ГОСТ Р МЭК 62459-2016 ОБОРУДОВАНИЕ ЗВУКОВЫХ СИСТЕМ. ЭЛЕКТРОАКУСТИЧЕСКИЕ ПРЕОБРАЗОВАТЕЛИ. ИЗМЕРЕНИЕ ПОДВЕСНЫХ ЧАСТЕЙ
Sound system equipment. Electroacoustical transducers. Measurement of suspension parts
Предисловие
1 Подготовлен Автономной некоммерческой организацией "Научно-технический центр сертификации электрооборудования" "ИСЭП" (АНО "НТЦСЭ "ИСЭП") на основе собственного перевода на русский язык англоязычной версии международного стандарта, указанного в пункте 4
2 Внесен Техническим комитетом по стандартам ТК 452 "Безопасность аудио-, видео-, электронной аппаратуры, оборудования информационных технологий и телекоммуникационного оборудования"
3 Утвержден и введен в действие Приказом Федерального агентства по техническому регулированию и метрологии от 1 ноября 2016 г. N 1550-ст
4 Настоящий стандарт идентичен международному стандарту МЭК 62459:2010 "Оборудование звуковых систем. Электроакустические преобразователи. Измерение подвесных частей" (IEC 62459:2010 "Sound system equipment - Electroacoustical transducers - Measurement of suspension parts", IDT), включая поправку IEC 62459:2010/Cor 1:2015.
Поправка к указанному международному стандарту, принятая после его официальной публикации внесена в текст настоящего стандарта и выделена двойной вертикальной линией, расположенной на полях от соответствующего текста, а обозначение и год принятия поправки приведены в скобках после соответствующего текста (в примечании к тексту).
При применении настоящего стандарта рекомендуется использовать вместо ссылочных международных стандартов соответствующие им национальные стандарты Российской Федерации, сведения о которых приведены в дополнительном приложении ДА
5 Введен впервые
Общие положения
1) Международная электротехническая комиссия (МЭК) является международной организацией по стандартизации, объединяющей все национальные электротехнические комитеты (национальные комитеты МЭК). Задача МЭК - продвижение международного сотрудничества во всех вопросах, касающихся стандартизации в области электротехники и электроники. Результатом этой работы и в дополнение к другой деятельности МЭК является издание международных стандартов, технических требований, технических отчетов, публично доступных технических требований (PAS) и руководств (в дальнейшем именуемых "публикации МЭК"). Их подготовка поручена Техническим комитетам. Любой национальный комитет МЭК, заинтересованный в объекте рассмотрения, с которым имеет дело, может участвовать в предварительной работе. Международные, правительственные и неправительственные организации, сотрудничающие с МЭК, также принимают участие в этой подготовке. МЭК близко сотрудничает с Международной организацией по стандартизации (ИСО) в соответствии с условиями, определенными соглашением между этими двумя организациями.
2) В формальных решениях или соглашениях МЭК выражено положительное решение технических вопросов, практически консенсус на международном уровне в соответствующих областях, так как в составе каждого Технического комитета есть представители от национальных комитетов МЭК.
3) Публикации МЭК принимаются национальными комитетами МЭК в качестве рекомендаций. Приложены максимальные усилия для того, чтобы гарантировать правильность технического содержания публикаций МЭК, однако МЭК не может отвечать за порядок их использования или за неверное толкование конечным пользователем.
4) В целях содействия международной гармонизации, национальные комитеты МЭК обязуются применять публикации МЭК в их национальных и региональных публикациях с максимальной степенью приближения к исходным. Любые расхождения между любой публикацией МЭК и соответствующей национальной или региональной публикацией должно быть четко обозначено в последней.
5) МЭК не устанавливает процедуры маркировки знаком одобрения и не берет на себя ответственность за любое оборудование, о котором заявляют, что оно соответствует публикации МЭК.
6) Все пользователи должны быть уверены, что они используют последнее издание этой публикации.
7) МЭК или его директора, служащие или агенты, включая отдельных экспертов и членов его Технических комитетов и национальных комитетов МЭК, не несут никакой ответственности за причиненные телесные повреждения, материальный ущерб или другое повреждение любой природы вообще, как прямое так и косвенное, или за затраты (включая юридические сборы) и расходы, проистекающие из использования публикации МЭК, или ее разделов, или любой другой публикации МЭК.
8) Следует обратить внимание на нормативные ссылки, указанные в настоящем стандарте. Использование ссылочных международных стандартов является обязательным для правильного применения настоящего стандарта.
9) Следует обратить внимание на то, что имеется вероятность того, что некоторые из элементов настоящего стандарта несут ответственность за идентификацию любых таких патентных прав.
МЭК 62459 подготовлен техническим комитетом 100 МЭК "Аудио-, видео- и мультимедийные системы и оборудование".
Настоящее первое издание отменяет и заменяет документ IEC/PAS 62459, опубликованный в 2006 г. Стандарт является техническим пересмотром. Основные изменения приведены ниже:
- описания методов измерения приведены в соответствие с современным уровнем технологий;
- добавлены разделы с 5 по 13;
- приложение А "Нормы и правила" интегрировано в основную часть стандарта;
- произведен полный пересмотр всего текста.
Текст настоящего стандарта основан на следующих документах:
|
Окончательный проект международного стандарта |
Отчет о голосовании |
|
100/1625/FDIS |
100/1648/RVD |
Полную информацию о голосовании по одобрению настоящего стандарта можно найти в отчете о голосовании, указанном в приведенной выше таблице.
Настоящая публикация разработана в соответствии с Директивами ИСО/МЭК, часть 2.
Комитет принял решение, что содержание настоящего стандарта останется без изменений до конечной даты сохранения, указанной на сайте МЭК с адресом http://webstore.iec.ch, в данных, касающихся конкретного стандарта. На это время стандарт будет:
- подтвержден заново;
- аннулирован;
- заменен пересмотренным изданием; или
- изменен.
Введение
Характеристики подвесных частей, таких как центрирующие шайбы (слайдеры) и оголовки (подвесы), существенно влияют на конечное качество звукового сигнала громкоговорителя. В настоящем стандарте определены методы измерения и параметры, необходимые для разработки и обеспечения изготовителями качества подвесных частей громкоговорителей.
Для измерения подвесных частей при малых и больших амплитудах сигналов разработаны статические и динамические методы. В силу упругопластических/вязкоупругих свойств суспензионных материалов (волокнистого материала, каучука/резины, пеноматериала, бумаги) результаты измерений зависят от условий измерений, и результаты, полученные разными методами, сравнивать бессмысленно. Например, характеристики, измеряемые с использованием статического метода, сильно меняются в зависимости от динамического поведения суспензионных материалов при возбуждении звуковым сигналом. В настоящем стандарте приведена терминология, характеристики, которые необходимо определить, и указан вид представления результатов. Цель разработки стандарта заключается в улучшении воспроизводимости/повторяемости измерений, в упрощении интерпретации результатов и в поддержке обмена информацией между изготовителями подвесных частей и изготовителями скомплектованных устройств возбуждения.
Настоящий стандарт распространяется на подвесные части электроакустических преобразователей (например, громкоговорителей/динамиков). В стандарте установлены параметры и методы измерения, позволяющие определять характеристики подвесных частей, таких как центрирующие шайбы (слайдеры), оголовки (подвесы), мембраны или диффузоры до их сборки в преобразователь. Результаты измерений предназначены для технического проектирования и управления качеством. Методы измерений, установленные настоящим стандартом, предназначены для улучшения корреляции между результатами измерений, проводимых изготовителями подвесных частей и изготовителями акустических систем (громкоговорителей).
Методы измерения обеспечивают получение параметров, основанных на линейном и нелинейном моделировании подвесной части и могут быть как статическими, так и динамическими.
Для применения настоящего стандарта необходимы следующие ссылочные документы. Для датированных ссылок применяют только указанное издание ссылочного документа, для недатированных ссылок применяют последнее издание ссылочного документа (включая любые изменения).
IEC 60268-1 Sound system equipment - Part 1: General (Оборудование звуковых систем. Часть 1. Общие положения)
В настоящем стандарте используют следующие термины с соответствующими определениями.
3.1 подвесная часть (suspension part): Оголовок (подвес) диффузора, изготовленного из резины, пеноматериала, бумаги и волокнистого материала, и центрирующая шайба (спайдер), обычно изготавливаемый из материала с пропиточным веществом.
3.2 смещение, х (displacement, х): Направление, перпендикулярное внутреннему ободу подвесной части.
3.3 максимальное смещение, xpeak (peak displacement, xpeak): Значение максимального смещения, возникающего при динамическом измерении на резонансной частоте.
3.4 движущая сила, F (driving force, F): Суммарное воздействие возвращающей силы, силы трения и инерции подвесной части и внутренних фиксирующих частей у горловины подвески.
3.5 передаточная функция/функция преобразования (transfer function, H(f)): Амплитудная характеристика между спектром смещения X(jw) = FT{x(t)} и спектром силы F(jw) = FT{F(t)}, задаваемая формулой
(1)
3.6 динамическая жесткость, K(хас) [dynamic stiffness, K(хас)]: Величина, обратная динамической податливости С(хас); это отношение мгновенной силы Fac к мгновенному смещению хас при сигнале возбуждения переменным током в точке хас, задаваемое следующим уравнением
.(2)
Примечание - Динамическая жесткость K(хас) соответствует секансу угла/секущей между исходной и рабочей точкой, определяемой хас на кривой сила-смещение.
3.7 инкрементальная жесткость, Kinc(xdc) [incremental stiffness, Kinc(xdc)]: Величина, обратная инкрементальной податливости C(xdc); это отношение небольшой силы переменного тока Fac к небольшому смещению хас, создаваемому ею в рабочей точке xdc в установившемся режиме, задаваемое следующим уравнением
.(3)
Примечание - Инкрементальная жесткость, Kinc(хdc) соответствует градиенту в рабочей точке, определяемой xdc на кривой сила-смещение.
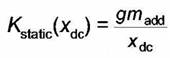
3.8 статическая жесткость, Kstatic(xdc) [static stiffness, Kstatic(xdc)]: Величина, обратная статической податливости Cstatic(xdc); это отношение силы постоянного тока Fdc к смещению по постоянному току xdc, создаваемому ею в рабочей точке xdc в установившемся режиме; статическая жесткость, Kstatic(xdc) соответствует секансу угла/секущей между исходной и рабочей точкой кривой сила-смещение и определяется уравнением
.(4)
3.9 подвижная масса, m (moving mass, m): Масса, определяемая по следующей формуле
m=δms+mc,
(5)
где ms - масса подвесной части;
mc - дополнительная масса внутренних фиксирующих частей;
δ - фактор фиксирования (при 0 < δ≤ 1), определяющий часть подвески, которая вносит вклад в подвижную массу.
Примечание - Если фактор δ неизвестен, подвижная масса приблизительно определяется путем использования общего (полного) веса подвесной части (δ = 1) при условии, что масса mc внутренней фиксирующей части намного больше подвижной массы m (mc>> ms).
3.10 резонансная частота, fR (resonance frequency, fR): Частота смещения по переменному току хас, при которой возвращающая сила FK = K(хас)хас подвесной части равна инерции подвижной массы m и задается следующим уравнением
.(6)
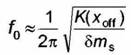
3.11 наименьшая резонансная частота диффузора, f0 (lowest cone resonance frequency, f0): Частота, при которой масса диффузора и жесткость подвеса находятся в резонансе.
Примечание 1 - Наименьшую резонансную частоту диффузора можно приблизительно вычислить по формуле
,(7)
при использовании жесткости K(xoff) при сдвиге xoff, обусловленном гравитацией, фактора фиксирования δ и массы диффузора ms.
Примечание 2 - Формула (7) заменена согласно IEC 62459:2010/Cor 1:2015 (Поправка 1:2015).
3.12 эффективная жесткость, Keff (effective stiffness, Keff): Жесткость, представляющая консервативные свойства подвесной части, вибрирующей при резонансной частоте fR при использовании подвижной массы m и определяемая по формуле
Keff(xpeak)=(2πfR)2m.
(8)
Примечание - Эффективная жесткость Keff(xpeak) или обратная величина - податливость Ceff(xpeak) = 1/Keff(xpeak) являются интегралами соответствующих нелинейных параметров K(х) и С(х) в используемом рабочем диапазоне, определяемыми пиковым значением хpeak. Эффективные параметры прямо относятся к резонансной частоте и могут измеряться при минимальном оборудовании. Однако эффективные параметры можно сравнивать только тогда, когда измерения выполняются при одном и том же максимальном смещении xpeak.
3.13 коэффициент потерь, Q (loss factor, Q): Коэффициент между значением передаточной функции/функции преобразования H(fR) на резонансной частоте fR и значением передаточной функции/функции преобразования H(fdc) на очень низких частотах fdc (при fdc << fR) определяемый соотношением
.(9)
Примечание - Если потери достаточно высоки (Q > 2) передаточная функция H(f) имеет отчетливый максимум (пик) на резонансной частоте fR.
3.14 механическая прочность, R (mechanical resistance, R): Значение механической прочности, рассчитанной по формуле
,(10)
где m - подвижная масса;
fR - резонансная частота;
Q - коэффициент потерь.
3.15 размер внутреннего зажима, Di (inner clamp dimension, Di): Диаметр горловины подвесной части, зафиксированной внутренними фиксирующими частями (например, диффузором и колпачком).
3.16 размер наружного (внешний) зажима, Do (outer clamp dimension, Do): Внутренний диаметр наружной зоны подвесной части, зафиксированной внешними фиксирующими элементами (например, верхними и нижними фиксирующими кольцами).
Испытания проводят при температуре окружающей среды от 15 °С до 35 °С (рекомендуется при 20 °С), относительной влажности от 25 % до 75 % и атмосферном давлении от 86 до 106 кПа, как указано в МЭК 60268-1.
До начала измерения испытуемая подвесная часть должна храниться при указанных климатических условиях в течение 24 ч.
Подвесная часть при динамическом испытании должна фиксироваться также, как при ее монтаже в готовом громкоговорителе.
В некоторых случаях может быть удобным использовать оригинальные части громкоговорителя (каркас звуковой катушки, рамку), а для их фиксации - клей.
В целях сравнения образцов, хранения эталонных единиц и для упрощения контактов между изготовителем и потребителем рекомендуется проводить неразрушающее испытание. Поскольку подгонка специальных фиксирующих частей, подходящих для конкретной геометрии, является дорогой и долговременной операцией, можно порекомендовать более универсальную систему фиксации, включающую минимальное количество основных элементов (например, колец, колпачков и диффузоров).
Подвижная масса m зависит от массы подвижных частей подвески, воздушной нагрузки и массы внутренней фиксирующей части. Если масса внутренней фиксирующей части намного больше массы подвески, полную подвижную массу m можно аппроксимировать общим (полным) весом подвески с внутренней фиксирующей частью (δ = 1). В этом случае массу зажатого участка у наружной зоны подвески и влияние воздушной нагрузки можно не учитывать.
Вертикальное положение подвесной части во время измерения (смещение в горизонтальном направлении) является обязательным, если нельзя пренебречь весом внутренних фиксирующих частей или весом подвесной части. Горизонтальное положение (смещение в вертикальном направлении) может вызвать сдвиг в смещении диффузора из-за гравитации, увеличивая степень жесткости.
Для недопущения эксцентрической деформации или колебания относительно поперечной оси (опрокидывания) подвесной части и для подавления других видов вибрации (режимов качания) можно использовать дополнительные рекомендации относительно внутренних фиксирующих частей.
Следует указать значение фактора фиксирования в соответствии с 3.9, а при его отсутствии следует использовать его значение по умолчанию δ = 1. Настоятельно рекомендуется указывать внутренний зажимной размер Di и наружный (внешний) зажимной размер Do, а также геометрию внутренней фиксирующей части. Также необходимо указывать ориентацию подвесной части (сторону подвесной части, использующуюся в качестве передней и в качестве задней в измерительном зажимном устройстве). Воспроизводимость/повторяемость измерения можно улучшить за счет использования одинаковых фиксирующих частей и одной и той же ориентации подвески.
В данном методе измерения статической жесткости в соответствии с уравнением (4) используют сигнал постоянного тока определенного значения (например, постоянную силу Fdc) в качестве возбуждения (воздействия) и измеряют характеристику/отклик подвесной части по постоянному току (например, смещение xdc) в устоявшемся режиме. Время измерения, необходимое для получения устойчивой характеристики, зависит от вязкоупругой характеристики суспензионного материала (крипа), которое обычно намного больше времени успокоения/установления сигнала переменного тока, соответствующего резонансной частоте fR.
Данный метод аналогичен статическому измерению, указанному в 6.1, при использовании относительно небольшого времени измерения Т. Соотношение силы постоянного тока FT и смещения по постоянному току хТ - это квазистатическая жесткость Kquasi(xT) в рабочей точке хТ. Так как подвесная часть не достигает конечного баланса, квазистатическая жесткость обычно выше статической жесткости [Kquasi(x) > Kstatic(x)]. Время установления/считывания, которое сильно влияет на результаты, должно указываться вместе с результатами.
В данном методе измерения инкрементальной жесткости Kinc(xdc) согласно уравнению (3) используют замещение сигнала постоянного тока определенного значения (например, постоянная возвращающая сила Fdc, генерируемая постоянным током в положении xdc) и небольшого сигнала переменного тока (например, возвращающая сила Fac) в качестве возбуждения (воздействия) и измеряют характеристику/отклик подвесной части по переменному току (например, составляющую переменного тока в смещении хас) в установившемся режиме. Если пренебречь вязкоупругой характеристикой суспензионного материала, инкрементальную жесткость Kinc(хi) можно преобразовать в обычную жесткость K(х) по формуле
.(11)
Примечание - Первое предложение заменено согласно IEC 62459:2010/Cor 1:2015 (Поправка 1:2015).
В данном методе для измерения динамической жесткости K(хас) используют сигнал переменного тока определенного значения (например, возвращающую силу переменного тока Fac) и измеряют характеристику/отклик подвесной части по переменному току (например, смещение хас).
Примечание - Текст подпункта заменен согласно IEC 62459:2010/Cor 1:2015 (Поправка 1:2015).
Статическое смещение xstatic(Fdc) - это изменение позиции внутренней фиксирующей части, обусловленное силой постоянного тока Fdc в установившемся режиме.
7.2.1 Общие положения
Статическое смещение можно измерить путем генерирования силы постоянного тока Fdc за счет веса известной массы, прикрепляемой к внутренней фиксирующей части, как показано на рисунке 1. Данный метод можно также автоматизировать с помощью шаговых двигателей с автоматическим управлением для создания смещения или силы.
Рисунок 1 - Измерение статического смещения
7.2.2 Испытательное оборудование
Испытательное оборудование включает:
- оснастку и сопутствующие элементы для размещения подвесной части в горизонтальном положении при проведении фиксации зажима наружной зоны (например, с использованием колец), как показано на рисунке 1;
- колпачок или заглушки, которые соответствуют горловине подвесной части, и обеспечивают средства создания определенной силы в вертикальном направлении. При использовании "метода подвешенной массы" (см. рисунок 1) колпачок должен иметь крюк для удержания дополнительной массы;
- средства создания определенной силы в вертикальном направлении;
- датчик для измерения смещения подвеса. Использование оптического датчика смещения (лазера) предпочтительнее механического или электрического датчика.
7.2.3 Процедура
Измерения выполняют в следующей последовательности:
a) зафиксировать наружную зону подвесной части по наружному размеру Do за счет использования верхнего и нижнего зажимного кольца;
b) установить колпачок на горловину подвесной части;
c) измерить положение xinit колпачка;
d) приложить к колпачку определенное усилие. Проверить подвесную часть на наличие аномальной деформации, например, на сминание, перекос, изменение гофры и, при необходимости усилие уменьшить;
e) измерить смещение xmass по истечении указанного времени установления (Т = 5 с) для измерения статической или квазистатической характеристики;
f) рассчитать смещение xstatic = xmass - xinit;
g) перевернуть подвесную часть и выполнить второе измерение при отклонении в другом направлении с использованием соответствующей фиксирующей части, которая учитывает форму подвески.
Примечание - В [5]* приведена более подробная информация относительно автоматизированного метода создания смещения и метода подвешенной массы.
──────────────────────────────
* Цифры в квадратных скобках указывают номер первоисточника в разделе "Библиография".
7.2.4 Представление результатов
Результаты измерений, полученные при использовании "метода подвешенной массы", должны представляться в виде смещения xstatic при заданной прикрепленной массе.
Пример - xstatic = 5 мм при m = 50 г.
Результаты автоматического метода, при котором выполняют серию измерений при изменении значений и направления (знака) создаваемой силы Fdc, рекомендуется представлять в виде кривой зависимости смещения от силы/усилия.
Примечание - Статическое смещение xstatic сильно зависит от времени измерения T, начальных условий и вязкоупругой характеристики материала (дрейфа/крипа), обусловленной гистерезисом кривой сила - смещение.
Статическая жесткость Kstatic(Fdc) - это соотношение между статической силой Fdc и статическим смещением xdc в установившемся режиме.
Статическое смещение xdc измеряют в соответствии с 7.2, а статическую жесткость Kstatic рассчитывают по уравнению (4).
Используя "метод подвешенной массы", рассчитывают статическую жесткость при использовании стандартной константы гравитации g = 9, 81 м/с2 и известной массе madd, прикрепляемой к внутреннему элементу крепления (например, madd = 50 г) по формуле
.(12)
Примечание - Обычно существует значительная разница между статической и динамической жесткостью, которая представляет зависимость (характеристику) подвесной части от аудиосигнала.
Результаты измерений, полученные при использовании "метода подвешенной массы", должны представляться как статическая жесткость Kstatic при заданной прикрепленной массе.
Пример: Kstatic = 5H/мм с madd = 50 г.
Результаты автоматического метода, при котором выполняют серию измерений при изменении значений и направления (знака) создаваемой силы Fdc, рекомендуется представлять в виде кривой зависимости статической жесткости Kstatic от смещения xdc.
Наименьшая резонансная частота диффузора f0 - это наименьшая резонансная частота диффузора громкоговорителя, закрепленного в наружной зоне (обычно подвеса/оголовка) в горизонтальном положении без использования внутренней фиксирующей части. Наименьшую резонансную частоту диффузора определяют, как частоту, на которой передаточная функция H(f), соответствующая уравнению (1), имеет отчетливый максимум (пик).
Примечание - Во втором предложении замена ссылка на формулу согласно IEC 62459:2010/Cor 1:2015 (Поправка 1:2015).
9.2.1 Общие положения
На диффузор можно воздействовать акустически за счет использования дополнительного динамика/громкоговорителя, смонтированного ниже диффузора, как показано на рисунке 2. Резонансную частоту можно измерить динамически с использованием акустического воздействия.
Примечание - Данный метод меньше подходит для измерения жесткости K подвеса, так как фактор фиксирования δ неизвестен. Наименьшая резонансная частота диффузора f0 может зависеть от амплитуды сигнала возбуждения из-за нелинейности подвеса (оголовка), и ее следует рассматривать как эффективный параметр. Вес диффузора также может вызывать сдвиг xoff, который создает большую жесткость, чем существующая в позиции покоя х = 0.
Рисунок 2 - Измерение наименьшей резонансной частоты f0
9.2.2 Испытательное оборудование
Основными элементами необходимого испытательного оборудования являются следующие устройства:
- генератор синусоидального сигнала и частотомер;
- усилитель мощности;
- запускающий динамик (обычно большой вуфер - НЧ громкоговоритель) для акустического возбуждения диффузора, имеющий резонанс в свободном пространстве на частоте ниже одной трети резонансной частоты испытуемого диффузора. Запускающий динамик должен монтироваться на квадратной твердой пластине параллельно поверхности нижнего фиксирующего/зажимного кольца так, чтобы лицевая поверхность монтажной пластины находилась на расстоянии 0, 09-0, 1 мот поверхности монтажа испытуемого диффузора. Зона между монтажной поверхностью запускающего динамика и нижним фиксирующим/зажимным кольцом должна быть открытой с обоих концов для недопущения нежелательной нагрузки запускающего динамика. Это обеспечивает испытание в неэкранированном ближнем поле запускающего динамика:
- нижнее и верхнее фиксирующее/зажимное кольцо для надежного крепления диффузора;
- оптический или акустический датчик для обнаружения резонанса зафиксированного диффузора. Не рекомендуется использовать визуальное обнаружение (контроль).
9.2.3 Процедура
Следует выполнить следующие операции:
a) разместить испытуемый диффузор между зажимными кольцами, установленными должным образом;
b) подать синусоидальный сигнал через усилитель мощности на динамик/громкоговоритель;
c) измерить резонансную частоту, когда будет наблюдаться максимальное отклонение при вибрации диффузора.
Примечание - Более подробно данный метод представлен в [4].
9.2.4 Представление результатов
В протоколе/отчете рекомендуется указывать самую низкую резонансную частоту f0 в Гц вместе с условиями окружающей среды (например, влажностью и температурой).
Динамическая жесткость K(хac) - это соотношение мгновенного усилия/силы Fac и мгновенного смещения хас при сигнале возбуждения в установившемся режиме.
Примечание - Для объяснения поведения подвесной части в собранном динамике, возбужденном звуковым сигналом, требуется провести полное динамическое измерение ее линейных и нелинейных параметров.
10.2.1 Общие положения
Подвесная часть надежно крепится у наружной зоны оголовка/подвеса, а возбуждающая сила переменного тока подается на внутреннюю горловину подвески. Во время измерения подвесная часть должна находиться в вертикальном положении (обеспечивая смещение в горизонтальном направлении) для недопущения сдвига, обусловленного весом/отклонением распределения весовых нагрузок. Эти требования можно реализовать за счет работы подвесной части на резонансной частоте fR, определяемой при использовании подвижной массы m и динамической жесткости K согласно уравнению (6). Рекомендуется возбуждать резонатор сигналом звукового давления переменного тока, генерируемым динамиком, смонтированным в корпусе, как показано на рисунке 3. Этот метод можно применять к большинству типов подвесных частей (центрирующих шайб/спайдеров и диффузоров).
10.2.2 Испытательное оборудование
При применении методов акустического возбуждения, представленных на рисунке 3, используют следующие элементы (устройства):
a) средства генерирования сигнала, используемого в качестве возбуждения (например, генератор синусоидального сигнала);
b) усилитель мощности;
c) средства возбуждения подвесной части воздействием (например, громкоговоритель/динамик, смонтированный в достаточно большом испытательном коробе для акустического возбуждения, как показано на рисунке 3);
d) наружные фиксирующие части (например, пара подходящих фиксирующих колец для крепления зоны оголовка/подвеса подвесной части);
e) внутренние фиксирующие части (например, диффузор и колпачок) для подачи запускающей силы на внутреннюю горловину подвески подобно конечному использованию в собранном динамике;
f) средства для обеспечения смещения подвесной части в нормальном направлении (например, направляющего штыря) для недопущения режимов качания подвесной части с высокими амплитудами. Трение внутренней фиксирующей части на направляющий штырь должно быть достаточно низким за счет соответствующей конструкции (например, тефлоновой опорной поверхности на рукаве и полированной поверхности штыря) для получения резонатора с коэффициентом потерь Q > 2;
g) средства для определения смещения и запускающей силы подвесной части посредством проведения прямого (механического) или косвенного (акустического) измерения. Если динамик возбуждается акустически, запускающую силу F(t) можно рассчитать по звуковому давлению p(t), измеряемому внутри корпуса;
h) прецизионные весы.
10.2.3 Процедура
Динамические измерения эффективной жесткости Keff и жесткости в зависимости от сдвига K(х) подвесной части выполняют в следующей последовательности:
a) зафиксировать горловину подвесной части по внутреннему размеру Di при помощи использования внутренних фиксирующих частей (например, колпачка и диффузора);
b) измерить полную (общую) массу подвески и внутренних фиксирующих частей с помощью прецизионных весов;
Рисунок 3 - Пневматическое возбуждение подвесной части
c) закрепить наружную зону подвесной части по наружному размеру Do с помощью верхнего и нижнего фиксирующего/зажимного кольца. Колпачок монтируют на верхней стороне, а диффузор снизу. Рекомендуется, чтобы верхняя сторона подвесной части, которая указывает на положительный сдвиг, была промаркирована. Для измерения нелинейной жесткости K(х) требуется направляющий штырь для внутренней фиксирующей части;
d) привести в возбуждение подвесную часть (например, пневматически) с помощью синусоидального качания частоты (развертки), начиная с fs = 0, 8 х fR и до частоты fe = 1, 2 х fR включительно. Во время развертки на подвесной части измеряют смещение х(t) и полную запускающую силу F(t) в зависимости от времени;
e) рассчитать передаточную функцию H(f) = X(f)/F(f) по спектру смещения быстрого преобразования Фурье (FFT)X(f) = FT{x(t)} и спектру силы F(f) = FT{F(t)}.
Примечание - При определенных условиях измерение запускающей силы F(t) можно опустить. Если испытательный корпус, используемый для акустического возбуждения, имеет большой объем и акустическая податливость Сab заключенного в нем воздуха намного больше эквивалентной акустической податливости испытуемой подвесной части, запускающая сила F(jw) становится почти постоянной и передаточная функция Н(f) ≈ |X(jw)| может аппроксимироваться амплитудной характеристикой измеренного смещения. Таким образом, для центрирующих шайб/спайдеров и диффузоров с достаточно небольшим диаметром, работающих в большом корпусе (Do < 200 мм при объеме воздуха 100 л), измерение звукового давления можно опустить;
f) определить коэффициент потерь Q с помощью уравнения (9). Если Q > 2, резонансная частота fR равна частоте, на которой передаточная функция H(f) имеет отчетливый максимум, показанный на рисунке 4;
g) рассчитать нелинейную жесткость K(х) по измеренному временному сигналу со смещением и силе F(t) с использованием метода идентификации нелинейных систем [6].
10.2.4 Представление результатов
Результаты измерения нелинейной жесткости K(х) рекомендуется представлять в виде кривой зависимости жесткости K(х) от смещения х. Положительное смещение х соответствует отклонению подвески в сторону, где закреплен колпачок.
Рисунок 4 - Амплитудная характеристика нормализованной передаточной функции H(f)/H(0) в зависимости от частоты f
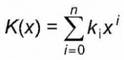
Коэффициенты ki при i = 0, 1, ..., N разложения в степенной ряд K(х), определяются по уравнению
.(13)
Динамическую жесткость измеряют в соответствии с разделом 10. Результаты измерения коэффициентов ki представляют совместно с указанием максимального пикового смещения xpeak, возникающим при динамическом измерении.
Эффективная жесткость Keff(xpeak) определяется в соответствии с уравнением (8) на резонансной частоте fR при подвижной массе m.
Для измерения резонансной частоты fR используют метод динамического измерения, приведенный в разделе 9.
Результаты определения эффективной жесткости Keff(xpeak) следует представлять совместно с указанием максимального смещения xpeak.
Пример - Keff = 0, 4 Н•мм-1 при xpeak = 17 мм.
Механическая прочность R определяет потери (снижение характеристик) подвесной части.
Резонансную частоту f и коэффициент Q измеряют методом динамического измерения, приведенным в разделе 9, без использования средств стабилизации подвески (направляющего штыря на рисунке 3) для выполнения динамического измерения без дополнительного трения. Такое измерение следует выполнять при достаточно небольших амплитудах для недопущения качания и других нерегулярных режимов вибрации. Механическую прочность R рассчитывают по уравнению (10).
Результаты измерения механической прочности R следует представлять совместно с указанием максимального смещения xpeak.
Пример - R = 0, 4 Н•с•мм-1 при xpeak = 1 мм.
Приложение ДА
(справочное)
Таблица ДА.1
|
Обозначение ссылочного международного стандарта |
Степень соответствия |
Обозначение и наименование соответствующего национального или межгосударственного стандарта |
|
МЭК 60268-1 |
IDT |
ГОСТ IEC 60268-1-2014 "Оборудование звуковых систем. Часть 1. Общие положения" |
|
Примечание - В настоящей таблице использовано следующее условное обозначение степени соответствия стандартов: - IDT - идентичный стандарт. | ||
Библиография
|
[1] |
J.Audio Eng.Soc. (AES), vol. 41, p. 3-18, Jan/Feb.1993 |
Knudsen M.H. and Jensen J.G. "Low-frequency loudspeaker models that include suspension creep" ("Модели низкочастотных громкоговорителей, учитывающие крип подвески") |
|
[2] |
107th Convention of the Audio Eng.Soc., New York, 1999, September 24-27, preprint 5202 |
Satoh К. et.al. "The measuring method of dynamic force-to-displacement characteristics for loudspeaker suspension system and driving force" ("Метод измерения динамических характеристик усилия/смещения для системы подвески и запускающего усилия громкоговорителя") |
|
[3] |
95th Convention of the Audio Eng. Soc., October 1993, preprint 3744 |
True Robert "An automated method for measuring spider compliance" ("Автоматический метод измерения податливости слайдера") |
|
[4] |
ALMA TM-100, AES-ALMA |
"Standard test method for audio engineering - Measurement of the lowest resonance frequency of loudspeaker cones" ("Стандартный метод испытания аудиотехники. Измерение наименьшей резонансной частоты диффузоров громкоговорителя") |
|
[5] |
ALMA TM-38 |
"Test method for measurement of the stiffness of loudspeaker driver suspension components" ("Метод испытания для измерения жесткости компонентов подвески драйвера громкоговорителя") |
|
[6] |
J.Audio Eng.Soc. (AES), vol.55, No 6, 2007 June |
Klippel W. "Dynamical measurement of loudspeaker suspension parts" ("Динамическое измерение подвесных частей громкоговорителя") |


