ФЕДЕРАЛЬНАЯ СЛУЖБА ПО ЭКОЛОГИЧЕСКОМУ, ТЕХНОЛОГИЧЕСКОМУ
И АТОМНОМУ НАДЗОРУ
ПРИКАЗ
от 30 декабря 2013 г. N 655
ОБ УТВЕРЖДЕНИИ РУКОВОДСТВА ПО БЕЗОПАСНОСТИ ПРИ ИСПОЛЬЗОВАНИИ АТОМНОЙ ЭНЕРГИИ "РЕКОМЕНДАЦИИ ПО ОБЕСПЕЧЕНИЮ БЕЗОПАСНОСТИ ПРИ ВОЗВРАТЕ ПРОДУКТОВ ПЕРЕРАБОТКИ ОБЛУЧЕННЫХ ТЕПЛОВЫДЕЛЯЮЩИХ СБОРОК В ГОСУДАРСТВО ИХ ПОСТАВЩИКА"
С изменениями:
(в ред. Приказа Ростехнадзора от 17.09.2018 N 445)
В целях реализации полномочий, установленных подпунктом 5.3.18 Положения о Федеральной службе по экологическому, технологическому и атомному надзору, утвержденного Постановлением Правительства Российской Федерации от 30 июля 2004 г. N 401, приказываю:
Утвердить прилагаемое к настоящему Приказу руководство по безопасности при использовании атомной энергии "Рекомендации по обеспечению безопасности при возврате продуктов переработки облученных тепловыделяющих сборок в государство их поставщика".
Вр.и.о. руководителя
А.В.ФЕРАПОНТОВ
Утверждено
Приказом
Федеральной службы
по экологическому,
технологическому
и атомному надзору
от 30 декабря 2013 г. N 655
РУКОВОДСТВО ПО БЕЗОПАСНОСТИ ПРИ ИСПОЛЬЗОВАНИИ АТОМНОЙ ЭНЕРГИИ "РЕКОМЕНДАЦИИ ПО ОБЕСПЕЧЕНИЮ БЕЗОПАСНОСТИ ПРИ ВОЗВРАТЕ ПРОДУКТОВ ПЕРЕРАБОТКИ ОБЛУЧЕННЫХ ТЕПЛОВЫДЕЛЯЮЩИХ СБОРОК В ГОСУДАРСТВО ИХ ПОСТАВЩИКА"
(РБ-092-13)
I. Общие положения
1. Руководство по безопасности при использовании атомной энергии "Рекомендации по обеспечению безопасности при возврате продуктов переработки облученных тепловыделяющих сборок в государство их поставщика" (РБ-092-13) (далее - Руководство по безопасности) разработано в соответствии со статьей 6 Федерального закона от 21 ноября 1995 г. N 170-ФЗ "Об использовании атомной энергии" и Постановлением Правительства Российской Федерации от 11 июля 2003 г. N 418 "О порядке ввоза в Российскую Федерацию облученных тепловыделяющих сборок ядерных реакторов", в целях содействия соблюдению требований следующих федеральных норм и правил в области использования атомной энергии: "Правила безопасности при транспортировании радиоактивных материалов", утвержденные Постановлением Федеральной службы по экологическому, технологическому и атомному надзору от 4 октября 2004 г. N 5 (далее - НП-053-04), "Требования к планированию и обеспечению готовности к ликвидации последствий аварий при транспортировании ядерных материалов и радиоактивных веществ", утвержденные Постановлением Федеральной службы по экологическому, технологическому и атомному надзору от 12 декабря 2006 г. N 8 (далее - НП-074-06).
2. Настоящее Руководство по безопасности содержит рекомендации Федеральной службы по экологическому, технологическому и атомному надзору по обеспечению безопасности при транспортировании радиоактивных отходов (далее - РАО) от переработки отработавших тепловыделяющих сборок (далее - ОТВС) в государство их поставщика, а также по:
методике определения количества возвращаемых продуктов переработки ОТВС;
содержанию отчета по обоснованию безопасности при обращении с РАО, полученными от переработки ОТВС, при транспортировании в государство их поставщика;
абзац исключен. - Приказ Ростехнадзора от 17.09.2018 N 445.
3. Настоящее Руководство по безопасности распространяется на деятельность по транспортированию продуктов переработки ОТВС в государство их поставщика.
4. Настоящее Руководство по безопасности предназначено для применения специалистами центрального аппарата Ростехнадзора и его межрегиональных территориальных управлений по надзору за ядерной и радиационной безопасностью, а также специалистами организаций, осуществляющих возврат продуктов переработки ОТВС в государство их поставщика.
5. Требования федеральных норм и правил в области использования атомной энергии, регламентирующих безопасность деятельности по возврату продуктов переработки ОТВС в государство их поставщика, могут быть выполнены с использованием иных подходов, чем те, которые содержатся в настоящем Руководстве по безопасности, при обоснованности выбранных подходов для обеспечения безопасности.
II. Рекомендации по методике определения количества возвращаемых продуктов переработки отработавших тепловыделяющих сборок
6. Продукты переработки ОТВС рекомендуется возвращать в государство их поставщика в форме отвержденных (например, остеклованных) высокоактивных РАО.
7. В качестве критерия, используемого при определении количества РАО, возвращаемых в государство поставщика ОТВС, рекомендуется использовать критерий равенства дозовых эквивалентов партий ввозимых ОТВС на момент возврата РАО и возвращаемых РАО.
8. Дозовые эквиваленты партий ввозимых ОТВС и возвращаемых РАО рекомендуется определять как суммы произведений активностей радионуклидов, содержащихся в них, на дозовые коэффициенты для населения при пероральном поступлении радионуклидов в организм, выраженные в единицах эффективной дозы, приходящейся на единичную активность, поступившую в организм.
9. Значения дозовых коэффициентов рекомендуется принимать равными дозовым коэффициентам при поступлении радионуклидов с пищей, установленным в СанПиН 2.6.1.2523-09 "Нормы радиационной безопасности (НРБ-99/2009)", утвержденных Постановлением Главного государственного санитарного врача Российской Федерации от 7 июля 2009 г. N 47 (зарегистрировано Министерством юстиции Российской Федерации 14 августа 2009 г., регистрационный N 14534; "Российская газета", 2009 г., N 171/1).
10. Дозовый эквивалент партии ввозимых ОТВС рекомендуется определять с использованием расчетных активностей радионуклидов, которые содержались бы в данной партии на момент возврата РАО в государство их поставщика в предположении естественного радиоактивного распада радионуклидов и технологического извлечения изотопов урана, плутония и нептуния.
11. Дозовый эквивалент партии возвращаемых РАО рекомендуется определять с использованием расчетных активностей радионуклидов на момент возврата РАО в государство их поставщика с учетом естественного радиоактивного распада радионуклидов за период временного технологического хранения РАО с момента их получения при переработке ОТВС до момента возврата в государство их поставщика.
12. При определении дозового эквивалента партии ввозимых ОТВС и возвращаемых РАО, помимо продуктов деления, продуктов активации и актиноидов, рекомендуется учитывать неизвлекаемую из отработавшего ядерного топлива часть изотопов урана, плутония и нептуния, зависящую от степени очистки, достигаемой используемой технологией извлечения. Используемые при определении дозового эквивалента партии ввозимых ОТВС значения, характеризующие степень очистки, должны быть подтверждены экспериментально.
13. При определении дозового эквивалента партии ввозимых ОТВС и возвращаемых РАО допускается не учитывать те радионуклиды, совокупный вклад которых в дозовый эквивалент составляет менее 1%.
14. Расчет количества РАО, возвращаемых в государство поставщика ОТВС, рекомендуется выполнять в соответствии с рекомендуемыми соотношениями для расчета активности радиоактивных отходов, возвращаемых в государство их поставщика, приведенными в Приложении N 1 к настоящему Руководству по безопасности, в следующей последовательности:
расчет активности продуктов деления, актиноидов и продуктов активации во ввозимых ОТВС к моменту переработки;
расчет активности, содержащейся в ОТВС, с учетом извлечения изотопов урана, плутония и нептуния;
расчет активности продуктов деления, актиноидов и продуктов активации в РАО, которые были бы получены от переработки ввезенных ОТВС, на момент возврата;
расчет дозовых эквивалентов продуктов деления, актиноидов и продуктов активации, которые были бы получены от переработки ввезенных ОТВС, на момент их возврата в государство поставщика и использование их для вычисления суммарного дозового эквивалента ввезенных ОТВС;
расчет дозового эквивалента остеклованных РАО, подлежащих возврату в государство поставщика;
расчет активности подлежащих возврату РАО.
15. При расчетах активности радионуклидов, содержащихся в ОТВС, рекомендуется использовать обоснованные методы и аттестованные программные средства расчета.
16. Рекомендуется подтверждать принятые в расчетах значения активности радионуклидов, содержащихся в ОТВС, результатами радиохимического анализа в рамках аналитического контроля раствора, полученного при растворении ОТВС. Если измеренные значения активности радионуклидов превышают расчетные, при определении активности подлежащих возврату РАО рекомендуется использовать измеренные значения активности радионуклидов.
III. Рекомендации по обеспечению безопасности при транспортировании радиоактивных отходов
17. Рекомендуется организовывать обучение персонала (например, в форме инструктажа), занятого при выполнении работ по обращению с упаковками РАО в ходе их приемки, загрузки, хранения, погрузки, разгрузки и транспортирования, приемам безопасного обращения с упаковками РАО каждый раз перед осуществлением транспортирования.
18. В рамках выполнения рекомендаций пункта 17 настоящего Руководства по безопасности рекомендуется осуществлять практическую отработку действий по Плану работ по ликвидации последствий аварий путем проведения учений.
19. При составлении Плана работ по ликвидации последствий аварий, разрабатываемого в соответствии с требованиями НП-074-06, рекомендуется учитывать опасные свойства РАО и упаковок с РАО, а также проанализировать возможность образования при транспортировании РАО продуктов, образующихся в результате взаимодействия РАО или материалов упаковок РАО с атмосферным воздухом или водой и обладающих опасными свойствами.
20. Рекомендуется контролировать выполнение программ обеспечения качества на всех этапах деятельности по переработке ОТВС и возврату РАО в государство поставщика ОТВС.
21. При разработке отчета по обоснованию безопасности при обращении с РАО от переработки ОТВС при транспортировании в государство их поставщика рекомендуется руководствоваться Приложением N 2 к настоящему Руководству по безопасности.
22. Для целей разработки программы радиационной защиты при обращении с РАО от переработки ОТВС во время транспортирования в государство их поставщика рекомендуется руководствоваться рекомендациями руководства по безопасности при использовании атомной энергии "Состав и содержание программы радиационной защиты при транспортировании радиоактивных материалов" (РБ-127-17), утвержденного приказом Федеральной службы по экологическому, технологическому и атомному надзору от 24 августа 2017 г. N 330.
23. Рекомендуется избегать перегрузки РАО из упаковок и не предусматривать временное (транзитное) хранение упаковок на пути следования.
24. На транспортном средстве, предназначенном для перевозки РАО, рекомендуется предусматривать несъемные крепления упаковок РАО, обеспечивающие надежное закрепление, во избежание самопроизвольного перемещения и опрокидывания упаковок РАО при поворотах, толчках, торможении, качке и других воздействиях в нормальных условиях транспортирования.
25. Транспортирование РАО по возможности рекомендуется осуществлять железнодорожным или морским транспортом.
26. При транспортировании РАО железнодорожным транспортом рекомендуется использовать специальные поезда прямого назначения, состоящие только из вагонов с РАО и, при необходимости, вагонов сопровождения.
27. При транспортировании РАО железнодорожным транспортом рекомендуется размещать сопровождающий персонал, в том числе охрану, в изолированных от груза служебных помещениях или в отдельных специально оборудованных для этих целей вагонах.
28. Маневры с железнодорожным подвижным составом, загруженным РАО, рекомендуется производить с особой осторожностью и не допускать пропуск такого состава через сортировочные горки без локомотивов, а также не допускать производство маневров толчками.
29. Лицам, сопровождающим радиоактивные материалы при транспортировании РАО железнодорожным транспортом, рекомендуется иметь при себе протоколы измерений радиационных характеристик транспортных упаковочных комплектов и железнодорожного подвижного состава, выполненных в соответствии с установленными требованиями.
Приложение N 1
к Руководству по безопасности
при использовании атомной энергии
"Рекомендации по обеспечению
безопасности при возврате продуктов
переработки облученных тепловыделяющих
сборок в государство их поставщика",
утвержденному Приказом Федеральной
службы по экологическому,
технологическому и атомному надзору
от 30 декабря 2013 г. N 655
РЕКОМЕНДУЕМЫЕ СООТНОШЕНИЯ ДЛЯ РАСЧЕТА АКТИВНОСТИ РАДИОАКТИВНЫХ ОТХОДОВ, ВОЗВРАЩАЕМЫХ В ГОСУДАРСТВО ИХ ПОСТАВЩИКА
Изменение активности продуктов деления (далее - ПД) за время хранения ОТВС перед переработкой и РАО перед возвратом рекомендуется получать решением уравнений изотопной кинетики.
Для всех продуктов деления, за исключением короткоживущих радионуклидов, находящихся в равновесии со своими предшественниками (90Y, 93mNb, 106Rh, 125mTe, 137mBa и т.д.), активность рекомендуется рассчитывать по соотношению:
AiПД(t)=AiПД(t0)·exp(-λiПД·(t-t0)), (1)
где AiПД(t) - активность i-го радионуклида в ПД на момент времени t;
AiПД(t0) - активность i-го радионуклида в ПД на начальный момент времени t0;
λiПД - постоянная распада i-го радионуклида в ПД.
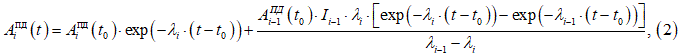
Для короткоживущих радионуклидов, находящихся в равновесии со своими предшественниками (90Y, 93mNb, 106Rh, 125mTe, 137mBa и т.д.), рекомендуется учитывать как убыль этих нуклидов в результате радиоактивного распада, так и их накопление в результате радиоактивного распада предшественников. Поскольку каждый из этих нуклидов имеет только одного (i-1)-го предшественника, то расчет активности короткоживущих ПД рекомендуется осуществлять по соотношению:

где Ii-1 - относительная доля распадов (i-1)-го нуклида с образованием i-го нуклида;
λi, λi-1 - постоянные распада i-го ПД и его предшественника, соответственно.
Изменение активности актиноидов (далее - АК) в результате радиоактивного распада рекомендуется описывать следующим соотношением:

где AiАК(t) - активность i-го актиноида во всех ОТВС в момент времени t;
AiАК(t0) - активность i-го актиноида во всех ОТВС в момент времени t0;

j=i-1;

1≤j<i-1;
λiАК, λjАК - постоянные распада i-го и j-го радионуклидов, соответственно;

Iji - относительная доля распадов j-го нуклида с образованием i-го нуклида.
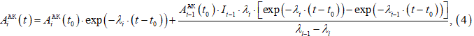
В случае если у i-го актиноида имеется только один (i-1)-й предшественник, для расчета его активности рекомендуется принимать следующее соотношение:

где Ii-1 - относительная доля распадов (i-1)-го нуклида с образованием i-го нуклида.
Изменение активности продуктов активации (далее - ПА) в зависимости от времени рекомендуется определять по формуле:
AiПА(t)=AiПА(t0)·exp(-λiПА·(t-t0)), (5)
где AiПА(t0) - активность i-го радионуклида в ПА на момент времени t;
AiПА(t0) - активность i-го радионуклида в ПА на начальный момент времени t0;
λiПА - постоянная распада i-го радионуклида в ПА.
Если дочерний изотоп распада ПА также радиоактивен и значение его периода полураспада сравнимо с периодом полураспада материнского изотопа, то расчет активности дочернего изотопа рекомендуется проводить по формуле, аналогичной (2).
Суммарный дозовый эквивалент ОТВС рекомендуется определять с учетом извлечения целевых продуктов переработки и распада радионуклидов за время технологического хранения ОТВС и РАО по формуле:

AiПД(tВ), AiАК(tВ), AiПА(tВ) - активности радионуклида i на момент вывоза tВ, являющегося продуктом деления, актиноидом или продуктом активации, соответственно;
ВiПД, ВiАК, ВiПА - дозовый коэффициент радионуклида i, являющегося продуктом деления, актиноидом или продуктом активации, соответственно;
k, m, n - число учитываемых ПД, АК и ПА.
В качестве радионуклидного состава РАО рекомендуется принимать значения, рассчитанные по формуле:

где СiРАО - среднестатистические значения соотношения активности радионуклидов в РАО, определенные по результатам аналитического контроля жидких РАО перед остекловыванием за последние несколько лет и выраженные в процентах от активности каждого из радионуклидов;
tП - время с момента ввоза ОТВС до момента переработки;
- полная удельная активность остеклованных РАО.
Изменение удельной активности нуклидов, содержащихся в РАО, за время хранения РАО от момента переработки до момента возврата рекомендуется рассчитывать по формулам, аналогичным формулам (1) - (5), с заменами t, t0, AiАК, AiПД и AiПА на tВ, tП, аiРАО, АК, аiРАО, ПД, аiРАО, ПА, соответственно.
Суммарный удельный дозовый эквивалент активности подлежащих возврату РАО на момент возврата рекомендуется рассчитывать по формуле:

где еiРАО(tВ) - удельный дозовый эквивалент активности i-го радионуклида в РАО на момент возврата tВ;
аiРАО, ПД(tВ), аiРАО, АК(tВ), аiРАО, ПА(tВ) - удельная активность в РАО i-го радионуклида, являющегося продуктом деления, актиноидом или продуктом активации, соответственно;
l, s, d - число учитываемых ПД, АК и ПА.
Активность подлежащих возврату РАО рекомендуется рассчитывать по формуле:

Приложение N 2
к Руководству по безопасности
при использовании атомной энергии
"Рекомендации по обеспечению
безопасности при возврате продуктов
переработки облученных тепловыделяющих
сборок в государство их поставщика",
утвержденному Приказом Федеральной
службы по экологическому,
технологическому и атомному надзору
от 30 декабря 2013 г. N 655
РЕКОМЕНДАЦИИ ПО СОДЕРЖАНИЮ ОТЧЕТА ПО ОБОСНОВАНИЮ БЕЗОПАСНОСТИ ПРИ ОБРАЩЕНИИ С РАДИОАКТИВНЫМИ ОТХОДАМИ ОТ ПЕРЕРАБОТКИ ОБЛУЧЕННЫХ ТЕПЛОВЫДЕЛЯЮЩИХ СБОРОК ПРИ ТРАНСПОРТИРОВАНИИ В ГОСУДАРСТВО ИХ ПОСТАВЩИКА
В состав отчета по обоснованию безопасности при обращении с РАО от переработки облученных тепловыделяющих сборок при транспортировании в государство их поставщика рекомендуется включить следующие разделы.
1. Введение.
2. Общее описание объектов, на которых осуществляется погрузка, выгрузка и транзитное хранение РАО.
3. Описание технологической схемы транспортирования РАО.
4. Управление технологическим процессом.
5. Радиационная безопасность.
6. Осуществление заявленной деятельности.
7. Анализ нарушений и аварий.
В разделе "Введение" рекомендуется привести общую характеристику организации, осуществляющей обращение с РАО при их транспортировании.
В разделе "Общее описание объектов, на которых осуществляется погрузка, выгрузка и транзитное хранение РАО" рекомендуется привести:
общее описание объектов, на которых осуществляется погрузка, выгрузка и (в случае необходимости) транзитное хранение РАО;
перечень используемых упаковок (транспортных упаковочных комплектов) для перевозки РАО с указанием реквизитов сертификатов-разрешений и сроков их действия;
перечень используемых транспортных средств для перевозки упаковок с РАО с указанием реквизитов санитарно-эпидемиологических заключений и сроков их действия;
допустимые уровни радиоактивного загрязнения площадок, оборудования, упаковок с РАО и транспортных средств.
В разделе "Описание технологической схемы транспортирования РАО" рекомендуется:
описать технологическую схему осуществления заявленной деятельности;
привести перечень всех технологических процессов (операций) при осуществлении заявленной деятельности (контроль порожних упаковок, погрузка, выгрузка, проверка упаковок после загрузки или выгрузки радиоактивного содержимого).
В разделе "Управление технологическим процессом" рекомендуется привести:
обоснование достаточности объема технического обслуживания и технического контроля;
описание систем и средств контроля радиационной обстановки;
описание систем пожаротушения;
описание систем предупредительного и аварийного оповещения персонала, а также средств связи, предназначенных для оповещения.
В разделе "Радиационная безопасность" рекомендуется:
привести критерии обеспечения радиационной безопасности персонала и населения (основные пределы доз, допустимые уровни поверхностного загрязнения и т.д.) при нормальных условиях осуществления заявленной деятельности и при авариях;
привести радиационные характеристики транспортируемых РАО;
провести оценку доз при нормальных условиях осуществления заявленной деятельности и при авариях с указанием исходных данных, описанием методов и моделей расчета и принятых допущений;
показать, что при нормальных условиях осуществления заявленной деятельности и при авариях индивидуальные дозы облучения персонала не превысят установленных, а поступление в окружающую среду радиоактивных веществ не превысит допустимого;
описать организационные и административные меры по обеспечению радиационного контроля;
привести сведения о подразделениях, оснащенных техническими средствами, предназначенными для проведения радиационного контроля;
изложить и обосновать объем радиационного контроля (достаточность радиационного контроля для определения и оценки эффективных доз облучения персонала и населения во всем диапазоне возможных уровней радиационных воздействий, создаваемых при нормальных условиях осуществления заявленной деятельности, а также при авариях).
В разделе "Осуществление заявленной деятельности" рекомендуется:
представить квалификационные требования к персоналу и порядок организации его подготовки;
привести мероприятия, направленные на поддержание уровня квалификации персонала;
привести сведения о наличии у персонала разрешений Ростехнадзора на право ведения работ в области использования атомной энергии;
привести перечень всей документации (инструкций, регламентов и т.д.), используемой при транспортировании РАО;
привести информацию о наличии Плана работ по ликвидации последствий аварий, разработанного в соответствии с НП-074-06.
В разделе "Анализ аварий" рекомендуется:
привести перечень возможных аварий, анализ их последствий, меры по их ликвидации, а также информацию о наличии оборудования для снижения тяжести аварии и ее последствий;
описать методы и средства дезактивации, методы и средства оказания первой помощи облученным лицам;
привести перечень имевших место ранее нарушений условий нормального транспортирования и аварий при осуществлении аналогичной деятельности, а также результаты анализа причин их возникновения.
Приложение N 3
к Руководству по безопасности
при использовании атомной энергии
"Рекомендации по обеспечению
безопасности при возврате продуктов
переработки облученных тепловыделяющих
сборок в государство их поставщика",
утвержденному Приказом Федеральной
службы по экологическому,
технологическому и атомному надзору
от 30 декабря 2013 г. N 655
РЕКОМЕНДАЦИИ ПО СОДЕРЖАНИЮ ПРОГРАММЫ РАДИАЦИОННОЙ ЗАЩИТЫ ПРИ ОБРАЩЕНИИ С РАДИОАКТИВНЫМИ ОТХОДАМИ ОТ ПЕРЕРАБОТКИ ОБЛУЧЕННЫХ ТЕПЛОВЫДЕЛЯЮЩИХ СБОРОК ПРИ ИХ ТРАНСПОРТИРОВАНИИ В ГОСУДАРСТВО ИХ ПОСТАВЩИКА
Исключены. - Приказ Ростехнадзора от 17.09.2018 N 445.