовлетворительные результаты контроля стабильности градуировочной зависимости с использованием градуировочного образца с концентрацией 40,0 мг/дм3 (см. 9.4).
Подготовку к работе и регенерацию активного угля осуществляют в соответствии с приложением А.
Градуировочный раствор готовят из ГСО с массовой концентрацией сульфат-ионов 10,00 мг/см3. Для приготовления градуировочного раствора вскрывают ампулу и ее содержимое переносят в сухую пробирку. С помощью сухой пипетки с одной отметкой отбирают 5,0 см3 образца и переносят в мерную колбу вместимостью 200 см3, объем раствора доводят до метки на колбе бидистиллированной водой и перемешивают. Массовая концентрация сульфатов в градуировочном растворе составляет 0,250 мг/см3 (если концентрация сульфат-ионов в ГСО не равна точно 10,00 мг/см3, рассчитывают массовую концентрацию сульфатов в градуировочном растворе соответственно концентрации конкретного образца).
Градуировочный раствор хранят в склянке с притертой стеклянной или пластиковой пробкой при комнатной температуре не более 6 мес.
При отсутствии ГСО допускается в качестве градуировочного раствора использовать аттестованный раствор сульфата калия, методика приготовления которого приведена в приложении Б.
Для приготовления градуировочных образцов в мерные колбы вместимостью 50 см3 с помощью градуированных пипеток типа 1 вместимостью 1, 2, 5 и 10 см3 вносят 0; 0,4; 0,8; 1,2; 1,6; 2,0; 3,0; 4,0; 5,0; 6,0 и 8,0 см3 градуировочного раствора с массовой концентрацией сульфатов 0,250 мг/см3.
Объемы растворов доводят до меток на колбах бидистиллированной водой и перемешивают. Массовая концентрация сульфатов в полученных образцах составит соответственно 0; 2,0; 4,0; 6,0; 8,0; 10,0; 15,0; 20,0; 25,0; 30,0; 40,0 мг/дм3.
Пипеткой с одной отметкой отбирают по 5,0 см3 каждого из приготовленных образцов, помещают их в сухие конические колбы вместимостью 50 см3 и добавляют по 1 капле раствора соляной кислоты (1:1). При установлении градуировочных зависимостей выполняют по 2 параллельных определения для каждого градуировочного образца. При непрерывном перемешивании приливают в каждую колбу по 5 см3 раствора осадителя с помощью градуированной пипетки типа 3 вместимостью 5 см3 и продолжают перемешивание содержимого не менее 15 с. Через (40±5) мин измеряют оптическую плотность полученных растворов относительно дистиллированной воды при длине волны 315 нм в кювете с толщиной поглощающего слоя 2 см. Измерения оптической плотности проводят трижды, перемещая кюветы с пробой и дистиллированной водой, для получения стабильных показаний прибора при работе с суспензиями. Среднее значение оптической плотности холостой пробы вычитают из усредненной оптической плотности растворов, содержащих сульфаты.
Градуировочные зависимости оптической плотности от концентрации сульфатов рассчитывают методом наименьших квадратов отдельно для диапазонов от 2,0 до 10,0 мг/дм3 и от 10,0 до 40,0 мг/дм3. Градуировочные зависимости устанавливают при приготовлении нового раствора осадителя, а также при замене измерительного прибора.
Контроль стабильности градуировочной характеристики проводят каждый раз перед анализом серии проб. Средствами контроля являются образцы, используемые для установления градуировочной зависимости по 9.4 (не менее 3 для каждого диапазона).
Допускается проводить контроль стабильности одной градуировочной зависимости, если вторая зависимость не будет использована для расчета результатов анализа в данной серии проб.
Градуировочная характеристика считается стабильной при выполнении следующего условия для всех используемых для контроля градуировочных образцов
|ХГ-СГ|≤σR, (1)
где ХГ - результат контрольного измерения массовой концентрации сульфатов в образце, мг/дм3;
СГ - приписанное образцу значение массовой концентрации сульфатов, мг/дм3;
σR - показатель воспроизводимости для концентрации СГ, мг/дм3 (см. таблицу 1).
Если условие стабильности не выполняется для одного градуировочного образца, необходимо выполнить повторное измерение этого образца для исключения результата, содержащего грубую погрешность. При повторном невыполнении условия выясняют причины нестабильности, устраняют их и повторяют измерение с использованием других образцов, предусмотренных методикой. Если градуировочный образец вновь не будет удовлетворять условию (1), устанавливают новую градуировочную зависимость.
При выполнении условия (1) учитывают знак разности между измеренными и приписанными значениями массовой концентрации сульфатов в образцах. Эта разность должна иметь как положительное, так и отрицательное значение, если же все значения имеют один знак, это свидетельствует о наличии систематического отклонения. В таком случае требуется установить новую градуировочную зависимость.
10.1 Отбирают пипеткой с одной отметкой по 5,0 см3 анализируемой воды в две сухие конические колбы вместимостью 50 см3, добавляют по одной капле раствора соляной кислоты (1:1) и перемешивают. Через 2 мин при непрерывном перемешивании приливают в колбы по 5 см3 раствора осадителя с помощью градуированной пипетки типа 3 и продолжают перемешивание содержимого не менее 15 с. Через (40±5) мин измеряют оптическую плотность полученных растворов относительно дистиллированной воды при длине волны 315 нм в кювете с толщиной поглощающего слоя 2 см. Измерения оптической плотности проводят трижды, перемещая кюветы с пробой и дистиллированной водой, для получения стабильных показаний прибора при работе с суспензиями.
Одновременно выполняют два параллельных определения сульфатов в холостой пробе, используя по 5,0 см3 бидистиллированной воды.
10.2 Мешающее влияние взвешенных и коллоидных веществ устраняют предварительным фильтрованием пробы через мембранный фильтр с диаметром пор 0,45 мкм или бумажный фильтр "синяя лента".
10.3 Если анализируемая вода окрашена или опалесцирует (опалесценция или слабая муть может появиться и при подкислении пробы), проводят измерение ее собственной оптической плотности, прибавив к 5,0 см3 пробы 1 каплю раствора соляной кислоты (1:1) и 5 см3 бидистиллированной воды.
10.4 Если оптическая плотность пробы, обусловленная ее окраской, превышает значение 0,2, для устранения влияния цветности воду осветляют с помощью колонки с активным углем (см. приложение А). Пробы воды объемом 100 см3 пропускают через предварительно подготовленную колонку, отбрасывая первую порцию воды объемом 50 см3 и отбирая следующие 50 см3 для анализа по 10.1.
11.1 Рассчитывают оптическую плотность Ах, соответствующую массовой концентрации сульфатов в анализируемой пробе воды
Ах=А-А1-А2, (2)
где А - оптическая плотность анализируемой пробы воды;
А1 - оптическая плотность холостого опыта;
А2 - собственная оптическая плотность анализируемой воды.
11.2 Массовую концентрацию сульфатов в анализируемой пробе воды X, мг/дм3, вычисляют по градуировочной зависимости согласно полученному значению Ах.
12.1 Результат измерения в документах, предусматривающих его использование, представляют в виде
X±Δ, мг/дм3 (Р = 0,95), (3)
где X̅ - среднее арифметическое значение двух результатов измерений, разность между которыми не превышает предела повторяемости r (2,77•σr), мг/дм3; при превышении предела повторяемости поступают согласно 13.2;
±Δ - границы абсолютной погрешности результатов измерений для данной массовой концентрации сульфатов (см. таблицу 1), мг/дм3.
Абсолютные погрешности результатов измерений представляют числом, содержащим не более двух значащих цифр. Наименьшие разряды числовых значений результатов измерений принимают такими же, как и наименьшие разряды числовых значений абсолютных погрешностей результатов измерений.
12.2 Допустимо представлять результат в виде
X̅±Δл (Р = 0,95) при условии Δл<Δ, (4)
где ±Δл - границы абсолютной погрешности результатов измерений, установленные при реализации методики в лаборатории и обеспечиваемые контролем стабильности результатов измерений, мг/дм3.
12.3 Результаты измерения оформляют протоколом или записью в журнале по формам, приведенным в Руководстве по качеству лаборатории.
13.1.1 Контроль качества результатов измерений при реализации методики в лаборатории предусматривает:
- оперативный контроль исполнителем процедуры выполнения измерений на основе оценки погрешности при реализации отдельно взятой контрольной процедуры;
- контроль стабильности результатов измерений на основе контроля стабильности повторяемости и погрешности.
13.1.2 Периодичность оперативного контроля исполнителем процедуры выполнения измерений, а также реализуемые процедуры контроля стабильности результатов выполняемых измерений регламентируются в Руководстве по качеству лаборатории.
13.2.1 Оперативный контроль повторяемости осуществляют для каждого из результатов измерений, полученных в соответствии с методикой. Для этого отобранную пробу воды делят на две части и выполняют измерение в соответствии с 10.1.
13.2.2 Результат контрольной процедуры rк, мг/дм3, рассчитывают по формуле
rк=|X1-X2|, (5)
где X1, X2 - результаты измерений массовой концентрации сульфатов в пробе, мг/дм3.
13.2.3 Предел повторяемости rп, мг/дм3, рассчитывают по формуле
rп=2,77•σr, (6)
где σr - показатель повторяемости для массовой концентрации, равной (X1+X2)/2, мг/дм3 (см. таблицу 1).
13.2.4 Результат контрольной процедуры должен удовлетворять условию
rк≤rп. (7)
13.2.5 При несоблюдении условия (7) выполняют еще два измерения и сравнивают разницу между максимальным и минимальным результатами с нормативом контроля. В случае превышения предела повторяемости поступают в соответствии с ГОСТ Р ИСО 5725-6 (раздел 5).
13.3.1 Оперативный контроль исполнителем процедуры выполнения измерений проводят путем сравнения результатов отдельно взятой контрольной процедуры Кк с нормативом контроля К.
13.3.2 Результат контрольной процедуры Кк, мг/дм3, рассчитывают по формуле
Кк=Х'-Х-Сд, (8)
где X' - результат контрольного измерения массовой концентрации сульфатов в пробе с известной добавкой, мг/дм3;
X - результат измерения массовой концентрации сульфатов в рабочей пробе, мг/дм3;
Сд - концентрация добавки, мг/дм3.
13.3.3 Норматив контроля погрешности К, мг/дм3, рассчитывают по формуле
, (9)
где Δлх', Δлх - значения абсолютной погрешности результатов измерений, установленные при реализации методики в лаборатории, соответствующие массовой концентрации сульфатов в пробе с добавкой (рабочей пробе), мг/дм3.
Примечание - Допустимо для расчета норматива контроля использовать значения абсолютной погрешности, полученные расчетным путем по формулам формулам Δлх'=0,84•Δх' и Δлх=0,84•Δх, где Δх', Δх - приписанные методике значения абсолютной погрешности, соответствующие концентрации сульфатов в пробе с добавкой и рабочей пробе, соответственно, мг/дм3.
13.3.4 Если результат контрольной процедуры удовлетворяет условию
|Кк|≤К, (10)
процедуру признают удовлетворительной.
13.3.5 При невыполнении условия (10) контрольную процедуру повторяют. При повторном невыполнении условия (10) выясняют причины, приводящие к неудовлетворительным результатам, и принимают меры по их устранению.
14.1 Расхождение между результатами измерений, полученными в двух лабораториях, не должно превышать предела воспроизводимости R. При выполнении этого условия приемлемы оба результата измерений и в качестве окончательного может быть использовано их общее среднее значение. Значение предела воспроизводимости рассчитывают по формуле
R=2,77•σR, (11)
где σR - показатель воспроизводимости, мг/дм3 (см. таблицу 1).
14.2 При превышении предела воспроизводимости могут быть использованы методы проверки приемлемости результатов измерений согласно ГОСТ Р ИСО 5725-6 (раздел 5) или МИ 2881.
14.3 Проверка приемлемости проводится при необходимости сравнения результатов измерений, полученных двумя лабораториями.
Приложение А
(обязательное)
А.1.1 Цилиндры мерные исполнения 1 или 3 по ГОСТ 1770-74 вместимостью: 250 см3 - 2 шт., 500 см3 - 1 шт.
А.1.2 Колба коническая Кн исполнения 2, ТС по ГОСТ 25336-82 вместимостью 500 см3.
А.1.3 Стакан В-1, ТХС, по ГОСТ 25336-82 вместимостью 600 см3.
А.1.4 Колонка хроматографическая диаметром от 1,5 до 2,0 см и длиной от 25 до 30 см.
А.1.5 Стекло часовое.
А.1.6 Уголь активный БАУ-А по ГОСТ 6217-74.
Растворяют 170 см3 концентрированной соляной кислоты в 330 см3 дистиллированной воды. Срок хранения раствора в плотно закрытой посуде не ограничен.
Растворяют 20 г гидроксида натрия в 480 см3 дистиллированной воды. Раствор хранят не более 6 мес. в плотно закрытой пластиковой посуде.
Растворяют 2 г гидроксида натрия в 500 см3 дистиллированной воды. Раствор хранят не более 3 мес. в плотно закрытой пластиковой посуде.
Активный уголь помещают в термостойкую коническую колбу вместимостью 500 см3 (слой угля должен быть не более 1/3 высоты колбы), добавляют 150 см3 раствора соляной кислоты, 4 моль/дм3, и кипятят не менее 2 ч, накрыв колбу часовым стеклом. Если раствор кислоты окрашивается, то его сливают и повторяют процедуру до тех пор, пока он не останется бесцветным. Уголь отмывают дистиллированной водой до значения рН, соответствующего рН дистиллированной воды, по универсальной индикаторной бумаге. Воду сливают, добавляют 150 см3 раствора гидроксида натрия, 1 моль/дм3, и выдерживают не менее 10 ч. Если появляется окраска, раствор гидроксида натрия сливают и процедуру повторяют до тех пор, пока он не останется бесцветным.
Очищенный уголь отмывают дистиллированной водой до нейтральной реакции по универсальной индикаторной бумаге. Хранят в склянке под слоем дистиллированной воды не более 6 мес.
После пропускания каждой пробы воды уголь в колонке регенерируют промыванием 0,4%-ным раствором гидроксида натрия до исчезновения окраски последнего, затем дистиллированной водой до нейтральной реакции.
Приложение Б
(рекомендуемое)
Настоящая методика регламентирует процедуру приготовления аттестованного раствора сульфата калия, предназначенного для установления градуировочных характеристик приборов и контроля точности результатов измерений массовой концентрации сульфатов в природных и очищенных сточных водах турбидиметрическим методом.
Б.2.1 Аттестованное значение массовой концентрации сульфатов в аттестованном растворе составляет 0,250 мг/см3.
Б.2.2 Границы погрешности установления аттестованного значения массовой концентрации сульфатов в аттестованном растворе AP-SO42- составляют ±0,0028 мг/см3 (Р = 0,95).
Б.3.1 Весы неавтоматического действия (лабораторные) специального (I) класса точности по ГОСТ Р 53228-2008 или ГОСТ OIML R 76-1-2011, действительная цена деления (шкалы) 0,0001 г.
Б.3.2 Колба мерная 2-го класса точности исполнения 2, 2а по ГОСТ 1770-74 вместимостью 500 см3.
Б.3.3 Стаканчик для взвешивания (бюкс) СВ-19/9 по ГОСТ 25336-82.
Б.3.4 Воронка лабораторная, тип В по ГОСТ 25336-86 диаметром 56 мм.
Б.3.5 Система получения воды для лабораторного анализа степени чистоты 1 или 2 по ГОСТ Р 52501-2005 с использованием ионообменных смол любого типа (фирма Merck Millipore "Simplicity" или аналог).
Б.3.6 Установка для перегонки дистиллированной воды из стекла группы ТС (плоскодонная колба типа П исполнения 1 с взаимозаменяемым конусом 29/32, вместимостью 1000 или 2000 см3, насадка типа Н1 с взаимозаменяемыми конусами 29/32-14/23-14/23, холодильник типа ХПТ исполнения 1 длиной не менее 400 мм, аллонж типа АИ с взаимозаменяемым конусом муфты 14/23) по ГОСТ 25336-82.
Б.3.7 Эксикатор исполнения 2, с диаметром корпуса 190 мм по ГОСТ 25336-82.
Б.3.8 Хлорид кальция обезвоженный по ТУ 6-09-4711-81, ч. (для эксикатора).
Б.3.9 Склянка для хранения раствора сульфата калия вместимостью 0,5 дм3.
Б.3.10 Шкаф сушильный общелабораторного назначения.
Б.4.1 Калий сернокислый (сульфат калия) по ГОСТ 4145-74, х.ч., массовая доля основного вещества не менее 99,0%.
Б.4.2 Вода дистиллированная по ГОСТ 6709-72.
Для приготовления аттестованного раствора AP-SO42- на весах специального класса точности взвешивают в бюксе с точностью до четвертого знака после запятой 0,227 г сульфата калия, предварительно высушенного в сушильном шкафу при 105°С в течение 1 ч и охлажденного в эксикаторе над хлоридом кальция. Количественно переносят навеску в мерную колбу вместимостью 500 см3, растворяют в бидистиллированной воде, доводят объём раствора до метки на колбе и перемешивают. Переносят раствор в склянку с хорошо притертой стеклянной или пластиковой пробкой.
Полученному раствору приписывают массовую концентрацию сульфатов 0,250 мг/см3.
При отборе навески сульфата калия, отличной от значения 0,227 г, концентрацию и погрешность аттестованного раствора рассчитывают по Б.6.
Б.6.1 Аттестованное значение массовой концентрации сульфатов С, мг/см3, рассчитывают по формуле
, (Б.1)
где m - масса навески сульфата калия, г;
V - вместимость мерной колбы, см3;
96,06 и 174,25 - молярная масса сульфат-иона и сульфата калия, соответственно, г/моль;
1000 - коэффициент пересчета, мг/г.
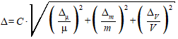
Б.6.2 Расчет предела возможных значений погрешности установления массовой концентрации сульфатов в аттестованном растворе AP-SO42-Δ, мг/см3, выполняют по формуле
, (Б.2)
где Δμ - предельное значение возможного отклонения массовой доли основного вещества в реактиве от приписанного значения μ , %;
μ - массовая доля основного вещества (K2SO4) в реактиве, приписанная реактиву квалификации "х.ч.", %;
Δm - предельная возможная погрешность взвешивания, г;
ΔV - предельное значение возможного отклонения вместимости мерной колбы от номинального значения, см3.
Б.6.3 Погрешность установления массовой концентрации сульфатов в аттестованном растворе AP-SO42- равна
мг/см3.
Необходимо соблюдать общие требования техники безопасности при работе в химических лабораториях.
Аттестованный раствор может готовить специалист с высшим или средним профессиональным образованием, прошедший специальную подготовку и имеющий стаж работы в химической лаборатории не менее 6 мес.
На склянку с аттестованным раствором должна быть наклеена этикетка с указанием условного обозначения аттестованного раствора, массовой концентрации сульфатов, погрешности ее установления и даты приготовления.
Аттестованный раствор хранят в склянке с притертой стеклянной или пластиковой пробкой при комнатной температуре не более 6 мес.


