ГОСТ Р МЭК 60896-11-2015 БАТАРЕИ СВИНЦОВО-КИСЛОТНЫЕ СТАЦИОНАРНЫЕ. Часть 11. ОТКРЫТЫЕ ТИПЫ. ОБЩИЕ ТРЕБОВАНИЯ И МЕТОДЫ ИСПЫТАНИЙ
Утв. и введен в действие приказом Федерального агентства по техническому регулированию и метрологии от 20 ноября 2015 г. N 1927-ст
Национальный стандарт РФ ГОСТ Р МЭК 60896-11-2015
"БАТАРЕИ СВИНЦОВО-КИСЛОТНЫЕ СТАЦИОНАРНЫЕ. Часть 11. ОТКРЫТЫЕ ТИПЫ. ОБЩИЕ ТРЕБОВАНИЯ И МЕТОДЫ ИСПЫТАНИЙ"
Stationary lead-acid batteries. Part 11. Vented types. General requirements and methods of tests
ОКС 29.220.20
ОКП 34 8112
Дата введения - 1 января 2017 г.
Взамен ГОСТ Р МЭК 896-1-95
Предисловие
1 Подготовлен Некоммерческой организацией "Национальная ассоциация производителей источников тока "РУСБАТ" (Ассоциация "РУСБАТ") на основе собственного перевода на русский язык англоязычной версии стандарта, указанного в пункте 4
2 Внесен Техническим комитетом по стандартизации ТК 044 "Аккумуляторы и батареи", подкомитетом 1 "Свинцово-кислотные аккумуляторы и батареи"
3 Утвержден и введен в действие Приказом Федерального агентства по техническому регулированию и метрологии от 20 ноября 2015 г. N 1927-ст
4 Настоящий стандарт идентичен международному стандарту МЭК 60896-11(2002) "Батареи аккумуляторные свинцовые стационарные. Часть 11. Открытые типы. Общие требования и методы испытаний" (IEC 60896-11:2002 "Stationary lead-acid batteries - Part 11: Vented types - General requirements and methods of tests", IDT).
Международный стандарт МЭК 60896-11:2002 разработан техническим комитетом по стандартизации ТК 21 "Аккумуляторы и батареи" Международной электротехнической комиссии (МЭК).
МЭК 60896-11:2002 отменяет и заменяет МЭК 896-1:1987, включая изменения А1:1988 и А2:1990.
Официальные экземпляры международного стандарта, на основе которого подготовлен настоящий стандарт, и международных стандартов, на которые даны ссылки, имеются в Федеральном информационном фонде технических регламентов и стандартов.
При применении настоящего стандарта рекомендуется использовать вместо ссылочных международных стандартов соответствующие им национальные стандарты Российской Федерации и межгосударственные стандарты, сведения о которых приведены в дополнительном приложении ДА
5 Взамен ГОСТ Р МЭК 896-1-95
6 Некоторые положения международного стандарта, на основе которого подготовлен настоящий стандарт, могут являться объектом патентных прав. МЭК не несет ответственности за идентификацию подобных патентных прав
Настоящий стандарт распространяется на стационарные свинцово-кислотные аккумуляторы и батареи, предназначенные для эксплуатации в неподвижном состоянии (то есть, как правило, без перемещения с места на место) и постоянно подсоединенные к нагрузке и источнику питания постоянного тока. Батареи, работающие в таких условиях, называются стационарными.
Свинцово-кислотные аккумуляторы и батареи любых типов и конструкций могут быть применены в качестве стационарных. Настоящий стандарт распространяется только на свинцово-кислотные аккумуляторы и батареи открытых типов (далее - аккумуляторы и батареи).
Настоящий стандарт устанавливает общие требования и основные характеристики, а также соответствующие методы испытаний, относящиеся ко всем типам и конструктивным формам свинцово-кислотных стационарных батарей, кроме типов с регулирующим клапаном.
Рекомендации по использованию испытаний в зависимости от области применения стационарных батарей приведены в таблице А.1 (приложение А).
Рекомендации по использованию испытаний в зависимости от типа (конструкции) аккумуляторов или моноблоков приведены в таблице А.2 (приложение А).
Заявления и утверждения изготовителя относительно основных характеристик батарей должны соответствовать этим испытаниям.
Испытания могут быть использованы для оценки типа.
В настоящем стандарте использованы нормативные ссылки на следующие международные стандарты. Для датированных ссылок следует использовать только указанное издание, для недатированных ссылок следует использовать последнее издание указанного документа, включая все поправки.
IEC 60050(151) International Electrotechnical Vocabulary (IEV) - Part 151: Electrical and magnetic devices (Международный электротехнический словарь. Часть 151. Электрические и магнитные устройства)
IEC 60051 (all parts) Direct acting indicating analogue electrical measuring instruments and their accessories [(все части) Приборы электроизмерительные аналоговые показывающие прямого действия и части к ним]
IEC 60359 Electrical and electronic measurement equipment - Expression of performance (Аппаратура измерительная электрическая и электронная. Выражение рабочих характеристик)
IEC 60417 (all parts) Graphical symbols for use on equipment [(все части) Обозначения графические для аппаратуры]
IEC 60485 1) Digital electronic d.c. voltmeters and d.c. electronic analogue-to-digital converters (Электронные цифровые вольтметры постоянного тока и электронные аналогово-цифровые преобразователи постоянного тока)
──────────────────────────────
1) Отменен без замены.
──────────────────────────────
В настоящем стандарте применены следующие термины с соответствующими определениями:
3.1 запас электролита (electrolyte reserve): Объем электролита между отмеченными минимальным и максимальным уровнями.
3.2
|
назначенная емкость батареи C n (rated capacity, C rt): Количество электричества, заявленное изготовителем, которое аккумулятор или батарея может отдать при определенных установленных условиях после полного заряда. Эта величина обычно выражается в ампер-часах. [МЭК 60050-486 2), статья 486-03-22] |
──────────────────────────────
2) Заменен на МЭК 60050-482(2004).
──────────────────────────────
Для справки: на практике оценкой выносливости аккумулятора/батареи является их ресурс.
3.3
|
номинальная емкость С н (nominal capacity, C nom): Соответствующее приблизительное количество электричества, используемое для идентификации емкости аккумулятора или батареи. Эта величина обычно выражается в ампер-часах. [МЭК 60050-486 3), статья 486-03-21] |
──────────────────────────────
3) Заменен на МЭК 60050-482 (2004).
──────────────────────────────
3.4 выносливость 4) (endurance): Способность аккумулятора или батареи быть в работоспособном состоянии и выполнять необходимую работу в требуемых режимах в течение минимального периода времени или при их повторениях.
──────────────────────────────
4) Для справки: на практике оценкой выносливости аккумулятора/батареи является их ресурс.
──────────────────────────────
В настоящем стандарте применены следующие обозначения:
C n (C rt) - назначенная емкость;
С н (C nom) - номинальная емкость;
С с (C R) - сохранность заряда;
С ф (С а) - фактическая емкость;
I кз (I sc) - ток короткого замыкания;
I n (I rt) - разрядный ток;
R вн (R i) - внутреннее сопротивление;
U к (U f) - конечное напряжение разряда;
U пп (U flo) - напряжение флотирующего режима (постоянного подзаряда).
Стационарные аккумуляторы или батареи должны выдерживать механические нагрузки, имеющие место при нормальной транспортировке и эксплуатации.
В случае необходимости требования к сейсмостойкости оговаривают специально.
5.1 Каждый аккумулятор должен быть оборудован устройством для определения минимального и максимального уровней электролита.
5.2 Для моноблоков из полупрозрачных материалов метки минимального и максимального уровня электролита должны быть нанесены на стенку моноблока.
5.3 Для моноблоков, изготовленных из непрозрачного материала, должен быть предусмотрен индикатор, показывающий положение уровня электролита по отношению к минимальному и максимальному уровням.
6.1 Запас электролита (см. 3.1) наряду с конструкцией батареи и используемым способом заряда определяет частоту проверок для корректировки уровня электролита.
6.2 Для батарей, используемых для работы во флотирующем режиме 1) (см. 8.1), минимальный запас электролита определяют по перечислению d) 8.2.
──────────────────────────────
1) Для справки: флотирующий режим - режим эксплуатации батареи в условиях постоянного подзаряда (ПП) при постоянном напряжении.
──────────────────────────────
(Испытание - по разделу 14.)
7.1 Существенной характеристикой стационарного аккумулятора или батареи является емкость, доступная для хранения электрической энергии. Емкость выражается в ампер-часах (А·ч) и изменяется в зависимости от условий эксплуатации (времени разряда, тока, конечного напряжения и температуры).
Рекомендуемыми значениями времени разряда t являются:
240; 20; 10; 8; 5; 3; 2; 1; 0,5 ч.
Из этих разных значений t может быть выбрано одно значение и использовано для определения назначенной емкости С n (см. 3.2).
7.2 Наиболее часто используемые значения t находятся в интервале от 10 до 3 ч. Для этих значений конечное напряжение разряда (напряжение в конце разряда) должно быть U к = 1,80 В на аккумулятор (если иное не рекомендуется или не требуется изготовителем или потребителем). Для других режимов разряда рекомендуемые значения конечного напряжения U к должны быть установлены в национальных стандартах или заданы изготовителем вместе со значением С n или значениями других характеристик (см. 7.5).
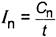
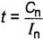
7.3 Разрядный ток I n, А, соответствующий назначенной емкости С n, при выбранной нормальной температуре 20 °С или 25 °С равен:
![]()
(1)
при разряде до конечного напряжения разряда U к в соответствии с 7.2.
7.4 Фактическую емкость С ф следует определять при разряде полностью заряженного аккумулятора или батареи согласно разделу 14. Полученное значение используют для сравнения с назначенной емкостью С n, установленной изготовителем, или для контроля состояния аккумулятора или батареи после длительных периодов эксплуатации.
7.5 Определение фактической емкости С ф в соответствии с разделом 14 также может быть использовано для сравнения с характеристиками, указанными изготовителем. В этом случае ток I n, указанный в 14.4, должен быть заменен другим значением тока, соответствующим этим характеристикам.
(Испытание - по разделу 15.)
8.1 Стационарные батареи, в основном используемые как флотирующие
Эксплуатация во флотирующем режиме предусматривает наличие постоянного напряжения U пп, непрерывно подающегося на выводы батареи, достаточного для поддержания батареи в состоянии, близком к полной заряженности, чтобы батарея при необходимости могла обеспечить питание нагрузки при сбое в ее основной цепи питания. Пригодность батареи для такой эксплуатации проверяют испытанием, проводимым на аккумуляторах или батареях.
Батареи, не предназначенные для эксплуатации во флотирующем режиме (например, солнечные), не следует оценивать в соответствии с методом испытаний, изложенным в разделе 15.
8.2 Батареи, постоянно эксплуатируемые во флотирующем режиме
Батареи, постоянно эксплуатируемые во флотирующем режиме согласно разделу 15, должны отвечать следующим требованиям:
a) плотность электролита во всех аккумуляторах должна оставаться в заданных пределах;
b) напряжение каждого аккумулятора должно оставаться в заданных пределах.
Примечание - В некоторых батареях моноблочной конструкции напряжение отдельных аккумуляторов измерить невозможно. В этом случае оценку однородности следует выполнять по напряжению отдельных моноблоков;
c) по истечении шести месяцев фактическая емкость С ф, определяемая при разряде в соответствии с разделом 14, не должна быть менее С n;
d) по истечении шести месяцев потеря электролита не должна превышать 50 % объема между минимальным и максимальным уровнями. Объем между минимальным и максимальным уровнями должен быть указан изготовителем.
См. определение 3.4.
В зависимости от батареи и условий применения испытание на выносливость (ресурс) проводят путем разрядно-зарядного циклирования или путем перезаряда.
9.1 Выносливость (ресурс) при циклических режимах
Выносливость (ресурс) следует определять с использованием разрядно-зарядных циклов согласно разделу 16, если частые разряды батареи вызваны либо намеренным выбором данного режима, либо частыми перебоями в линии подачи электроэнергии.
Минимальное требование для этого испытания - аккумуляторы должны выдерживать две серии циклов разряд-заряд по 50 циклов каждая (N = 100 циклов) до момента, когда емкость снизится ниже 0,95С 10, где С 10 - назначенная емкость при 10-часовом режиме разряда.
При желании изготовитель может устанавливать число циклов до момента снижения емкости ниже С ф = 0,8С 10.
9.2 Выносливость (ресурс) при перезаряде
Выносливость (ресурс) следует определять с использованием перезаряда в соответствии с разделом 17, если возможны связанные с перезарядом отказы (такие как коррозия решеток, перемычек групп пластин или выводов батареи) либо из-за воздействия высокой температуры окружающей среды, либо из-за плохого регулирования напряжения подзаряда, либо по другим аналогичным причинам.
Минимальное требование для этого испытания - аккумуляторы или моноблоки должны выдерживать шесть периодов по 720 ч каждый, пока емкость не упадет ниже 0,8C 1, где С 1 - назначенная емкость при 1-часовом режиме разряда до напряжения U к, как определено в разделе 7.
Хотя в большинстве случаев стационарные батареи находятся в режиме постоянного заряда, полезно установить посредством испытания их способность сохранять заряд в случаях обычного или непредусмотренного отключения от сети.
Сохранность заряда С с определяют в соответствии с разделом 18 и выражают как процент от начальной емкости С ф.
Минимальное значение С с должно соответствовать установленному в соответствующем стандарте или указанному изготовителем.
Данные характеристики требуются для проведения расчетов по безопасности и защите оборудования, необходимых для некоторых установок.
Значения тока короткого замыкания (в амперах) и внутреннего сопротивления R вн (в омах), если требуется, должны быть указаны изготовителем. Эти характеристики должны быть определены в соответствии с разделом 19.
12.1 Электрические измерительные приборы
12.1.1 Типы измерительных приборов
Приборы должны обеспечивать возможность измерения тока и напряжения. Характеристики этих приборов и методы измерений следует выбирать таким образом, чтобы обеспечивать точность, установленную для каждого испытания.
Для аналоговых приборов это означает, что показания должны сниматься в последней трети градуированной шкалы.
Могут быть использованы любые другие приборы, если они обеспечивают эквивалентную точность измерений.
12.1.2 Измерение напряжения
Для измерения напряжения используют вольтметры класса точности 0,5 или выше. Сопротивление вольтметра должно быть не менее 1 кОм/В (см. МЭК 60051 или МЭК 60485).
12.1.3 Измерение тока
Для измерения тока используют амперметры класса точности 0,5 или выше. Полный комплект из амперметра, шунта и проводов должен быть класса точности 0,5 или выше (см. МЭК 60051 или МЭК 60359).
12.2 Измерение температуры
Для измерения температуры используют термометры с соответствующим диапазоном измерений, цена деления которых не должна превышать 1 °С. Абсолютная погрешность этих приборов не должна быть более 1 °С.
12.3 Измерение плотности электролита
Для измерения плотности электролита используют денсиметры или другие приборы со шкалами, отградуированными таким образом, чтобы цена каждого деления не превышала 5 кг/м 3. Абсолютная погрешность этих приборов не должна быть более 5 кг/м 3.
12.4 Измерение времени
Погрешность приборов для измерения времени не должна быть более ± 1 %.
13.1 Аккумуляторы и батареи должны быть приведены в работоспособное состояние в соответствии с инструкциями изготовителя (например, применяя активацию сухозаряженных батарей).
13.2 Все испытания следует проводить на новых полностью заряженных аккумуляторах и батареях.
13.3 Аккумуляторы и батареи считаются полностью заряженными, если:
a) во время заряда постоянным током измеряемые напряжение и плотность электролита остаются неизмененными (в пределах погрешности измерительных приборов) в течение 2 ч с учетом изменений температуры электролита, или
b) в процессе заряда при постоянном напряжении измеряемые ток и плотность электролита остаются постоянными (в пределах погрешности измерительных приборов) в течение 2 ч с учетом изменений температуры электролита, если иное не указано изготовителем.
13.4 В каждом аккумуляторе уровень электролита должен быть доведен до максимального, как указано в 5.1 1). Плотность электролита должна поддерживаться на уровне номинальной плотности с учетом допускаемых отклонений, установленных изготовителем.
──────────────────────────────
1) В МЭК 60896-11(2002) ошибочно указан пункт 4.1, как было в предыдущей версии международного стандарта.
──────────────────────────────
13.5 Чистота доливаемой воды и электролита должна соответствовать указанной изготовителем.
14.1 Аккумуляторы или батареи должны быть подготовлены согласно разделу 13.
14.2 Для определения температуры батареи для батарей, состоящих из 100 или менее аккумуляторов, следует выбирать один контрольный аккумулятор на каждую группу из шести аккумуляторов, а для батарей, состоящих более чем из 100 аккумуляторов - один контрольный аккумулятор на каждую группу из 10 аккумуляторов. Выбранные аккумуляторы рассматривают в качестве представителей для определения средней температуры батареи.
14.3 Температура электролита каждого контрольного аккумулятора должна быть записана непосредственно перед началом разряда. Индивидуальные показания должны быть в диапазоне от 15 °С до 30 °С.
Примечание - Желательно, чтобы начальная средняя температура электролита ν и температура окружающей среды были как можно ближе к выбранной нормальной температуре 20 °С или 25 °С.
14.4 Через 1-24 ч после окончания заряда аккумуляторы или батареи должны быть разряжены током I n (см. 7.3).
Ток должен поддерживаться постоянным с допускаемыми отклонениями в пределах ± 1 % на протяжении всего периода разряда. Во время разряда может возникнуть необходимость ручного регулирования тока. В этих условиях допустимы отклонения разрядного тока в пределах ± 5 % требуемого значения.
14.5 Напряжение между выводами аккумуляторов или батареи должно регистрироваться автоматически через определенные промежутки времени, либо показания снимают с помощью вольтметра (см. 12.1.2). В последнем случае показания должны быть зафиксированы, по меньшей мере, в моменты времени, соответствующие 25 %, 50 % и 80 % расчетного времени разряда в часах
,
(2)
а затем через интервалы времени, позволяющие своевременно зафиксировать значение конечного напряжения U к.
14.6 Разряд должен быть прекращен, когда напряжение достигнет значения
n·UкВ,
(3)
где n - число аккумуляторов (см. 7.2).
Время разряда должно быть зарегистрировано.
Испытание должно быть закончено, когда среднее напряжение или напряжение на отдельном аккумуляторе составит U = U к - 200 мВ или в случае моноблоков из n аккумуляторов - U =
мВ.
Примечания
1 При типовых испытаниях на отдельных аккумуляторах напряжение разряда измеряют на выводах, включая одну межэлементную перемычку для соединения аккумуляторов.
2 По соглашению между изготовителем и потребителем могут применяться дополнительные ограничения для напряжения аккумулятора при испытании на емкость.
14.7 Значение емкости С в ампер-часах при начальной средней температуре ν рассчитывают как произведение разрядного тока (в амперах) и продолжительности разряда (в часах).
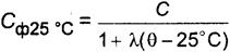
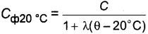
14.8 Если начальная средняя температура ν (см. 14.3) отличается от нормальной температуры (20 °С или 25 °С), то измеренная емкость должна быть откорректирована посредством уравнения (4) или (5) для получения фактической емкости С ф, А·ч, при нормальной температуре 20 °С или 25 °С:
![]()
(4)
или
.
(5)
Коэффициент λ должен быть принят равным 0,006 при длительности разряда более 3 ч и 0,01 - для разряда в более быстром режиме.
Примечание - Чтобы перевести емкость С ф20 °С в емкость С ф25 °С, ее значение нужно разделить на коэффициент 0,97. Чтобы перевести емкость C ф25 °С в емкость C ф20 °С, ее значение нужно умножить на коэффициент 0,97.
14.9 Аккумуляторы или батарея должны быть заряжены повторно в соответствии с разделом 13.
14.10 Новая батарея при повторяющихся разрядах и зарядах в соответствии с 14.3-14.9 должна обеспечивать, по крайней мере, С ф = 0,95С n на первом цикле и С ф = С n на пятом цикле, если иное не оговорено соглашением между изготовителем и потребителем.
15.1 Испытание проводят на группе, по крайней мере, из шести последовательно соединенных аккумуляторов или на полной батарее, прошедших испытание по определению емкости в соответствии с разделом 14, показавшее, что они имеют емкость С ф не менее С n.
15.2 Аккумуляторы или батарея должны находиться при температуре окружающей среды от 15 °С до 25 °С. Средняя температура должна быть, насколько возможно, близкой к нормальной температуре 20 °С. Верхние поверхности аккумуляторов (крышки) должны поддерживаться в чистом и сухом состоянии на протяжении всего испытания.
15.3 Испытуемые аккумуляторы или батарея должны быть подвергнуты постоянному флотирующему заряду при напряжении U пп, которое устанавливает изготовитель (обычно в диапазоне [от 2,14 до 2,25 (± 0,01)] х n, где n - число аккумуляторов в батарее).
Начальное напряжение каждого отдельного аккумулятора (на клеммах или перемычках) должно быть измерено и зарегистрировано.
15.4 С периодичностью раз в три месяца должно быть измерено и зарегистрировано напряжение и плотность электролита каждого аккумулятора. Также регистрируют уровень электролита между метками максимального и минимального уровня.
Аккумулятор считают отказавшим, если между двумя последовательными показаниями:
- изменение напряжения больше значения, рекомендуемого изготовителем, и/или
- изменение плотности электролита больше значения, рекомендуемого изготовителем.
15.5 Отказавший аккумулятор, который после уравнительного заряда по инструкциям изготовителя восстанавливает первоначальные плотность электролита и напряжение, должен быть снова подвергнут испытанию. Аккумулятор следует окончательно снимать с испытания, если изменение плотности электролита или напряжения повторяется после нового периода испытания.
15.6 После шести месяцев работы во флотирующем режиме аккумуляторы или батарея должны быть подвергнуты испытанию по определению емкости в соответствии с 14.3-14.9.
15.7 При испытаниях, проводимых в течение шести месяцев, не должно быть выявлено ни одного дефектного аккумулятора. При более длительных испытаниях дефектные аккумуляторы могут быть заменены изготовителем, а испытания должны быть продлены еще на шесть месяцев, при этом в течение второго шестимесячного периода не должно быть выявлено ни одного дефектного аккумулятора.
16.1 Испытание проводят на аккумуляторах, испытанных в соответствии с разделом 14, фактическая емкость С ф у которых составила не менее 100 % С n.
16.2 Температура окружающей среды, при которой испытывают аккумуляторы, должна быть от 15 °С до 25 °С. Средняя температура должна быть, насколько возможно, близкой к нормальной температуре 20 °С.
16.3 Аккумуляторы должны быть подсоединены к устройству, с помощью которого их подвергают непрерывным сериям циклов, каждый из которых состоит:
а) из разряда продолжительностью 3 ч при постоянном токе I = 2,0I 10, А, с допускаемыми отклонениями в пределах ± 1 %, где I 10 определяют по формуле
,
(6)
где I10 - ток 10-часового разряда, А,
C10 - емкость при 10-часовом разряде, А·ч;
b) заряда при напряжении (2,40 ± 0,01) В на аккумулятор продолжительностью 21 ч, следующего непосредственно после разряда, причем ток в начале заряда ограничивают значением I max = 2,0I 10, если иное не рекомендовано изготовителем.
Этот режим соответствует одному циклу в день.
16.4 Если уровень электролита достигает минимальной отметки, то в аккумуляторы добавляют очищенную воду.
16.5 После серии из N = 50 циклов (= 1 период) аккумуляторы должны быть подвергнуты испытанию по определению емкости в соответствии с 14.2-14.9.
16.6 Затем аккумуляторы должны быть подвергнуты следующей серии испытаний из 50 циклов в соответствии с 16.3-16.5.
16.7 Если выносливость установлена как число циклов N до значения остаточной емкости С ф = 0,8С 10, то испытания по 16.3-16.5 продолжают до тех пор, пока фактическая емкость С ф не станет ниже 0,8С 10.
17.1 Испытание проводят на шести последовательно соединенных аккумуляторах или моноблоках, которые при испытании в соответствии с разделом 14 показали фактическую емкость С ф не менее 100 % С n (С n соответствует 1-часовому режиму разряда до конечного напряжения U к = 1,60 В на аккумулятор).
17.2 Во время испытания аккумуляторы или моноблоки должны находиться при температуре от 25 °С до 30 °С.
17.3 Аккумуляторы или моноблоки подсоединяют к источнику тока и подвергают перезаряду при постоянном токе I = 0,2I 10 ± 1 % (например, при 2 А для аккумулятора емкостью С 10 = 100 А·ч, измеренной при разряде до конечного напряжения U к = 1,8 В при 20 °С).
Аккумуляторы и моноблоки должны быть соединены между собой при помощи стандартных соединителей, используемых при реальном размещении батарей. Открытые аккумуляторы должны быть укомплектованы соответствующими индикаторами уровня электролита, вентиляционными пробками, пламегасителями или подобными устройствами.
17.4 Очищенная вода должна быть добавлена в аккумуляторы, если уровень электролита достигает минимальной отметки.
17.5 После
ч (= 1 цикл) аккумуляторы и моноблоки, уровень электролита в которых должен быть доведен до максимальной отметки, подвергают испытанию по определению емкости в соответствии с 14.2-14.9 со следующими значениями:
- t = 1 ч;
- разряд до U к = 1,60 В на аккумулятор;
- температура электролита от 25 °С до 30 °С.
Значение фактической емкости С ф записывают и корректируют до соответствующей нормальной температуры (20 °С или 25 °С).
17.6 Аккумуляторы и моноблоки повторно заряжают и подвергают следующему циклу перезаряда продолжительностью
ч.
17.7 Действия по 17.3-17.5 должны быть продолжены, пока фактическая емкость С ф, откорректированная с учетом температуры, не станет ниже 0,8С n (С n соответствует 1-часовому режиму разряда до конечного напряжения U к = 1,60 В на аккумулятор) после двух следующих друг за другом периодов продолжительностью по 720 ч. Число достигнутых циклов перезаряда (см. 8.2) должно быть зарегистрировано как число завершенных циклов без учета второго цикла, в котором откорректированная с учетом температуры фактическая емкость С ф стала ниже 0,8С n.
18.1 После проведения испытания в соответствии с разделом 14 и получения фактической емкости С ф не менее назначенной емкости С n аккумуляторы или батареи должны быть подготовлены в соответствии с разделом 13. Верхняя поверхность аккумуляторов (крышка) должна сохраняться сухой и чистой на протяжении всего испытания.
18.2 Аккумуляторы или батареи должны быть выдержаны при разомкнутой внешней цепи в течение 90 сут, на протяжении которых средняя температура электролита должна поддерживаться на уровне (20 ± 2) °С. В течение этого времени максимальная температура электролита не должна превышать 25 °С, а минимальная - не должна быть ниже 15 °С.
18.3 После 90-суточного хранения при разомкнутой цепи аккумуляторы или батареи должны быть подвергнуты испытанию по определению емкости в соответствии с 14.2-14.9. Измеренная емкость должна быть откорректирована в соответствии с формулой в 14.8 для получения C̅ф.
18.4 Сохранность заряда С с, %, определяют по формуле
.
(7)
19.1 Испытание проводят, как минимум, на трех аккумуляторах, испытанных в соответствии с разделом 14, фактическая емкость С ф у которых составила не менее С n.
19.2 После подготовки в соответствии с разделом 3 аккумуляторы или батареи должны быть помещены в камеру при соответствующей температуре окружающей среды на время, пока температура электролита не достигнет значения (20 ± 2) °С.
19.3 Разрядная характеристика U = f(I) должна быть получена путем определения двух точек следующим образом.
19.3.1 Первая точка (U 1, I 1)
Через 20 с разряда током I 1 = 4I 10 ... 6I 10 А фиксируют напряжение, ток и определяют первую точку.
Разряд должен быть прекращен максимум через 25 с. Без проведения заряда и после выдержки в течение 2-5 мин при разомкнутой цепи определяют вторую точку.
19.3.2 Вторая точка (U 2, I 2)
Через 5 с разряда током I 2 = 20I 10 ... 40I 10 А фиксируют напряжение, ток и определяют вторую точку.
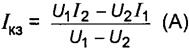
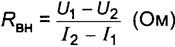
19.4 Характеристику U = f(I) линейно экстраполируют до U = 0 В. Точка пересечения показывает ток короткого замыкания I кз. Может быть определено также внутреннее сопротивление R вн.

Рисунок 1 - Разрядная характеристика U = f(I)
Из рисунка 1 следует:
,
(8)
.
(9)
Примечания
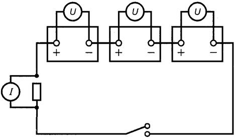
1 Напряжение измеряют на клеммах на выходе каждого аккумулятора или моноблока, чтобы убедиться, что падение напряжения во внешней цепи не препятствует проведению испытания. Типичная электрическая схема при испытаниях приведена на рисунке 2.
Значения тока короткого замыкания и внутреннего сопротивления, полученные при этом испытании, относят к одному аккумулятору или моноблоку. Однако при расчете тока короткого замыкания и внутреннего сопротивления полной батареи необходимо учитывать сопротивление межэлементных соединений.
2 Данный метод испытания дает информацию при установившихся условиях испытаний и не учитывает динамические условия, возникающие, например, в течение первых нескольких миллисекунд короткого замыкания. Результаты данного испытания имеют погрешность порядка 10 %.
3 Для очень больших аккумуляторов значения I кз и R вн могут быть получены на основании испытаний меньших 1) по размеру аккумуляторов, имеющих пластины такого же типа и размера.
──────────────────────────────
1) Для справки: содержащих меньшее число пластин.
──────────────────────────────

Рисунок 2 - Типичная электрическая схема при испытаниях
20.1 При типовых испытаниях рекомендуется придерживаться последовательности испытаний, указанной в таблице 1. Рекомендуется использовать не менее шести 2) аккумуляторов или моноблоков на каждую группу испытаний.
──────────────────────────────
2) Для справки: последовательно соединенных.
──────────────────────────────
20.2 Если потребителю требуется приемо-сдаточное испытание, то рекомендуется проводить его в форме испытания по определению емкости в соответствии с разделом 14.
|
Испытания |
Группа испытаний | ||
|
1 |
2 |
3 | |
|
Испытание по определению емкости (раздел 14) |
x |
x |
x |
|
Испытание на работоспособность батареи во флотирующем режиме (раздел 15) |
x | ||
|
Испытание на выносливость при циклировании (раздел 16) или Испытание на выносливость при перезаряде (раздел 17) |
x | ||
|
Испытание на сохранность заряда (раздел 18) |
x | ||
|
Определение тока короткого замыкания и внутреннего сопротивления (раздел 19) |
x | ||
|
Примечание - Последовательность испытаний может быть более точно определена изготовителем. | |||
Следующая обязательная информация должна быть нанесена на аккумулятор или моноблок:
a) напряжение;
b) условное обозначение типа аккумулятора или моноблока, используемое изготовителем или поставщиком;
c) емкость при выбранной нормальной температуре с указанием режима, выраженного через ток или время разряда;
d) наименование изготовителя или поставщика;
e) плотность электролита (при полностью заряженной батарее и выбранной нормальной температуре);
f) дата изготовления (месяц и год).
Информация, относящаяся к рекомендациям по технике безопасности, как требуется местными, национальными или международными правилами, должна быть нанесена на упаковку аккумулятора или моноблока.
В местах размещения батарей должна быть представлена следующая информация:
a) напряжение (батареи);
b) условное обозначение типа батареи, используемое изготовителем или поставщиком;
c) емкость в ампер-часах с указанием режима разряда и конечного напряжения разряда при выбранной нормальной температуре;
d) наименование организации, производившей монтаж;
e) дата ввода в эксплуатацию;
f) плотность электролита (при полностью заряженной батарее и выбранной нормальной температуре);
g) инструкции по технике безопасности при эксплуатации и обслуживании.
24.1 Общие положения по маркировке полярности аккумуляторов
Чтобы соответствовать требованиям настоящего стандарта, аккумуляторы стационарной батареи и моноблоки должны иметь маркировку полярности, по крайней мере, положительного вывода (клеммы).
24.2 Форма маркировки
Маркировка должна иметь форму символа "+", вдавленного или выполненного рельефно, и быть расположена на крышке рядом с положительным выводом.
Если отрицательный вывод тоже маркируется, то его маркировка должна быть в форме символа "-", вдавленного или выполненного рельефно, и быть расположена на крышке рядом с отрицательным выводом.
24.3 Символы, используемые для маркировки и их размеры
Символы, используемые для маркировки полярности, должны соответствовать требованиям МЭК 60417.
Маркировка положительного вывода должна соответствовать символу 5005 "Положительная полярность" по МЭК 60417.
Маркировка отрицательного вывода, если она применяется, должна соответствовать символу 5006 "Отрицательная полярность" по МЭК 60417.
Фактическое значение размера а 1) для этих символов должно быть не менее 5 мм.
──────────────────────────────
1) Для справки: размер а - длина стороны основного квадрата основной фигуры по МЭК 60417.
──────────────────────────────
Примечание - Размер а = 5 мм соответствует общей длине каждой черточки символов, равной 6 мм.
- длина стороны основного квадрата основной фигуры по МЭК 60417.
Приложение А
(справочное)
В таблице А.1 даны рекомендации по испытаниям в зависимости от области применения стационарных батарей.
В таблице А.2 даны рекомендации по испытаниям в зависимости от типа стационарных аккумуляторов и батарей.
|
Испытание |
Раздел |
Применение информации, полученной при испытаниях | ||||
|
Телекоммуникация |
Перевод стрелок на железной дороге |
Аварийное освещение и сигнализация |
Источники бесперебойного питания (ИПБ) |
Запуск стационарных двигателей | ||
|
Испытание по определению емкости |
14 |
Одно испытание, режим разряда - между 10 и 1 ч |
Одно испытание, режим разряда - между 10 и 1 ч Необязательное испытание: режим разряда - от 10 до 1 мин (см. 7.5 1)) |
Одно испытание, режим разряда - между 20 и 1 ч |
Одно испытание, режим разряда - между 10 и 1 ч Необязательное испытание: режим разряда - от 30 до 3 мин (см. 7.5 1)) |
Одно испытание, режим разряда - между 10 и 1 ч Необязательное испытание: режим разряда - 5 мин (см. 7.5 1)) |
|
Испытание на работоспособность во флотирующем режиме |
15 |
Информация, полученная при испытании, будет применима |
Информация, полученная при испытании, будет применима Проверка условий заряда во флотирующем режиме |
Информация, полученная при испытании, будет применима Проверка условий заряда во флотирующем режиме |
Информация, полученная при испытании, будет применима Проверка условий заряда во флотирующем режиме |
Информация, полученная при испытании, будет применима Проверка условий заряда во флотирующем режиме |
|
Испытание на выносливость при циклировании |
16 |
Информация, полученная при испытании, будет применима для условий с частыми перебоями в электроснабжении |
Информация, полученная при испытании, будет применима для условий с частыми перебоями в электроснабжении |
Информация, полученная при испытании, будет применима для условий с частыми перебоями в электроснабжении |
Информация, полученная при испытании, будет применима для условий с частыми перебоями в электроснабжении |
Информация, полученная при испытании, будет применима для условий с частыми перебоями в электроснабжении |
|
Испытание на выносливость при перезаряде |
17 |
Информация, полученная при испытании, будет применима для условий с малым числом циклов разряда-заряда или высокой температурой окружающей среды |
Информация, полученная при испытании, будет применима для условий с малым числом циклов разряда-заряда или высокой температурой окружающей среды |
Информация, полученная при испытании, будет применима для условий с малым числом циклов разряда-заряда или высокой температурой окружающей среды |
Информация, полученная при испытании, будет применима для условий с малым числом циклов разряда-заряда или высокой температурой окружающей среды |
Информация, полученная при испытании, будет применима для условий с малым числом циклов разряда-заряда или высокой температурой окружающей среды |
|
Испытание на сохранность заряда |
18 |
Информация, полученная при испытании, будет применима для условий хранения и транспортирования |
Информация, полученная при испытании, будет применима для условий хранения и транспортирования |
Информация, полученная при испытании, будет применима для условий хранения и транспортирования |
Информация, полученная при испытании, будет применима для условий хранения и транспортирования |
Информация, полученная при испытании, будет применима для условий хранения и транспортирования |
|
Испытание по определению тока короткого замыкания и внутреннего сопротивления |
19 |
Информация, полученная при испытании, необходима для электрической и механической защиты электрических цепей |
Информация, полученная при испытании, необходима для электрической и механической защиты электрических цепей |
Информация, полученная при испытании, необходима для электрической и механической защиты электрических цепей |
Информация, полученная при испытании, необходима для электрической и механической защиты электрических цепей |
Информация, полученная при испытании, необходима для электрической и механической защиты электрических цепей |
──────────────────────────────
1) В МЭК 60896-11(2002) ошибочно указан пункт 6.6, как было в предыдущей версии международного стандарта.
──────────────────────────────
|
Испытание |
Раздел |
Аккумуляторы |
Моноблоки | ||
|
Планте |
Трубчатые |
Намазные пластины | |||
|
Испытание по определению емкости |
14 |
Испытание проводят Выбирают соответствующий режим |
Испытание проводят Выбирают соответствующий режим |
Испытание проводят Выбирают соответствующий режим |
Учитывать, что напряжение отдельного аккумулятора можно измерить не всегда |
|
Испытание на работоспособность во флотирующем режиме |
15 |
Испытание проводят |
Испытание проводят |
Испытание проводят |
Учитывать, что напряжение отдельного аккумулятора можно измерить не всегда |
|
Испытание на выносливость при циклировании |
16 |
Испытание проводят, только если соответствующая информация необходима по условиям применения |
Испытание проводят |
Испытание проводят, только если соответствующая информация необходима по условиям применения |
Учитывать, что напряжение отдельного аккумулятора можно измерить не всегда |
|
Испытание на выносливость при перезаряде |
17 |
Испытание проводят, только если соответствующая информация необходима по условиям применения |
Испытание проводят |
Испытание проводят, только если соответствующая информация необходима по условиям применения |
Учитывать, что напряжение отдельного аккумулятора можно измерить не всегда |
|
Испытание на сохранность заряда |
18 |
Испытание проводят |
Испытание проводят |
Испытание проводят |
Испытание проводят |
|
Испытание по определению тока короткого замыкания и внутреннего сопротивления |
19 |
Испытание проводят |
Испытание проводят |
Испытание проводят |
Испытание проводят |
Приложение ДА
(справочное)
Таблица ДА.1
|
Обозначение ссылочного международного стандарта |
Степень соответствия |
Обозначение и наименование соответствующего национального, межгосударственного стандарта |
|
МЭК 60050(151) |
IDT |
ГОСТ IEC 60050-151-2014 "Международный электротехнический словарь. Часть 151. Электрические и магнитные устройства" |
|
МЭК 60051-1 |
MOD |
ГОСТ 30012.1-2002 (МЭК 60051-1-97) "Приборы аналоговые показывающие электроизмерительные прямого действия и вспомогательные части к ним. Часть 1. Определения и основные требования, общие для всех частей" |
|
МЭК 60051-2 |
MOD |
ГОСТ 8711-93 (МЭК 51-2-84) "Приборы аналоговые показывающие электроизмерительные прямого действия и вспомогательные части к ним. Часть 2. Особые требования к амперметрам и вольтметрам" |
|
МЭК 60051-3 |
MOD |
ГОСТ 8476-93 (МЭК 51-3-84) "Приборы аналоговые показывающие и электроизмерительные прямого действия и вспомогательные части к ним. Часть 3. Особые требования к ваттметрам и варметрам" |
|
МЭК 60051-4 |
MOD |
ГОСТ 7590-93 (МЭК 51-4-84) "Приборы аналоговые показывающие электроизмерительные прямого действия и вспомогательные части к ним. Часть 4. Особые требования к частотомерам" |
|
МЭК 60051-5 |
MOD |
ГОСТ 8039-93 (МЭК 51-5-85) "Приборы аналоговые показывающие электроизмерительные прямого действия и вспомогательные части к ним. Часть 5. Особые требования к фазометрам, измерителям коэффициента мощности и синхроноскопам" |
|
МЭК 60051-6 |
MOD |
ГОСТ 23706-93 (МЭК 51-6-84) "Приборы аналоговые показывающие электроизмерительные прямого действия и вспомогательные части к ним. Часть 6. Особые требования к омметрам (приборам для измерения полного сопротивления) и приборам для измерения активной проводимости" |
|
МЭК 60051-7 |
MOD |
ГОСТ 10374-93 (МЭК 51-7-84) "Приборы аналоговые показывающие электроизмерительные прямого действия и вспомогательные части к ним. Часть 7. Особые требования к многофункциональным приборам" |
|
МЭК 60051-8 |
MOD |
ГОСТ 8042-93 (МЭК 51-8-84) "Приборы аналоговые показывающие электроизмерительные прямого действия и вспомогательные части к ним. Часть 8. Особые требования к вспомогательным частям" |
|
МЭК 60051-9 |
MOD |
ГОСТ 30012.9-93 (МЭК 51-9-88) "Приборы аналоговые показывающие электроизмерительные прямого действия и вспомогательные части к ним. Часть 9. Рекомендуемые методы испытаний" |
|
МЭК 60359 |
- |
* |
|
МЭК 60417 (все части) |
MOD |
ГОСТ 28312-89 (МЭК 417-73) "Аппаратура радиоэлектронная профессиональная. Условные графические обозначения" |
|
МЭК 60485 |
- |
* |
|
* Соответствующий национальный стандарт отсутствует. До его утверждения рекомендуется использовать перевод на русский язык данного международного стандарта. Перевод данного международного стандарта находится в Федеральном информационном фонде технических регламентов и стандартов. Примечание - В настоящей таблице использованы следующие условные обозначения степени соответствия стандартов: - IDT - идентичные стандарты; - MOD - модифицированные стандарты. | ||


