ГОСТ Р МЭК 60601-2-24-2017 ИЗДЕЛИЯ МЕДИЦИНСКИЕ ЭЛЕКТРИЧЕСКИЕ. Часть 2-24. ЧАСТНЫЕ ТРЕБОВАНИЯ БЕЗОПАСНОСТИ С УЧЕТОМ ОСНОВНЫХ ФУНКЦИОНАЛЬНЫХ ХАРАКТЕРИСТИК К НАСОСАМ И КОНТРОЛЛЕРАМ ИНФУЗИОННЫМ
Medical electrical equipment. Part 2-24. Particular requirements for the basic safety and essential performance of infusion pumps and controllers
ОКС 11.040.20
Дата введения - 1 июля 2018 г.
Введен впервые
Предисловие
1 Подготовлен Обществом с ограниченной ответственностью "Научно-технический центр "МЕДИТЭКС" (ООО "НТЦ "МЕДИТЭКС") на основе собственного перевода на русский язык англоязычной версии стандарта, указанного в пункте 4
2 Внесен Техническим комитетом по стандартизации ТК 011 "Медицинские приборы, аппараты и оборудование"
3 Утвержден и введен в действие Приказом Федерального агентства по техническому регулированию и метрологии от 29 августа 2017 г. N 974-ст
4 Настоящий стандарт идентичен международному стандарту МЭК 60601-2-24:2012 "Изделия медицинские электрические. Часть 2-24. Частные требования безопасности с учетом основных функциональных характеристик к насосам и контроллерам инфузионным" (IEC 60601-2-24:2012 "Medical electrical equipment - Part 2-24: Particular requirements for the basic safety and essential performance of infusion pumps and controllers", IDT).
При применении настоящего стандарта рекомендуется использовать вместо ссылочных международных стандартов соответствующие им национальные и межгосударственные стандарты, сведения о которых приведены в дополнительном приложении ДА
5 Введен впервые
Введение
Настоящий стандарт устанавливает основные требования к безопасности ИНФУЗИОННЫХ НАСОСОВ и ИНФУЗИОННЫХ КОНТРОЛЛЕРОВ. Взаимосвязь настоящего стандарта с МЭК 60601-1:2005 с изменением МЭК 60601-1(2005)/Amd.1(2012) (далее - МЭК 60601-1:2005+А1:2012) и дополнительными стандартами пояснена в 1.3.
Ответственность за правильное использование инфузионных насосов и контроллеров лежит в первую очередь на ОПЕРАТОРЕ. Отмечается, что ОПЕРАТОРЫ должны быть обучены управлению МЕДИЦИНСКИМИ ЭЛЕКТРИЧЕСКИМИ ИЗДЕЛИЯМИ и что безопасность использования МЕДИЦИНСКИХ ЭЛЕКТРИЧЕСКИХ ИЗДЕЛИЙ может быть достигнута только при условии, что они эксплуатируются в соответствии с инструкциями ИЗГОТОВИТЕЛЯ. Указанный минимальный набор требований по безопасности, как считается, обеспечивает практическую степень безопасности при эксплуатации. За обеспечение соответствия требованиям настоящего стандарта ответственность несет ИЗГОТОВИТЕЛЬ. Настоящий стандарт разработан в соответствии с вышеуказанными принципами.
Настоящий стандарт является прямым применением международного стандарта МЭК 60601-2-24, подготовленного подкомитетом 62D МЭК "Медицинская электроаппаратура" Технического комитета ТК 62 "Электрооборудование в медицинской практике".
Второе издание международного стандарта отменяет и заменяет первое издание МЭК 60601-2-24, опубликованное в 1998 г. Настоящая редакция представляет собой технический пересмотр в целях соответствия МЭК 60601-1:2005+А1:2012, включая новую нумерацию пунктов и требования к эксплуатационной пригодности и сигнализации.
Текст международного стандарта основан на следующих документах:
|
Окончательный проект международного стандарта |
Отчет о голосовании |
|
62D/1026/FDIS |
62D/1039/RVD |
Полную информацию о голосовании по утверждению международного стандарта можно найти в отчете о голосовании, который указан в приведенной выше таблице.
Редакция международного стандарта подготовлена в соответствии с Директивами ИСО/МЭК, часть 2.
В настоящем стандарте приняты следующие шрифтовые выделения:
- требования и определения: прямой шрифт;
- методы испытаний: курсив;
- информативный материал, приведенный вне таблиц (примечания, примеры и справочная информация), а также нормативный текст таблиц: шрифт уменьшенного размера;
- ТЕРМИНЫ, ОПРЕДЕЛЕННЫЕ В РАЗДЕЛЕ 3 ОБЩЕГО СТАНДАРТА И В НАСТОЯЩЕМ ЧАСТНОМ СТАНДАРТЕ: ЗАГЛАВНЫЕ БУКВЫ.
В настоящем стандарте термины означают:
- "пункт" - одна из 17 частей стандарта, указанных в содержании, включая все ее подпункты (например, пункт 7, включая его подпункты 7.1, 7.2 и т.д.);
- "подпункт" - пронумерованная последовательность подпунктов пункта (например, подпункты 7.1, 7.2 и 7.2.1 являются подпунктами пункта 7).
Перед ссылкой на пункт и перед его номером в настоящем стандарте будет стоять слово "пункт", а ссылка на подпункт будет ограничиваться лишь его номером.
В настоящем стандарте союз "или" будет использован как включающее "или", т.е. утверждение будет истинным при любой комбинации условий.
Глагольные формы, используемые в настоящем стандарте, совпадают по форме с описанными в приложении Н Директив ИСО/МЭК (часть 2).
Вспомогательные глаголы:
- "должен" означает, что соответствие требованиям или испытаниям обязательно для соответствия настоящему стандарту;
- "следует" означает, что соответствие требованиям или испытаниям рекомендовано, но не обязательно для соответствия настоящему стандарту;
- "может" используется для описания допустимых путей достижения соответствия требованиям или испытаниям.
Требования настоящего частного стандарта имеют приоритет перед требованиями общего стандарта.
Знак звездочки (*) у номера пункта или подпункта раздела указывает, что в приложении АА приведены соответствующие пояснения.
Применяют раздел 1 общего стандарта 1), за исключением следующего:
──────────────────────────────
1) Общий стандарт МЭК 60601-1:2005+А1:2012 "Электроаппаратура медицинская. Часть 1. Общие требования к основной безопасности и существенным характеристикам".
──────────────────────────────
201.1.1 Область распространения
Замена:
Настоящий стандарт распространяется на ОБЩИЕ ТРЕБОВАНИЯ БЕЗОПАСНОСТИ С УЧЕТОМ ОСНОВНЫХ ФУНКЦИОНАЛЬНЫХ ХАРАКТЕРИСТИК к инфузионным насосам и волюметрическим инфузионным контроллерам, в дальнейшем именуемым как "МЕ ИЗДЕЛИЯ".
Настоящий стандарт распространяется на ИНФУЗИОННЫЕ МАГИСТРАЛИ, если их характеристики влияют на ОБЩИЕ ТРЕБОВАНИЯ БЕЗОПАСНОСТИ С УЧЕТОМ ОСНОВНЫХ ФУНКЦИОНАЛЬНЫХ ХАРАКТЕРИСТИК к ИНФУЗИОННЫМ НАСОСАМ и ВОЛЮМЕТРИЧЕСКИМ ИНФУЗИОННЫМ КОНТРОЛЛЕРАМ. Однако настоящий стандарт не устанавливает требования или методы испытаний к другим аспектам, связанным с ИНФУЗИОННЫМИ МАГИСТРАЛЯМИ.
Если какой-либо пункт или подпункт настоящего стандарта применим исключительно к ME ИЗДЕЛИЮ или же исключительно к ME СИСТЕМАМ, то об этом будут свидетельствовать название и содержание этого пункта или подпункта, в противном случае данный пункт или подпункт применим и к ME ИЗДЕЛИЮ, и к ME СИСТЕМАМ.
ОПАСНОСТИ, связанные с физиологическими эффектами, вызванными воздействием ME ИЗДЕЛИЯ или ME СИСТЕМЫ, не рассматриваются в настоящем стандарте, за исключением 7.2.13 и 8.4.1 общего стандарта.
Примечание - См. также пункт 4.2 общего стандарта.
Настоящий стандарт может также применяться к НАСОСАМ ДЛЯ ЭНТЕРАЛЬНОГО ПИТАНИЯ, ИНФУЗИОННЫМ НАСОСАМ, ИНФУЗИОННЫМ НАСОСАМ ДЛЯ АМБУЛАТОРНОГО ИСПОЛЬЗОВАНИЯ, ШПРИЦЕВЫМ или КОНТЕЙНЕРНЫМ НАСОСАМ, ВОЛЮМЕТРИЧЕСКИМ ИНФУЗИОННЫМ КОНТРОЛЛЕРАМ и ВОЛЮМЕТРИЧЕСКИМ ИНФУЗИОННЫМ НАСОСАМ, которые определены в 201.3.204, 201.3.206, 201.3.207, 201.3.220, 201.3.222 и 201.3.223.
Настоящий стандарт не распространяется на следующее:
a) оборудование, предназначенное для диагностического или схожего с ним назначения (например, оборудование для ангиографии или другие насосы, постоянно контролируемые или управляемые ОПЕРАТОРОМ);
b) устройства для экстракорпорального кровообращения;
c) имплантируемые устройства;
d) ME ИЗДЕЛИЯ, предназначенные для диагностического применения в уродинамике (измерение отношения давления-объема мочевого пузыря при заполнении через катетер с водой);
e) ME ИЗДЕЛИЯ, предназначенные для диагностического применения при испытаниях мужской потенции (измерение объема вливаемой жидкости, необходимого для обеспечения заданного уровня давления для поддержания пенильной эрекции: кавернозометрии, кавернозографии);
f) устройства, на которые распространяется ИСО 28620.
201.1.2 Цель
Замена:
Целью настоящего стандарта является установление ОБЩИХ ТРЕБОВАНИЙ БЕЗОПАСНОСТИ С УЧЕТОМ ОСНОВНЫХ ФУНКЦИОНАЛЬНЫХ ХАРАКТЕРИСТИК к НАСОСАМ ДЛЯ ЭНТЕРАЛЬНОГО ПИТАНИЯ, ИНФУЗИОННЫМ НАСОСАМ, ИНФУЗИОННЫМ НАСОСАМ ДЛЯ АМБУЛАТОРНОГО ИСПОЛЬЗОВАНИЯ, ШПРИЦЕВЫМ или КОНТЕЙНЕРНЫМ НАСОСАМ, ВОЛЮМЕТРИЧЕСКИМ ИНФУЗИОННЫМ КОНТРОЛЛЕРАМ и ВОЛЮМЕТРИЧЕСКИМ ИНФУЗИОННЫМ НАСОСАМ, которые определены в 201.3.204, 201.3.206, 201.3.207, 201.3.220, 201.3.222 и 201.3.223.
201.1.3 Дополнительные стандарты
Дополнение:
Настоящий стандарт использует ссылки, указанные в разделе 2 общего стандарта и пункте 201.2.
МЭК 60601-1-2:2007, МЭК 60601-1-6:2010 и МЭК 60601-1-8:2006 применяют с изменениями, внесенными в пункты 202, 206 и 208 соответственно. МЭК 60601-1-3 не применяют. Все остальные дополнительные стандарты, перечисленные в МЭК 60601-1, применяют в том виде, в каком они опубликованы.
201.1.4 Частные стандарты
Замена:
Частные стандарты серии МЭК 60601 могут изменять, заменять или отменять требования, содержащиеся в общем стандарте и дополнительных стандартах, имеющих прямое отношение к конкретному ME ИЗДЕЛИЮ, а также могут добавлять другие требования к ОСНОВНОЙ БЕЗОПАСНОСТИ и ОСНОВНЫМ ФУНКЦИОНАЛЬНЫМ ХАРАКТЕРИСТИКАМ.
Требования настоящего стандарта являются приоритетными по отношению к соответствующим требованиям общего стандарта.
Для краткости изложения в настоящем стандарте в качестве общего стандарта указан МЭК 60601-1. Дополнительные стандарты обозначены по их номерам.
Нумерация пунктов и подпунктов настоящего стандарта соответствует общему стандарту с приставкой "201" (например, пункт 201.1 настоящего стандарта соответствует содержанию пункта 1 общего стандарта) или дополнительному стандарту с приставкой "20х", где "х" - это последняя(ие) цифра(ы) номера дополнительного стандарта (например, пункт 202.4 настоящего стандарта соответствует содержанию пункта 4 дополнительного стандарта МЭК 60601-1-2, пункт 203.4 настоящего стандарта соответствует содержанию пункта 4 дополнительного стандарта МЭК 60601-1-3 и т.д.). Изменения текста общего стандарта обозначены следующими словами:
- "замена" означает, что пункт или подпункт общего стандарта или соответствующего дополнительного стандарта полностью заменен текстом настоящего частного стандарта;
- "дополнение" - текст настоящего частного стандарта является дополнением к требованиям общего стандарта или соответствующего дополнительного стандарта;
- "изменение" - пункт или подпункт общего стандарта или соответствующего дополнительного стандарта изменен в соответствии с текстом настоящего частного стандарта.
Подпункты, рисунки или таблицы, которые являются дополнительными к элементам общего стандарта, пронумерованы начиная с 201.101. Однако вследствие того, что определения в общем стандарте пронумерованы от 3.1 до 3.139, дополнительные определения в настоящем стандарте пронумерованы начиная с 201.3.201. Дополнительные приложения обозначены буквами АА, ВВ и т.д., дополнительные пункты - аа), bb) и т.д.
Подпункты, рисунки или таблицы, которые являются дополнительными к элементам из дополнительного стандарта, пронумерованы начиная с "20х", где "х" - номер дополнительного стандарта, например 202 для МЭК 60601-1-2, 203 для МЭК 60601-1-3 и т.д.
Термин "настоящие стандарты" использован для совместной ссылки на общий стандарт, любые применимые дополнительные стандарты и настоящий частный стандарт, вместе взятые.
В случае отсутствия соответствующего пункта или подпункта в настоящем частном стандарте применяют без изменений соответствующий пункт или подпункт общего стандарта или применимого дополнительно стандарта, даже если он не релевантен; в настоящем частном стандарте указаны условия неприменимости любого пункта или подпункта общего стандарта или применимого дополнительного стандарта.
Применяют пункт 2 общего стандарта, за исключением следующего:
Замена:
IEC 60601-1-2:2007, Medical electrical equipment - Part 1-2: General requirements for basic safety and essential performance - Collateral standard: Electromagnetic compatibility - Requirements and tests 1) (Электроаппаратура медицинская. Часть 1-2. Общие требования к базовой безопасности и основной эксплуатационной характеристике. Дополняющий стандарт. Электромагнитная совместимость. Требования и испытания)
──────────────────────────────
1) Заменен на IEC 60601-1-2:2014 "Аппаратура электрическая медицинская. Часть 1-2. Общие требования к базовой безопасности и существенным рабочим характеристикам. Дополнительный стандарт. Электромагнитные помехи. Требования и испытания". Однако для однозначного соблюдения требований настоящего стандарта, выраженного в датированной ссылке, рекомендуется использовать только указанное в этой ссылке издание.
──────────────────────────────
IEC 60601-1-6:2010, Medical electrical equipment - Part 1-6: General requirements for basic safety and essential performance - Collateral standard: Usability (Электрооборудование медицинское. Часть 1-6. Общие требования безопасности и основные рабочие характеристики. Дополняющий стандарт. Возможность использования)
IEC 60601-1-8:2006, Medical electrical equipment - Part 1-8: General requirements for basic safety and essential performance - Collateral standard: General requirements, tests and guidance for alarm systems in medical electrical equipment and medical electrical systems (Аппаратура электрическая медицинская. Часть 1-8. Общие требования к базовой безопасности и существенным характеристикам. Дополняющий стандарт. Общие требования, испытания и руководство по системам тревожной сигнализации в электрической медицинской аппаратуре и системах)
Дополнение:
IEC 60601-1:2005, Medical electrical equipment - Part 1: General requirements for basic safety and essential performance. Amendment 1:2012 (Электроаппаратура медицинская. Часть 1. Общие требования к базовой безопасности и существенные рабочие характеристики. Изменение 1)
ISO 3696:1987, Water for analytical laboratory use - Specification and test methods (Вода для лабораторного анализа. Технические требования и методы испытаний)
ISO 7864, Sterile hypodermic needles for single use (Иглы стерильные для подкожных инъекций одноразового применения)
ISO 8536-4, Infusion equipment for medical use - Part 4: Infusion sets for single use, gravity feed (Оборудование медицинское для вливаний. Часть 4. Одноразовые комплекты для вливания с гравитационной подачей)
В настоящем стандарте использованы термины и определения, приведенные в МЭК 60601-1:2005+А1:2012, за исключением следующих:
Примечание - Алфавитный указатель определений терминов приведен в конце настоящего частного стандарта.
Замена:
201.3.8 РАБОЧАЯ ЧАСТЬ (APPLIED PART): Часть ME ИЗДЕЛИЯ, в том числе магистраль для инфузионного раствора, которая при НОРМАЛЬНОЙ ЭКСПЛУАТАЦИИ ME ИЗДЕЛИЯ обязательно должна входить в непосредственный контакт с ПАЦИЕНТОМ для выполнения требуемых функций.
Дополнение:
201.3.201 ИНФУЗИОННАЯ МАГИСТРАЛЬ (ADMINISTRATION SET): Устройство, предназначенное для внутривенного введения ПАЦИЕНТУ инфузионных растворов из соответствующей емкости посредством ME ИЗДЕЛИЯ.
201.3.202 ИНТЕРВАЛ ЗАМЕНЫ ИНФУЗИОННОЙ МАГИСТРАЛИ (ADMINISTRATION SET CHANGE INTERVAL): Допустимое время использования ИНФУЗИОННОЙ МАГИСТРАЛИ, рекомендованное ИЗГОТОВИТЕЛЕМ ME ИЗДЕЛИЯ.
201.3.203 НАЗНАЧЕННЫЙ БОЛЮС (INTENDED BOLUS): Дискретный объем инфузионного раствора, предназначенный для введения ПАЦИЕНТУ с помощью ME ИЗДЕЛИЯ.
201.3.204 НАСОС ДЛЯ ЭНТЕРАЛЬНОГО ПИТАНИЯ (ENTERAL NUTRITION PUMP): ИНФУЗИОННЫЙ НАСОС, предназначенный для введения жидких смесей для энтерального питания.
201.3.205 СВОБОДНЫЙ ПОТОК (FREE FLOW): Непреднамеренное неконтролируемое ИНФУЗИОННЫМ НАСОСОМ введение ПАЦИЕНТУ инфузионного раствора через ИНФУЗИОННУЮ МАГИСТРАЛЬ, например вследствие неучтенного воздействия силы тяжести или давления при извлечении ИНФУЗИОННОЙ МАГИСТРАЛИ из ИНФУЗИОННОГО НАСОСА.
201.3.206 ИНФУЗИОННЫЙ НАСОС (INFUSION PUMP): ME ИЗДЕЛИЕ, предназначенное для контролируемого введения ПАЦИЕНТУ инфузионных растворов под давлением, создаваемым насосом.
Примечание - ИНФУЗИОННЫЙ НАСОС может обеспечивать один или несколько следующих типов инфузии:
- тип 1: непрерывная инфузия;
- тип 2: инфузия прерывистым потоком;
- тип 3: дискретное введение болюса;
- тип 4: инфузия по заданному профилю, осуществляемая ПРОФИЛИРУЕМЫМ НАСОСОМ.
201.3.207 ИНФУЗИОННЫЙ НАСОС ДЛЯ АМБУЛАТОРНОГО ИСПОЛЬЗОВАНИЯ (INFUSION PUMP FOR AMBULATORY USE): ИНФУЗИОННЫЙ НАСОС, предназначенный для постоянного ношения ПАЦИЕНТОМ.
201.3.208 СРЕДНЯЯ СКОРОСТЬ (INTERMEDIATE RATE): Значение скорости инфузии, используемое в ходе испытаний в целях сравнения характеристик различных типов насосов.
Примечание - Конкретные значения СРЕДНЕЙ СКОРОСТИ отличаются в зависимости от типа инфузионного оборудования:
- для ВОЛЮМЕТРИЧЕСКИХ ИНФУЗИОННЫХ НАСОСОВ и ВОЛЮМЕТРИЧЕСКИХ ИНФУЗИОННЫХ КОНТРОЛЛЕРОВ устанавливают значение 25 мл/ч;
- ШПРИЦЕВЫХ ИЛИ КОНТЕЙНЕРНЫХ НАСОСОВ - значение 5 мл/ч;
- ИНФУЗИОННЫХ НАСОСОВ ДЛЯ АМБУЛАТОРНОГО ИСПОЛЬЗОВАНИЯ - значение, указанное ИЗГОТОВИТЕЛЕМ в качестве типового для данного ME ИЗДЕЛИЯ.
201.3.209 СКОРОСТЬ В РЕЖИМЕ ОТКРЫТОЙ ВЕНЫ (KEEP OPEN RATE, KOR): Заранее заданное низкое значение скорости инфузии, которое устанавливается ИНФУЗИОННЫМ НАСОСОМ при определенных условиях с целью поддержания проходимости ЛИНИИ ПАЦИЕНТА.
Примечание - В качестве синонима KOR также используют аббревиатуру KVO (Keep-Vein-Open, режим открытой вены).
201.3.210 МАКСИМАЛЬНОЕ ДАВЛЕНИЕ ИНФУЗИИ (MAXIMUM INFUSION PRESSURE): Максимальное значение давления, которое может быть достигнуто в ходе работы ИНФУЗИОННОГО НАСОСА при условии возникновения окклюзии на конце ЛИНИИ ПАЦИЕНТА.
201.3.211 МИНИМАЛЬНАЯ СКОРОСТЬ (MINIMUM RATE): Самое низкое значение скорости инфузии, которое может быть установлено ОПЕРАТОРОМ, но не менее 1 мл/ч.
* 201.3.212 МАКСИМАЛЬНО ВОЗМОЖНАЯ СКОРОСТЬ (MAXIMUM SELECTABLE RATE): Самое высокое значение скорости инфузии, которое может быть установлено ОПЕРАТОРОМ, если оно выше СРЕДНЕЙ СКОРОСТИ.
* 201.3.213 МИНИМАЛЬНО ВОЗМОЖНАЯ СКОРОСТЬ (MINIMUM SELECTABLE RATE): Самое низкое значение скорости инфузии, которое может быть установлено ОПЕРАТОРОМ, если оно ниже МИНИМАЛЬНОЙ СКОРОСТИ.
201.3.214 ПОРОГ ДАВЛЕНИЯ ОККЛЮЗИИ (OCCLUSION ALARM THRESHOLD): Значение величины давления, при котором срабатывает тревожная сигнализация о возникновении окклюзии.
201.3.215 СТОРОНА ПАЦИЕНТА (PATIENT END): Подсоединяемый к ПАЦИЕНТУ конец ЛИНИИ ПАЦИЕНТА.
201.3.216 ЛИНИЯ ПАЦИЕНТА (PATIENT LINE): Часть ИНФУЗИОННОЙ МАГИСТРАЛИ между ME ИЗДЕЛИЕМ и ПАЦИЕНТОМ.
201.3.217 ОБЛАСТЬ КОНТРОЛЯ (REGIONOF CONTROL): Часть ME ИЗДЕЛИЯ внутри самого ME ИЗДЕЛИЯ или за его пределами, в которой осуществляется регулирование скорости инфузии, прерывание потока инфузионного раствора или детектирование наличия воздуха в ИНФУЗИОННОЙ МАГИСТРАЛИ.
201.3.218 ПРОФИЛИРУЕМЫЙ НАСОС (PROFILE PUMP): ИНФУЗИОННЫЙ НАСОС, предназначенный для контролируемого введения ПАЦИЕНТУ инфузионных растворов с использованием запрограммированной последовательности различных значений скорости инфузии.
201.3.219 ЛИНИЯ ПОДАЧИ (SUPPLY LINE): Часть ИНФУЗИОННОЙ МАГИСТРАЛИ между емкостью с инфузионным раствором и ME ИЗДЕЛИЕМ.
201.3.220 ШПРИЦЕВОЙ ИЛИ КОНТЕЙНЕРНЫЙ НАСОС (SYRINGE OR CONTAINER PUMP): ИНФУЗИОННЫЙ НАСОС, предназначенный для контролируемого введения ПАЦИЕНТУ инфузионных растворов с использованием одного или нескольких одноразовых шприцев или аналогичных опустошаемых под воздействием создаваемого в них положительного давления контейнеров (пакетов, кассет, картриджей и т.д.) и скорость инфузии в котором задается как объем препарата в единицу времени или в единицах дозы препарата.
201.3.221 НЕПРЕДНАМЕРЕННЫЙ БОЛЮС (UNINTENDED BOLUS): Неконтролируемый нежелательный дискретный объем инфузионного раствора, вводимый ИНФУЗИОННЫМ НАСОСОМ после устранения окклюзии.
201.3.222 ВОЛЮМЕТРИЧЕСКИЙ ИНФУЗИОННЫЙ КОНТРОЛЛЕР (VOLUMETRIC INFUSION CONTROLLER): ME ИЗДЕЛИЕ, предназначенное для регулирования скорости инфузии, осуществляемой под положительным давлением вследствие воздействия силы тяжести, в котором скорость инфузии задается как объем препарата в единицу времени.
201.3.223 ВОЛЮМЕТРИЧЕСКИЙ ИНФУЗИОННЫЙ НАСОС (VOLUMETRIC INFUSION PUMP): ИНФУЗИОННЫЙ НАСОС, в котором скорость инфузии задается как объем препарата в единицу времени или в единицах дозы препарата, за исключением ШПРИЦЕВЫХ ИЛИ КОНТЕЙНЕРНЫХ НАСОСОВ.
Применяют раздел 4 общего стандарта, за исключением следующего:
201.4.3 ОСНОВНЫЕ ФУНКЦИОНАЛЬНЫЕ ХАРАКТЕРИСТИКИ
Дополнительный подпункт:
201.4.3.101 Дополнительные требования к ОСНОВНЫМ ФУНКЦИОНАЛЬНЫМ ХАРАКТЕРИСТИКАМ
Дополнительные требования к ОСНОВНЫМ ФУНКЦИОНАЛЬНЫМ ХАРАКТЕРИСТИКАМ представлены в таблице 201.101.
|
Требование |
Подпункт |
|
Испытания с целью определения погрешности ВОЛЮМЕТРИЧЕСКИХ ИНФУЗИОННЫХ КОНТРОЛЛЕРОВ, ВОЛЮМЕТРИЧЕСКИХ ИНФУЗИОННЫХ НАСОСОВ и ШПРИЦЕВЫХ И КОНТЕЙНЕРНЫХ НАСОСОВ |
201.12.1.102 |
|
Испытания с целью определения погрешности ИНФУЗИОННЫХ НАСОСОВ ДЛЯ АМБУЛАТОРНОГО ИСПОЛЬЗОВАНИЯ типа 1 |
201.12.1.103 |
|
Испытания с целью определения погрешности ИНФУЗИОННЫХ НАСОСОВ ДЛЯ АМБУЛАТОРНОГО ИСПОЛЬЗОВАНИЯ типа 2 |
201.12.1.104 |
|
Испытания с целью определения погрешности ИНФУЗИОННЫХ НАСОСОВ типа 3 |
201.12.1.105 |
|
Испытания с целью определения погрешности ИНФУЗИОННЫХ НАСОСОВ типа 4 |
201.12.1.106 |
|
Испытания с целью определения погрешности ИНФУЗИОННЫХ НАСОСОВ типа 5 |
201.12.1.107 |
|
Защита от НЕПРЕДНАМЕРЕННОГО БОЛЮСА |
201.12.4.4.104 |
|
СИГНАЛЫ ОПАСНОСТИ ВЫСОКОГО ПРИОРИТЕТА согласно таблице 208.101 Примечание - Для ОПАСНЫХ СИТУАЦИЙ, возникающих в результате отказа ME ИЗДЕЛИЯ, нет необходимости проводить испытания воздействия условий эксплуатации и электромагнитной совместимости. |
208.6.1.2.101 |
201.4.7 * УСЛОВИЕ ЕДИНИЧНОГО НАРУШЕНИЯ для ME ИЗДЕЛИЯ
Дополнение:
УСЛОВИЯ ЕДИНИЧНЫХ НАРУШЕНИЙ, случающихся в защитных системах, определенных в 201.12.4.4.101, 201.12.4.4.102, 201.12.4.4.105 и 201.12.4.4.107, в случае возникновения должны быть очевидны для ОПЕРАТОРА в течение всего ИНТЕРВАЛА ЗАМЕНЫ ИНФУЗИОННОЙ МАГИСТРАЛИ.
Примечание - Возможные методы выполнения этого требования, например следующие:
1) проверку системы безопасности запускает и контролирует ME ИЗДЕЛИЕ в начале ИНТЕРВАЛА ЗАМЕНЫ ИНФУЗИОННОЙ МАГИСТРАЛИ и далее постоянно при необходимости;
2) одну или более проверок защитных систем запускает ОПЕРАТОР и контролирует ME ИЗДЕЛИЕ в течение ИНТЕРВАЛА ЗАМЕНЫ ИНФУЗИОННОЙ МАГИСТРАЛИ, при этом оператор запускает проверки перед началом и в ходе инфузии;
3) проверку системы безопасности проводит ОПЕРАТОР не реже одного раза в течение ИНТЕРВАЛА ЗАМЕНЫ ИНФУЗИОННОЙ МАГИСТРАЛИ (см. 21-е перечисление в 201.7.9.2.101).
Следующие события не рассматриваются в качестве УСЛОВИЙ ЕДИНИЧНЫХ НАРУШЕНИЙ, но рассматриваются как НОРМАЛЬНЫЕ СОСТОЯНИЯ:
- утечки из ИНФУЗИОННОЙ МАГИСТРАЛИ и/или системы подачи жидкости;
- истощение ВНУТРЕННЕГО ИСТОЧНИКА ПИТАНИЯ;
- неправильная установка и/или заполнение капельной камеры;
- воздух в ЛИНИИ ПОДАЧИ или в части ME ИЗДЕЛИЯ, где происходит регулировка потока, остановка потока или детекция наличия воздуха;
- выдергивание ЛИНИИ ПАЦИЕНТА (см. ИСО 8536-4).
Применяют раздел 5 общего стандарта, за исключением следующего:
201.5.2 Число образцов
Дополнение:
ИЗГОТОВИТЕЛЬ должен определить число образцов ИНФУЗИОННЫХ НАСОСОВ/ИНФУЗИОННЫХ КОНТРОЛЛЕРОВ и ИНФУЗИОННЫХ МАГИСТРАЛЕЙ для испытаний, необходимое для оценки погрешности, указанной в технической документации.
Соответствие проверяют путем рассмотрения технической документации.
Применяют раздел 6 общего стандарта, за исключением следующего:
201.6.6 Режим работы
Замена:
ME ИЗДЕЛИЕ должны классифицировать как имеющее ПРОДОЛЖИТЕЛЬНЫЙ РЕЖИМ РАБОТЫ.
Применяют раздел 7 общего стандарта, за исключением следующего:
201.7.2.1 Минимальные требования к маркировке ME ИЗДЕЛИЯ и его взаимозаменяемых частей
Дополнение:
ME ИЗДЕЛИЕ должно быть промаркировано стрелкой или другим соответствующим символом, указывающим правильное направление течения потока жидкости, для исключения возможности неправильной установки ИНФУЗИОННОЙ МАГИСТРАЛИ.
Соответствие проверяют осмотром.
201.7.2.4 Маркировка ПРИНАДЛЕЖНОСТЕЙ
Дополнение:
Если для безопасной НОРМАЛЬНОЙ ЭКСПЛУАТАЦИИ ME ИЗДЕЛИЯ требуется использование съемных, специфичных по размерам и маркам или содержащих особенную концентрацию препаратов резервуаров для жидкости или ЛИНИЙ ПАЦИЕНТА, то соответствующая маркировка должна быть закреплена или нанесена на видном месте МЕ ИЗДЕЛИЯ, чтобы или обозначить эти условия, или указать место расположения данной информации.
Соответствие проверяют осмотром.
201.7.9.2 Инструкция по эксплуатации
Дополнительный подпункт:
201.7.9.2.101 Дополнительные инструкции по эксплуатации
Инструкция по эксплуатации должна также включать следующую информацию:
- ПРЕДУСМОТРЕННОЕ ПРИМЕНЕНИЕ, включая условия эксплуатации;
- предупреждения о последствиях применения неподходящих ИНФУЗИОННЫХ МАГИСТРАЛЕЙ;
- допустимые способы ориентирования ME ИЗДЕЛИЯ и методы и меры предосторожности при его установке, например, если это применимо, устойчивость при креплении к стойке;
- * инструкции по поддержанию эксплуатационных характеристик, касающиеся ИНТЕРВАЛА ЗАМЕНЫ ИНФУЗИОННОЙ МАГИСТРАЛИ;
- инструкции, касающиеся использования зажимов на ИНФУЗИОННЫЕ МАГИСТРАЛИ для исключения условий возникновения СВОБОДНОГО ПОТОКА и поддержания установленного порядка при смене контейнеров с жидкостью;
- при необходимости учитывать воздействие силы тяжести указывается допустимый диапазон высот расположения контейнера с жидкостью над ПАЦИЕНТОМ и/или насосом;
- меры предосторожности для защиты ПАЦИЕНТА от попадания воздуха при инфузии;
- сведения о МАКСИМАЛЬНОМ ДАВЛЕНИИ ИНФУЗИИ, обеспечиваемом ME ИЗДЕЛИЕМ;
- сведения о ПОРОГЕ ДАВЛЕНИЯ ОККЛЮЗИИ ME ИЗДЕЛИЯ;
- сведения о максимальном времени активации тревожной сигнализации при окклюзии, когда ME ИЗДЕЛИЕ работает на МИНИМАЛЬНОЙ СКОРОСТИ, СРЕДНЕЙ СКОРОСТИ и МИНИМАЛЬНО ВОЗМОЖНОЙ СКОРОСТИ и при установленных минимально и максимально возможных ПОРОГАХ ДАВЛЕНИЯ ОККЛЮЗИИ (см. 201.12.4.4.104). Если применимо, ИЗГОТОВИТЕЛЬ также должен указывать сведения о возникающих с течением времени эффектах нагрева и изменения длины ИНФУЗИОННОЙ МАГИСТРАЛИ;
- сведения о величине НЕПРЕДНАМЕРЕННОГО БОЛЮСА на СРЕДНЕЙ СКОРОСТИ при установке минимального и максимального ПОРОГА ДАВЛЕНИЯ ОККЛЮЗИИ (см. также 201.12.4.4.104);
- указания о действиях в случае возникновения НЕПРЕДНАМЕРЕННОГО БОЛЮСА перед снятием окклюзии;
- меры предосторожности в отношении датчиков капель, например в отношении их установки, чистоты, уровня жидкости, общей освещенности;
- * среднее время работы ME ИЗДЕЛИЯ от ВНУТРЕННЕГО ИСТОЧНИКА ПИТАНИЯ на СРЕДНЕЙ СКОРОСТИ, а для ВОЛЮМЕТРИЧЕСКИХ ИНФУЗИОННЫХ НАСОСОВ и ВОЛЮМЕТРИЧЕСКИХ ИНФУЗИОННЫХ КОНТРОЛЛЕРОВ также на МАКСИМАЛЬНО ВОЗМОЖНОЙ СКОРОСТИ от новой и полностью заряженной батареи;
- сведения о СКОРОСТИ В РЕЖИМЕ ОТКРЫТОЙ ВЕНЫ и о том, когда срабатывает данный режим;
- перечень тревожных сигналов и условий их возникновения;
- * если применимо, предупреждение, что при определенных условиях заявленная погрешность не может быть обеспечена, и описание этих условий;
- * ссылка на перечень ОПАСНОСТЕЙ, связанных с подсоединением других инфузионных систем или ПРИНАДЛЕЖНОСТЕЙ к ЛИНИИ ПАЦИЕНТА;
- скорость, достигаемая при заправке/очистке магистрали или в режиме БОЛЮСА, а также сообщения об отключенной сигнализации;
- диапазон и шаг установки скорости инфузии;
- если применимо, руководство по проверке ОПЕРАТОРОМ правильного функционирования системы сигнализации и эксплуатационной безопасности ME ИЗДЕЛИЯ;
- информация, полученная в результате испытаний по подпунктам с 201.12.1.102 по 201.12.1.109 при скоростях, указанных в таблице 201.102, включая пояснения для ОПЕРАТОРА по представленным данным;
- * максимальный объем жидкости, который может быть введен в УСЛОВИЯХ ЕДИНИЧНОГО НАРУШЕНИЯ;
- список разрешенных к применению ИНФУЗИОННЫХ МАГИСТРАЛЕЙ с их установленными погрешностями в соответствии с методами испытаний, указанными в 201.12.1;
- если переход между разрешенными к применению ИНФУЗИОННЫМИ МАГИСТРАЛЯМИ может привести к недопустимому РИСКУ при отсутствии изменений в ME ИЗДЕЛИИ, должно быть приведено указание о порядке действий для обеспечения заявленной погрешности;
- диапазон скоростей инфузии и условия (например, температура), при которых обеспечивается заявленная допустимая погрешность;
- список ПРИНАДЛЕЖНОСТЕЙ (например, датчик капель) для ME ИЗДЕЛИЯ, которые необходимы для обеспечения безопасного использования и допустимой погрешности, определенной в соответствии с методами испытаний по 201.12.1;
- если применимо, описание работы ME ИЗДЕЛИЯ при потере связи с пультом дистанционного управления.
Примечание - Если ME ИЗДЕЛИЕ является частью ME СИСТЕМЫ, то описание может быть частью инструкции по эксплуатации ME СИСТЕМЫ;
- * для ПРОФИЛИРУЕМЫХ НАСОСОВ - запрограммированная последовательность скоростей введения.
201.7.9.3 Техническое описание
Дополнительный подпункт:
201.7.9.3.101 Дополнительное техническое описание
Техническое описание должно включать следующую информацию:
- * чувствительность датчика воздуха, если он входит в комплектацию в целях обеспечения соответствия требованиям, для одиночного пузырька воздуха в указанном диапазоне номинальных скоростей. Для ИНФУЗИОННЫХ НАСОСОВ ДЛЯ АМБУЛАТОРНОГО ИСПОЛЬЗОВАНИЯ, применяемых для введения инсулина, чувствительность детектора воздуха может быть выражена, например, в терминах максимальной недостаточной инфузии до срабатывания датчика воздуха (или аналогичного устройства) при включенной функции обнаружения воздуха;
- если применимо, процесс калибровки ME ИЗДЕЛИЯ;
- описание любой системы зарядки аккумуляторных батарей;
- функциональное описание средств, предназначенных для защиты ПАЦИЕНТА от избыточной инфузии и, если применимо, от недостаточной инфузии в результате сбоя ME ИЗДЕЛИЯ или частичного или полного перекрытия ИНФУЗИОННОЙ МАГИСТРАЛИ;
- ИЗГОТОВИТЕЛЬ должен приводить сведения, позволяющие идентифицировать ИНФУЗИОННЫЕ МАГИСТРАЛИ, использованные в ходе всех испытаний по методикам настоящего стандарта;
- если в ME ИЗДЕЛИИ скорость не может быть запрограммирована и отображена в единицах объема за единицу времени, то должна быть приведена формула для пересчета скорости в единицы объема за единицу времени.
Соответствие проверяют рассмотрением технического описания.
Применяют раздел 8 общего стандарта, за исключением следующего:
201.8.3 Классификация РАБОЧИХ ЧАСТЕЙ
Дополнительный подпункт:
201.8.3.101 Дополнительные требования к классификации РАБОЧИХ ЧАСТЕЙ
Тип РАБОЧИХ ЧАСТЕЙ ИНФУЗИОННЫХ НАСОСОВ должен классифицироваться как BF или CF.
Соответствие проверяют осмотром.
Применяют раздел 9 общего стандарта.
Применяют раздел 10 общего стандарта.
Применяют раздел 11 общего стандарта, за исключением следующего:
201.11.6.3 * Расплескивание жидкостей на ME ИЗДЕЛИЕ или ME СИСТЕМУ
Замена:
ME ИЗДЕЛИЕ и ME СИСТЕМА, требующие работы с жидкостями при НОРМАЛЬНОЙ ЭКСПЛУАТАЦИИ, должны иметь такую конструкцию, чтобы расплескивание жидкости на устройство не приводило к увлажнению таких частей, в результате повреждения которых могла бы возникнуть ОПАСНАЯ СИТУАЦИЯ.
Соответствие проверяют с помощью испытания согласно МЭК 60529 на стандарт защиты IPX1 или лучше:
после данных ПРОЦЕДУР проводят испытания на электрическую прочность изоляции и ТОК УТЕЧКИ, а также проверяют отсутствие признаков увлажнения неизолированных электрических частей или электрической изоляции частей, что могло бы привести к ОПАСНОЙ СИТУАЦИИ.
201.11.6.5 Проникание воды или твердых частиц в ME ИЗДЕЛИЯ и ME СИСТЕМЫ
Дополнение:
Крышки и другие части, например крышки батарейных отсеков, которые могут сниматься без применения специального ИНСТРУМЕНТА, должны быть установлены на места при проведении испытания. Там, где ИЗГОТОВИТЕЛЬ указывает чехлы в составе защиты от попадания жидкости, испытания ME ИЗДЕЛИЯ проводят в чехле. Если нет подобных указаний, то чехол снимают до начала испытаний.
ME ИЗДЕЛИЕ должно быть пригодным к условиям эксплуатации и стандарту защиты не хуже IPX2.
Замена указаний о соответствии:
После данных ПРОЦЕДУР проводят визуальный осмотр, по результатам которого в ME ИЗДЕЛИИ не должно быть выявлено никаких признаков замыкания изоляции (или электронных компонентов), что могло бы приводить к возникновению ОПАСНОЙ СИТУАЦИИ в НОРМАЛЬНОМ СОСТОЯНИИ или при УСЛОВИИ ЕДИНИЧНОГО НАРУШЕНИЯ, а затем проводят испытания на электрическую прочность изоляции и ТОК УТЕЧКИ.
Соответствие проверяют осмотром и с помощью испытаний согласно МЭК 60529. Необходимо убедиться, что сохранены ОСНОВНАЯ БЕЗОПАСНОСТЬ и ОСНОВНЫЕ ФУНКЦИОНАЛЬНЫЕ ХАРАКТЕРИСТИКИ.
201.11.8 Прерывание питания/ПИТАЮЩЕЙ СЕТИ ME ИЗДЕЛИЯ
Дополнение:
Дополнительные подпункты:
201.11.8.101 ТЕХНИЧЕСКОЕ УСЛОВИЕ ВОЗНИКНОВЕНИЯ СИГНАЛА ОПАСНОСТИ при прерывании питания/ПИТАЮЩЕЙ СЕТИ
201.11.8.101.1 ТЕХНИЧЕСКОЕ УСЛОВИЕ ВОЗНИКНОВЕНИЯ СИГНАЛА ОПАСНОСТИ при отключении от ПИТАЮЩЕЙ СЕТИ
ME ИЗДЕЛИЕ, работающее только от ПИТАЮЩЕЙ СЕТИ, в условиях возникновения при эксплуатации случайного отключения или сбоя ПИТАЮЩЕЙ СЕТИ должно выдавать СИГНАЛ ОПАСНОСТИ НИЗКОГО ПРИОРИТЕТА. В этой ситуации СИГНАЛ ОПАСНОСТИ должен работать в течение не менее 3 мин или до восстановления питания, если оно происходит быстрее.
Примечание - ME ИЗДЕЛИЕ может остановить инфузию.
Соответствие проверяют осмотром и функциональными испытаниями.
201.11.8.101.2 ТЕХНИЧЕСКОЕ УСЛОВИЕ ВОЗНИКНОВЕНИЯ СИГНАЛА ОПАСНОСТИ при истощении ВНУТРЕННЕГО ИСТОЧНИКА ПИТАНИЯ
ME ИЗДЕЛИЕ, использующее ВНУТРЕННИЙ ИСТОЧНИК ПИТАНИЯ в качестве основного или резервного источника питания, должно выдавать СИГНАЛ ОПАСНОСТИ НИЗКОГО ПРИОРИТЕТА не менее чем за 30 мин до прекращения работы вследствие разрядки батареи.
Требование наличия визуальной индикации СИГНАЛА ОПАСНОСТИ не распространяется на ИНФУЗИОННЫЙ НАСОС ДЛЯ АМБУЛАТОРНОГО ИСПОЛЬЗОВАНИЯ, например с инсулином.
Соответствие проверяют осмотром и функциональными испытаниями ME ИЗДЕЛИЯ с новой полностью заряженной батареей, работающего на СРЕДНЕЙ СКОРОСТИ.
Если одновременно происходит прекращение питания от ПИТАЮЩЕЙ СЕТИ и ВНУТРЕННЕГО ИСТОЧНИКА ПИТАНИЯ, то ME ИЗДЕЛИЕ должно выдавать СИГНАЛ ОПАСНОСТИ ВЫСОКОГО ПРИОРИТЕТА и останавливать работу. Сигнал тревоги должен работать не менее 3 мин.
Данное требование не распространяется на ИНФУЗИОННЫЙ НАСОС ДЛЯ АМБУЛАТОРНОГО ИСПОЛЬЗОВАНИЯ, например с инсулином.
Соответствие проверяют осмотром и функциональными испытаниями.
Применяют раздел 12 общего стандарта, за исключением следующего:
201.12.1 Точность органов управления и измерительных приборов
Дополнительные подпункты:
201.12.1.101 *Общее правило
ME ИЗДЕЛИЕ должно работать с погрешностью, заявленной ИЗГОТОВИТЕЛЕМ или меньшей, в течение всего рекомендованного ИНТЕРВАЛА ЗАМЕНЫ ИНФУЗИОННОЙ МАГИСТРАЛИ.
Соответствие погрешности работы ME ИЗДЕЛИЯ заявленному типу и данным ИЗГОТОВИТЕЛЯ проверяют с использованием методов испытаний, приведенных в подпунктах с 201.12.1.102 по 201.12.1.108. Если ME ИЗДЕЛИЕ не попадает ни в одну из описанных категорий, то используют методы испытаний, приведенные в подпунктах с 201.12.1.102 по 201.12.1.108.
Определения терминов и величин, приведенных в подпунктах с 201.12.1.102 по 201.12.1.108:
|
номинальная скорость r |
заданная ОПЕРАТОРОМ скорость введения; |
|
объемная скорость потока |
измеренный на выходе объем жидкости в единицу времени; |
|
БОЛЮС |
дискретное количество жидкости, вводимое за короткий промежуток времени во время инфузии (не во время заполнения магистрали); |
|
интервал выборки S |
время между последовательными измерениями массы или числа капель; |
|
тестовый период T |
полное время проведения испытания от начала до конца; |
|
аналитический период Т0 |
определяется как первые 2 ч периода испытаний; |
|
аналитический период T1 |
определяется как 2-й час периода испытаний; |
|
аналитический период T2 |
определяется как последний час периода испытаний; |
|
аналитический период Tx |
аналитический период, определенный как T0, T1 или T2; |
|
W |
полная масса; |
|
Wi |
i-й замер массы в течение определенного аналитического периода; |
|
Wj |
замер массы в конце определенного аналитического периода или периода испытаний; |
|
Wk |
замер массы в начале определенного аналитического периода; |
|
А |
общая средняя относительная погрешность объемной скорости потока, измеренная в течение аналитического периода T1; |
|
В |
общая средняя относительная погрешность объемной скорости потока, измеренная в течение аналитического периода T2; |
|
Р |
длительность окна наблюдения; |
|
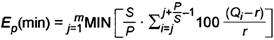
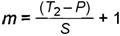
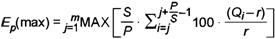
Eр(mах) |
максимальная измеренная погрешность объемной скорости потока в течение определенной длительности окна наблюдения; |
|
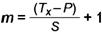
Ep(min) |
минимальная измеренная погрешность объемной скорости потока в течение определенной длительности окна наблюдения; |
|
последовательность впрысков |
последовательность ввода БОЛЮСОВ, которая может происходить с регулярными или нерегулярными интервалами; |
|
цикл впрыскивания l |
минимальное время между последовательными впрысками или сериями впрысков (от начала 1-й серии впрысков до начала 2-й серии); |
|
плотность d |
плотность воды (0,998 г/мл при температуре 20 °С). |
201.12.1.102 * Испытания с целью определения погрешности ВОЛЮМЕТРИЧЕСКИХ ИНФУЗИОННЫХ КОНТРОЛЛЕРОВ, ВОЛЮМЕТРИЧЕСКИХ ИНФУЗИОННЫХ НАСОСОВ и ШПРИЦЕВЫХ ИЛИ КОНТЕЙНЕРНЫХ НАСОСОВ
Используют испытательные стенды, показанные на рисунках 201.104а и 201.104b. Испытания проводят с использованием растворов, соответствующих классу III по ИСО 3696:1987, и с установкой не использованной ранее ИНФУЗИОННОЙ МАГИСТРАЛИ. ME ИЗДЕЛИЕ устанавливают на испытательный стенд в соответствии с инструкцией по эксплуатации, предоставленной ИЗГОТОВИТЕЛЕМ.
Если в рабочем цикле ME ИЗДЕЛИЯ есть период с неактивным (отсутствующим) потоком, то этот период также включают в испытания.
Устанавливают требуемую номинальную скорость согласно таблице 201.102. Устанавливают интервал выборки S. Начинают тестовый период одновременно с запуском ME ИЗДЕЛИЯ.
Определяют период испытаний Т. Этот период испытаний должен равняться рекомендованному ИНТЕРВАЛУ ЗАМЕНЫ ИНФУЗИОННОЙ МАГИСТРАЛИ, если в контейнере достаточно жидкости. В противном случае период испытаний рассчитывают, разделив полный объем жидкости на номинальную скорость ее введения. Обеспечивают работу ME ИЗДЕЛИЯ в течение тестового периода Т.
Для ВОЛЮМЕТРИЧЕСКИХ ИНФУЗИОННЫХ НАСОСОВ и ШПРИЦЕВЫХ ИЛИ КОНТЕЙНЕРНЫХ НАСОСОВ повторяют испытания на СРЕДНЕЙ СКОРОСТИ в течение 120 мин при противодавлениях ± 13,33 кПа (± 100 мм рт. ст.).
Для ВОЛЮМЕТРИЧЕСКИХ ИНФУЗИОННЫХ КОНТРОЛЛЕРОВ повторяют испытания на СРЕДНЕЙ СКОРОСТИ в течение 120 мин при противодавлении минус 13,33 кПа (минус 100 мм рт. ст.).
Если применимо, ИЗГОТОВИТЕЛЬ должен предоставить информацию о максимальном отклонении результатов в нормальных условиях работы и в условиях противодавления.
Для ВОЛЮМЕТРИЧЕСКИХ ИНФУЗИОННЫХ НАСОСОВ повторяют испытания в течение 120 мин с установкой контейнера ниже насоса на расстоянии 0,5 м с использованием той же ИНФУЗИОННОЙ МАГИСТРАЛИ.
Если применимо, ИЗГОТОВИТЕЛЬ должен предоставить информацию о максимальном отклонении результатов в нормальных условиях работы и при условии установки контейнера ниже насоса.
Если ME ИЗДЕЛИЕ обладает функцией введения БОЛЮСА, то проводят испытания, указанные в 201.12.1.106.
Если испытания по 201.12.1.102 не могут быть проведены из-за особенностей конструкции ME ИЗДЕЛИЯ, проводят наиболее подходящие испытания из подпунктов с 201.12.1.103 по 201.12.1.108.
По формуле (1) рассчитывают фактическую объемную скорость потока Qi для каждого интервала выборки за аналитический период Т0, мин (см. рисунок 201.103).
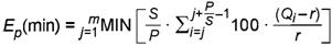
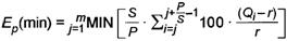
По формулам (3) и (4) рассчитывают Eр(mах) и Eр(min) для окон наблюдения длительностью 2, 5, 11, 19 и 31 мин за аналитический период T1, мин, в течение 2-го часа периода испытаний.
Также по формулам (3) и (4), за исключением ШПРИЦЕВЫХ ИЛИ КОНТЕЙНЕРНЫХ НАСОСОВ, рассчитывают Eр(mах) и Ep(min) для окон наблюдения длительностью 2, 5, 11, 19 и 31 мин за аналитический период Т2, мин, в течение последнего часа периода испытаний.
Строят приведенные ниже графики, используя линейные шкалы в указанных далее масштабах (см. обоснование), где r - это установленная номинальная скорость инфузии (см. рисунки АА.3.1 и АА.3.3).
График запуска строят с учетом следующего масштаба:
- максимум шкалы объемной скорости потока = 2r;
- минимум шкалы объемной скорости потока = - 0,2r;
- цена деления шкалы объемной скорости потока = 0,2r;
- шкала времени от 0 до 120 мин (десятиминутные интервалы).
График погрешностей объемных скоростей потока строят с учетом следующего масштаба:
- максимум шкалы объемной скорости потока = 15 %;
- минимум шкалы объемной скорости потока = - 15 %;
- цена деления шкалы объемной скорости потока = 5 %;
- шкала времени от 0 до 31 мин (одноминутные интервалы).
Строят график объемной скорости потока Qi, мл/ч, в зависимости от времени Т0, мин, за первые 2 ч периода испытаний (см. пример на рисунке 201.105). Номинальную скорость отмечают пунктирной линией. Объемную скорость потока Qi отмечают сплошной линией.
Строят график относительных отклонений Eр(mах) и Ep(min) и рассчитанной по формуле (5) общей средней относительной погрешности А в зависимости от длительности Р, мин, окна наблюдения, измеренных за аналитический период T1, мин, в течение 2-го часа периода испытания. Пример графика приведен на рисунке 201.106.
Относительные отклонения Eр(mах) и Ep(min) и общую среднюю относительную погрешность А отмечают сплошной линией. Нулевую погрешность отмечают пунктирной линией.
Строят график относительных отклонений Eр(mах) и Ep(min) и рассчитанной по формуле (6) общей средней относительной погрешности В в зависимости от длительности Р, мин, окна наблюдения, измеренных за аналитический период Т2, мин, в течение последнего часа периода испытания. Пример графика приведен на рисунке 201.107.
Относительные отклонения Eр(mах) и Ep(min) и общую среднюю относительную погрешность В отмечают сплошной линией. Нулевую погрешность отмечают пунктирной линией. Этот график не применим для ШПРИЦЕВЫХ или КОНТЕЙНЕРНЫХ НАСОСОВ.
Объемную скорость потока Qi, мл/ч, рассчитывают, используя следующее выражение:
,
(1)
где i = 1, 2.. T0/S;
Wi - i-й замер массы образца за аналитический период Т0, г (с поправкой на потери влаги при испарении);
T0 - аналитический период, мин;
S - интервал выборки, мин;
d - плотность воды (0,998 г/мл при температуре плюс 20 °С).
Eр(mах) и Ep(min) рассчитывают, используя следующий алгоритм.
Для окон наблюдения длительностью Р, равной 2, 5, 11, 19 и 31 мин, в течение аналитического периода Тх существует максимум m окон наблюдения, таких, что:
,
(2)
где m - максимальное число окон наблюдения;
Р - длительность окна наблюдения;
S - интервал выборки, мин;
Tx - аналитический период, мин.
Максимальное Eр(mах) и минимальное Ep(min) значения относительных отклонений, %, объемной скорости потока внутри окна наблюдения длительностью Р, мин, рассчитывают по формулам:
;
(3)
;
(4)
где
, мл/ч;
Wi - i-й замер массы за аналитический период Тх, г (с поправкой на потери влаги при испарении);
r - номинальная скорость, мл/ч;
S - интервал выборки, мин;
Р - длительность окна наблюдения, мин;
d - плотность воды (0,998 г/мл при температуре плюс 20 °С).
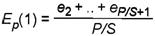
Общую среднюю относительную погрешность объемной скорости потока А, %, измеряемую за аналитический период T1 (2-й час периода испытаний), рассчитывают по формуле
,
(5)
где
, мл/ч;
r - номинальная скорость, мл/ч;
Wj - замер массы в конце аналитического периода T1, г (j = 240);
Wk - замер массы в начале аналитического периода T1, г (k = 120);
T1 - аналитический период, мин;
d - плотность воды (0,998 г/мл при температуре плюс 20 °С).
Общую среднюю относительную погрешность объемной скорости потока В, %, измеряемую за аналитический период Т2 (последний час периода испытаний), рассчитывают по формуле
,
(6)
где
, мл/ч;
r - номинальная скорость, мл/ч;
Wj - замер массы в конце аналитического периода Т2, г (с поправкой на потери влаги при испарении);
Wk - замер массы в начале аналитического периода Т2, г (с поправкой на потери влаги при испарении);
T2 - аналитический период, мин;
d - плотность воды (0,998 г/мл при температуре плюс 20 °С).

Рисунок 201.103 - Аналитические периоды

Рисунок 201.104а - Испытательный стенд для ВОЛЮМЕТРИЧЕСКИХ ИНФУЗИОННЫХ НАСОСОВ и для ВОЛЮМЕТРИЧЕСКИХ ИНФУЗИОННЫХ КОНТРОЛЛЕРОВ

Рисунок 201.104b - Испытательный стенд для ШПРИЦЕВЫХ ИЛИ КОНТЕЙНЕРНЫХ НАСОСОВ
Рисунок 201.104 - Испытательное оборудование для различных типов ИНФУЗИОННЫХ НАСОСОВ
Примечание - Для насосов, работающих на МИНИМАЛЬНОЙ СКОРОСТИ, необходимы весы с точностью до пяти десятичных знаков.
Высоту h1 установки пакета или контейнера выбирают в соответствии с инструкцией ИЗГОТОВИТЕЛЯ по применению. Иглу (18G, 1,2 мм, ИСО 7864) устанавливают ниже уровня жидкости.
Среднюю осевую линию насосной камеры располагают на уровне кончика иглы (18G, 1,2 мм, ИСО 7864).
Внутренний диаметр и длину иглы (ИСО 7854) выбирают таким образом, чтобы обеспечить разницу давлений в (0,20 ± 0,10) мм рт. ст., исходя из формулы Хагена-Пуазейля (используя для расчетов номинальную скорость 25 мл/ч и вязкость 0,01 пуаза).

Рисунок 201.105 - График запуска, построенный на основе данных, собранных в течение первых 2 ч периода испытаний

Рисунок 201.106 - График погрешностей объемных скоростей потока, построенный на основе данных, собранных в течение 2-го часа периода испытаний

Рисунок 201.107 - График погрешностей объемных скоростей потока, построенный на основе данных, собранных в течение последнего часа ИНТЕРВАЛА ЗАМЕНЫ ИНФУЗИОННОЙ МАГИСТРАЛИ
201.12.1.103 * Испытания с целью определения погрешности ИНФУЗИОННЫХ НАСОСОВ ДЛЯ АМБУЛАТОРНОГО ИСПОЛЬЗОВАНИЯ типа 1
Используют испытательный стенд, показанный на рисунке 201.104b. Испытания проводят с использованием растворов, соответствующих классу III по ИСО 3696:1987, или растворов, которые дадут при испытаниях аналогичные результаты, и с установкой не использованной ранее ИНФУЗИОННОЙ МАГИСТРАЛИ. ME ИЗДЕЛИЕ устанавливают в соответствии с инструкциями ИЗГОТОВИТЕЛЯ. Заправляют ИНФУЗИОННУЮ МАГИСТРАЛЬ и устанавливают СРЕДНЮЮ СКОРОСТЬ на ME ИЗДЕЛИИ. Запускают ME ИЗДЕЛИЕ. Устанавливают интервал выборки S, равный 15 мин. Запускают ME ИЗДЕЛИЕ и позволяют ему работать в течение времени стабилизации T1, мин, необходимого для опустошения половины объема контейнера, или в течение 24 ч в зависимости от того, какой период является более коротким. Испытания продолжают без остановки ME ИЗДЕЛИЯ в течение следующих 25 ч или до опустошения контейнера. Замеряют массу инфузата прокаченную за каждый интервал выборки. Испытания повторяют на МИНИМАЛЬНОЙ СКОРОСТИ.
Вычисляют среднее значение объемной скорости потока по формуле (7) 1) для каждого из двух последовательных замеров за период стабилизации T1.
──────────────────────────────
1) В тексте МЭК 60601-2-24:2012 нарушена нумерация формул. Данную ссылку на формулу следует относить к формуле (13).
──────────────────────────────
По формулам (9) 2) и (10) 3) рассчитывают Еp(mах) и Ep(min) для окон наблюдения длительностью 15, 60, 150, 330, 570 и 930 мин за аналитический период Т2, мин, от окончания периода стабилизации и до конца испытания.
──────────────────────────────
2) В тексте МЭК 60601-2-24:2012 нарушена нумерация формул. Данную ссылку на формулу следует относить к формуле (15).
3) В тексте МЭК 60601-2-24:2012 нарушена нумерация формул. Данную ссылку на формулу следует относить к формуле (16).
──────────────────────────────
Строят следующие графики:
a) объемная скорость потока Qi, мл/ч, в зависимости от времени, мин, за период стабилизации T1 с шагом в 30 мин. Номинальную скорость r, мл/ч, отмечают пунктирной линией. Объемную скорость потока Qi отмечают сплошной линией. Пример графика приведен на рисунке 201.108;
b) относительные отклонения Eр(mах) и Ep(min) и общая средняя относительная погрешность А, рассчитанная по формуле (11) 4), в зависимости от длительности окон наблюдения в течение аналитического периода T2. Нулевую погрешность отмечают пунктирной линией. Eр(mах) и Ep(min) и общую среднюю относительную погрешность А отмечают сплошными линиями. Пример графика приведен на рисунке 201.109.
──────────────────────────────
4) В тексте МЭК 60601-2-24:2012 нарушена нумерация формул. Данную ссылку на формулу следует относить к формуле (17).
──────────────────────────────

Рисунок 201.108 - График запуска за период стабилизации

Рисунок 201.109 - График погрешностей объемных скоростей потока, построенный на основе данных за конец периода стабилизации

Рисунок 201.110 - График запуска за период стабилизации для квазинепрерывного выходного потока

Рисунок 201.111 - График погрешностей объемных скоростей потока, построенный на основе данных в конце периода стабилизации для квазинепрерывного выходного потока
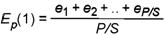
Объемную скорость потока Qi, мл/ч, рассчитывают по формуле:
,
(13) 1)
──────────────────────────────
1) Здесь и далее в тексте МЭК 60601-2-24:2012 нарушена нумерация формул.
──────────────────────────────
где i = 1, 2.. T1/2S;
Wi - i-й замер массы образца за период стабилизации Т1, мг (с поправкой на потери влаги при испарении);
T1 - период стабилизации, мин (≈ 24 ч);
S - интервал выборки, мин (15 мин);
d - плотность раствора для испытаний при температуре плюс 20 °С, г/мл.
Eр(mах) и Ep(min) рассчитывают, используя следующий алгоритм.
Для окон наблюдения длительностью Р, равной 15, 60, 150, 330, 570 и 930 мин, в течение аналитического периода Т2 существует максимум m окон наблюдения, таких, что:
,
(14)
где m - максимальное число окон наблюдения;
Р - длительность окна наблюдения, мин;
T2 - аналитический период, мин;
S - интервал выборки, мин (15 мин).
Максимальное Eр(mах) и минимальное Ep(min) значения относительных отклонений, %, объемной скорости потока внутри окна наблюдения длительностью Р (мин) рассчитывают по формулам:
,
(15)
,
(16)
где
, мл/ч;
Wi - i-й замер массы за аналитический период Т2, мг (с поправкой на потери влаги при испарении);
r - номинальная скорость, мл/ч;
S - интервал выборки, мин;
Р - длительность окна наблюдения, мин;
d - плотность жидкости для испытаний при температуре испытаний, г/мл.
Общую среднюю относительную погрешность объемной скорости потока А, %, измеряемую за аналитический период Т2, рассчитывают по формуле:
,
(17)
где
, мл/ч;
r - номинальная скорость, мл/ч;
Wj - замер массы в конце аналитического периода T2, мг;
Wk - замер массы в начале аналитического периода T2, мг;
T2 - аналитический период, мин;
d - плотность жидкости для испытаний при температуре испытаний, г/мл.
201.12.1.104 * Испытания с целью определения погрешности ИНФУЗИОННЫХ НАСОСОВ ДЛЯ АМБУЛАТОРНОГО ИСПОЛЬЗОВАНИЯ типа 2
Используют испытательный стенд, показанный на рисунке 201.104b. Испытания проводят с использованием растворов, соответствующих классу III по ИСО 3696:1987, или растворов, которые дадут при испытаниях аналогичные результаты, и с установкой не использованной ранее ИНФУЗИОННОЙ МАГИСТРАЛИ. ME ИЗДЕЛИЕ устанавливают в соответствии с инструкциями ИЗГОТОВИТЕЛЯ. Заправляют ИНФУЗИОННУЮ МАГИСТРАЛЬ.
Определяют последовательность циклов впрыскивания на выходе. Определяют период циклов впрыскивания. Измеряют время, мин, затраченное на 20 последовательных циклов впрыскивания на СРЕДНЕЙ СКОРОСТИ, и убеждаются, что в контейнере после периода стабилизации осталось достаточно жидкости для последующих 100 циклов впрыскивания.
Вычисляют среднюю продолжительность цикла впрыскивания l, мин.
Определяют интервал выборки S, соответствующий продолжительности цикла впрыскивания l, мин, на СРЕДНЕЙ СКОРОСТИ.
Если продолжительность цикла впрыскивания l более 0,5 мин, тогда:
S=kl,
(18)
где S - интервал выборки;
l - продолжительность цикла впрыскивания;
k - целочисленная константа, равная 1.
Если продолжительность цикла впрыскивания l менее 0,5 мин, тогда:
S=kl,
(19)
где S - интервал выборки;
l - продолжительность цикла впрыскивания;
k - минимальная целочисленная константа, приводящая kl к значению, приближенно равному 0,5 мин.
Измерительное оборудование синхронизируют по времени для измерения массы инфузата, прокаченного за k последовательных циклов впрыскивания.
На ME ИЗДЕЛИИ устанавливают СРЕДНЮЮ СКОРОСТЬ.
Запускают ME ИЗДЕЛИЕ и позволяют ему работать в течение времени стабилизации T1, мин, необходимого на опустошение половины объема контейнера, или в течение 24 ч, в зависимости от того, какой период является более коротким. Испытания продолжают без остановки ME ИЗДЕЛИЯ в течение последующих 100 интервалов выборки.
Замеряют массу инфузата Wi, прокаченную за каждый интервал выборки.
Выбирают любое целое число n, мин, такое, что:
nS≈30,
(20)
где S - интервал выборки kl, мин;
n - целочисленная константа.
Для каждого из nS последовательных замеров за период стабилизации Т1 по формуле (21) вычисляют среднее значение объемной скорости потока.
По формулам (23) и (24) рассчитывают Eр(mах) и Ep(min) для окон наблюдения длительностью Р, равной S, 2S, 5S, 11S, 19S и 31S мин, за аналитический период Т2, мин, от окончания периода стабилизации и до конца испытания.
Строят график объемной скорости потока в зависимости от прошедшего времени в течение периода стабилизации T1, определенного как описано выше. Номинальную скорость отмечают на графике пунктирной линией. Пример графика приведен на рисунке 201.110.
Строят график относительных отклонений Eр(mах) и Ep(min) и общей средней относительной погрешности А, рассчитанной по формуле (25), в зависимости от длительности окон наблюдения в течение аналитического периода Т2. Нулевую погрешность отмечают пунктирной линией. Ер(mах) и Ep(min) и общую среднюю относительную погрешность А отмечают сплошными линиями. Пример графика приведен на рисунке 201.111.
Объемную скорость потока Qi, мл/ч, рассчитывают по формуле
,
(21)
где i = 1, 2.. T1/nS;
Wi - i-й замер массы образца за период стабилизации Т1, мг (с поправкой на потери влаги при испарении);
T1 - период стабилизации, мин (≈ 24 ч);
S - интервал выборки, мин (k/мин);
n - целочисленная константа (nS ≈ 30 мин);
d - плотность раствора для испытаний при температуре испытаний, г/мл.
Eр(mах) и Ep(min) рассчитывают, используя следующий алгоритм.
Для окон наблюдения длительностью Р, равной S, 2S, 5S, 11S, 19Sn 31S мин, в течение аналитического периода Т2 существует максимум m последовательных выборок, таких, что:
,
(22)
где m - максимальное число окон наблюдения;
Р - длительность окна наблюдения, мин;
T2 - аналитический период, мин;
S - интервал выборки, мин.
Максимальное Eр(mах) и минимальное Ep(min) значения относительных отклонений, %, объемной скорости потока внутри окна наблюдения длительностью Р, мин, рассчитывают по формулам:
,
(23)
,
(24)
где
, мл/ч;
Wi - i-й замер массы за аналитический период Т2, мг (с поправкой на потери влаги при испарении);
r - номинальная скорость, мл/ч;
S - интервал выборки, мин;
Р - длительность окна наблюдения, мин;
d - плотность жидкости для испытаний при температуре испытаний, г/мл.
Общую среднюю относительную погрешность объемной скорости потока А, %, измеряемую за аналитический период Т2, рассчитывают по формуле
,
(25)
где
, мл/ч;
r - номинальная скорость, мл/ч;
W - полная масса, мг (с поправкой на потери влаги при испарении);
Wj - замер массы в конце аналитического периода Т2, мг;
Wk - замер массы в начале аналитического периода Т2, мг;
T2 - аналитический период, мин;
d - плотность жидкости для испытаний при температуре испытаний, г/мл.
201.12.1.105 * Испытания с целью определения погрешности ИНФУЗИОННЫХ НАСОСОВ типа 3 Используют испытательные стенды, показанные на рисунке 201.104а или 201.104b (в зависимости от требований). Испытания проводят с использованием растворов, соответствующих классу III по ИСО 3696:1987, или растворов, которые дадут при испытаниях аналогичные результаты, и с установкой не использованной ранее ИНФУЗИОННОЙ МАГИСТРАЛИ. ME ИЗДЕЛИЕ устанавливают в соответствии с инструкциями ИЗГОТОВИТЕЛЯ. На ME ИЗДЕЛИИ устанавливают подачу минимального БОЛЮСА. ME ИЗДЕЛИЕ запускают и взвешивают 25 последовательно выполненных БОЛЮСОВ, введенных или вручную, или автоматически.
Вычисляют среднее значение объема полученных БОЛЮСОВ и относительное отклонение от заданного номинального значения величины БОЛЮСА. Выбирают БОЛЮСЫ с максимальным положительным и максимальным отрицательным отклонением от заданного значения и выражают эти отклонения в процентах от заданного значения. Испытания повторяют с настроенной на ME ИЗДЕЛИИ максимальной подачей БОЛЮСА.
201.12.1.106 * Испытания с целью определения погрешности ИНФУЗИОННЫХ НАСОСОВ типа 4 ИНФУЗИОННЫЙ НАСОС типа 4 должны испытывать согласно 201.12.1.103, 201.12.1.104 и 201.12.1.105 в зависимости от применимости требований.
Примечание - Поправочные коэффициенты могут быть применимы к ИНФУЗИОННЫМ НАСОСАМ ДЛЯ АМБУЛАТОРНОГО ИСПОЛЬЗОВАНИЯ типа 4 в том случае, если в ходе введения БОЛЮСА имеет место постоянная или квазипостоянная объемная скорость потока. Эти коэффициенты приводят в ЭКСПЛУАТАЦИОННЫХ ДОКУМЕНТАХ.
201.12.1.107 * Испытания с целью определения погрешности ИНФУЗИОННЫХ НАСОСОВ типа 5
ИНФУЗИОННЫЙ НАСОС типа 5 должны испытывать согласно подпунктам с 201.12.1.102 по 201.12.1.105 в зависимости от применимости требований.
|
ME ИЗДЕЛИЕ |
Номинальная скорость |
БОЛЮС |
Испытание | |||
|
Минимум |
Средняя |
Минимум |
Максимум |
Стенд (рисунок) |
Подпункт | |
|
ВОЛЮМЕТРИЧЕСКИЙ ИНФУЗИОННЫЙ КОНТРОЛЛЕР |
Да |
Да |
Нет |
Нет |
201.104а 201.104b |
201.12.1.102 |
|
ВОЛЮМЕТРИЧЕСКИЙ ИНФУЗИОННЫЙ НАСОС |
Да |
Да |
Да |
Да |
201.104а 201.104b |
201.12.1.102 (201.12.1.105) |
|
ШПРИЦЕВОЙ ИЛИ КОНТЕЙНЕРНЫЙ НАСОС |
Да |
Да |
Да |
Да |
201.104b |
201.12.1.102 (201.12.1.105) |
|
ИНФУЗИОННЫЙ НАСОС ДЛЯ АМБУЛАТОРНОГО ИСПОЛЬЗОВАНИЯ тип 1 |
Да |
Да |
Нет |
Нет |
201.104b |
201.12.1.103 |
|
ИНФУЗИОННЫЙ НАСОС ДЛЯ АМБУЛАТОРНОГО ИСПОЛЬЗОВАНИЯ тип 2 |
Нет |
Да |
Нет |
Нет |
201.104b |
201.12.1.104 |
|
ВОЛЮМЕТРИЧЕСКИЙ, ИНФУЗИОННЫЙ НАСОС, или ШПРИЦЕВОЙ, или КОНТЕЙНЕРНЫЙ НАСОС, или ИНФУЗИОННЫЙ НАСОС ДЛЯ АМБУЛАТОРНОГО ИСПОЛЬЗОВАНИЯ тип 3 |
Нет |
Нет |
Да |
Да |
201.104a 201.104b |
201.12.1.105 |
|
ВОЛЮМЕТРИЧЕСКИЙ, ИНФУЗИОННЫЙ НАСОС, или ШПРИЦЕВОЙ, или КОНТЕЙНЕРНЫЙ НАСОС, или ИНФУЗИОННЫЙ НАСОС ДЛЯ АМБУЛАТОРНОГО ИСПОЛЬЗОВАНИЯ тип 4 |
Да |
Да |
Да |
Да |
201.104а 201.104b |
201.12.1.103 и 201.12.1.105 |
|
ВОЛЮМЕТРИЧЕСКИЙ, ИНФУЗИОННЫЙ НАСОС, или ШПРИЦЕВОЙ, или КОНТЕЙНЕРНЫЙ НАСОС, или ИНФУЗИОННЫЙ НАСОС ДЛЯ АМБУЛАТОРНОГО ИСПОЛЬЗОВАНИЯ тип 5 |
Да |
Да |
Да |
Да |
201.104а 201.104b |
201.12.1.103 и 201.12.1.105 |
201.12.4.1 Намеренное превышение безопасных предельных значений
Дополнение:
Примером может служить контроль заполнения/опорожнения ME ИЗДЕЛИЯ.
201.12.4.4 Отклонение выходных характеристик от установленных значений
Дополнительные подпункты:
201.12.4.4.101 Защита от избыточной инфузии
В ME ИЗДЕЛИИ должны быть предусмотрены средства защиты от избыточной инфузии в УСЛОВИЯХ ЕДИНИЧНОГО НАРУШЕНИЯ. В случае наступления избыточной инфузии должен срабатывать СИГНАЛ ОПАСНОСТИ согласно таблице 208.101, a ME ИЗДЕЛИЕ должно или остановить инфузию, или уменьшить скорость инфузии до СКОРОСТИ В РЕЖИМЕ ОТКРЫТОЙ ВЕНЫ или менее.
УСЛОВИЯ ЕДИНИЧНОГО НАРУШЕНИЯ, которые могут возникнуть в указанных выше системах защиты, должны быть очевидны для ОПЕРАТОРА на протяжении ИНТЕРВАЛА ЗАМЕНЫ ИНФУЗИОННОЙ МАГИСТРАЛИ.
Соответствие проверяют осмотром и функциональными испытаниями.
201.12.4.4.102 * Защита от избыточной инфузии в условиях СВОБОДНОГО ПОТОКА
В ME ИЗДЕЛИИ должны быть предусмотрены средства защиты от избыточной инфузии в условиях СВОБОДНОГО ПОТОКА. Это требование должны выполнять с момента установки ИНФУЗИОННОЙ МАГИСТРАЛИ в ME ИЗДЕЛИЕ в соответствии с инструкциями ИЗГОТОВИТЕЛЯ.
УСЛОВИЯ ЕДИНИЧНОГО НАРУШЕНИЯ, которые могут возникнуть в указанных выше системах защиты, должны быть очевидны для ОПЕРАТОРА на протяжении ИНТЕРВАЛА ЗАМЕНЫ ИНФУЗИОННОЙ МАГИСТРАЛИ.
Дополнительные требования указаны в 201.15.102 и 201.15.103.
Соответствие проверяют осмотром и функциональными испытаниями, если это применимо. Например, функциональное испытание может заключаться в следующем: быстро опускают емкость для сбора жидкости на 50 см ниже, дожидаются стабилизации объемной скорости потока и проверяют факт возникновения СВОБОДНОГО ПОТОКА.
201.12.4.4.103 МАКСИМАЛЬНОЕ ДАВЛЕНИЕ ИНФУЗИИ
ME ИЗДЕЛИЕ не должно позволять достигать МАКСИМАЛЬНОГО ДАВЛЕНИЯ ИНФУЗИИ, способного вызвать разрыв или течь в ИНФУЗИОННОЙ МАГИСТРАЛИ.
Соответствие проверяют осмотром и функциональными испытаниями.
201.12.4.4.104 Защита от введения НЕПРЕДНАМЕРЕННОГО БОЛЮСА и окклюзии
В ME ИЗДЕЛИИ должны быть предусмотрены средства защиты ПАЦИЕНТА от недостаточной инфузии в результате окклюзии.
Примечание - Приемлемый способ выполнения этого требования заключается в активации СИГНАЛА ОПАСНОСТИ ВЫСОКОГО ПРИОРИТЕТА при достижении ПОРОГА ДАВЛЕНИЯ ОККЛЮЗИИ и остановке инфузии.
В ME ИЗДЕЛИИ должны быть предусмотрены средства защиты ПАЦИЕНТА от введения НЕПРЕДНАМЕРЕННОГО БОЛЮСА после активации СИГНАЛА ОПАСНОСТИ окклюзии.
Соответствие проверяют следующим испытанием.
Данное испытание относится только к ИНФУЗИОННЫМ НАСОСАМ, ВОЛЮМЕТРИЧЕСКИМ ИНФУЗИОННЫМ НАСОСАМ, ИНФУЗИОННЫМ НАСОСАМ ДЛЯ АМБУЛАТОРНОГО ИСПОЛЬЗОВАНИЯ и ШПРИЦЕВЫМ или КОНТЕЙНЕРНЫМ НАСОСАМ.
Используют испытательное оборудование, показанное на рисунке 201.112. Испытания проводят с использованием растворов, соответствующих классу III по ИСО 3696:1987, или с помощью существующего лекарства для ИНФУЗИОННОГО НАСОСА, если препарат предусмотрен к использованию ИЗГОТОВИТЕЛЕМ. Испытания проводят при нормальных условиях [температура воздуха (20 ± 2) °С, относительная влажность воздуха (65 ± 5) %]. ME ИЗДЕЛИЕ подготавливают к НОРМАЛЬНОЙ ЭКСПЛУАТАЦИИ в соответствии с инструкциями ИЗГОТОВИТЕЛЯ. Заправляют ИНФУЗИОННУЮ МАГИСТРАЛЬ и трубку, присоединенную к датчику измерения давления.
Устанавливают СРЕДНЮЮ СКОРОСТЬ и минимальный ПОРОГ ДАВЛЕНИЯ ОККЛЮЗИИ. Конец ЛИНИИ ПАЦИЕНТА подсоединяют к крану. Кран открывают в емкость для сбора жидкости. ME ИЗДЕЛИЕ запускают и ждут, когда объемная скорость потока станет постоянной. Кран перекрывают и измеряют давление при срабатывании сигнала ПОРОГА ДАВЛЕНИЯ ОККЛЮЗИИ. Определяют время, прошедшее с момента перекрытия крана до срабатывания сигнала опасности окклюзии.
Если доступна функция автоматического уменьшения нежелательного болюса, ждут окончания ее срабатывания.
ИНФУЗИОННУЮ МАГИСТРАЛЬ проверяют на наличие повреждений или протечек. Опустошают емкость для сбора жидкости. Переключают кран и собирают в емкость объем НЕПРЕДНАМЕРЕННОГО БОЛЮСА, получившегося в результате окклюзии, до тех пор, пока давление в системе не снизится до атмосферного.
Если есть возможность настройки ПОРОГА ДАВЛЕНИЯ ОККЛЮЗИИ, испытание повторяют на максимальном пороге.
Если функция автоматического уменьшения нежелательного болюса может быть отключена, испытание повторяют с отключением данной функции.
Если действия ОПЕРАТОРА могут привести к ситуации, упомянутой в перечислении 11 из 201.7.9.2.101, испытание также должны осуществлять с помощью средств, предусмотренных в ME ИЗДЕЛИИ для освобождения накопленного НЕПРЕДНАМЕРЕННОГО БОЛЮСА. Это предусматривает осуществление описанного сброса перед измерением остаточного НЕПРЕДНАМЕРЕННОГО БОЛЮСА.
Необходимо проверить по объему или массе, что результат испытаний соответствует требованиям 201.12.4.4.101 и 201.12.4.4.102, а заявленные в ЭКСПЛУАТАЦИОННЫХ ДОКУМЕНТАХ значения соотносятся с требованиями перечислений 8 и 11 из 201.7.9.2.101.

Рисунок 201.112 - Испытательный стенд для определения ПОРОГА ДАВЛЕНИЯ ОККЛЮЗИИ и объемов БОЛЮСА
201.12.4.4.105 Обратное введение
Любое возникновение обратного потока не должно привести к недопустимому риску при НОРМАЛЬНОЙ ЭКСПЛУАТАЦИИ и в УСЛОВИЯХ ЕДИНИЧНОГО НАРУШЕНИЯ.
Соответствие проверяют рассмотрением ФАЙЛА МЕНЕДЖМЕНТА РИСКА.
201.12.4.4.106 ME ИЗДЕЛИЕ и установка датчика капель
Это испытание применимо только к ИНФУЗИОННЫМ НАСОСАМ с определенной ПРИНАДЛЕЖНОСТЬЮ (датчиком капель).
Безопасная работа ME ИЗДЕЛИЯ не должна подвергаться влиянию:
- неправильной установки или отключения датчика капель;
- работы ME ИЗДЕЛИЯ при установленной под наклоном или неправильно заполненной капельной камерой.
С учетом этих условий ME ИЗДЕЛИЕ также должно:
- не превышать требуемую погрешность введения или
- останавливать инфузию и выводить СИГНАЛ ОПАСНОСТИ согласно таблице 208.101.
Соответствие проверяют следующим функциональным испытанием.
Обеспечивают НОРМАЛЬНУЮ ЭКСПЛУАТАЦИЮ ME ИЗДЕЛИЯ согласно инструкциям ИЗГОТОВИТЕЛЯ. Задают любую номинальную скорость. Наклоняют капельную камеру от вертикали максимум на 20° в двух ортогональных плоскостях. Осмотром проверяют последствия неправильной установки, удаления или переполнения капельной камеры.
201.12.4.4.107 * Защита от введения воздуха
Это требование не относится к ИНФУЗИОННЫМ НАСОСАМ ДЛЯ АМБУЛАТОРНОГО ИСПОЛЬЗОВАНИЯ с подкожным доступом, НАСОСАМ ДЛЯ ЭНТЕРАЛЬНОГО ПИТАНИЯ и ШПРИЦЕВЫМ или КОНТЕЙНЕРНЫМ НАСОСАМ.
ME ИЗДЕЛИЕ должно обеспечивать защиту ПАЦИЕНТА от введения воздуха, которое может привести к недопустимому риску вплоть до воздушной эмболии.
Соответствие проверяют осмотром и функциональными испытаниями в соответствии с указаниями ИЗГОТОВИТЕЛЯ (см. первое перечисление в 201.7.9.3.101).
После инициирования СИГНАЛА ОПАСНОСТИ о наличии воздуха должна быть ограничена возможность продолжить введение жидкости одним действием.
Соответствие проверяют осмотром и функциональным испытанием.
УСЛОВИЯ ЕДИНИЧНОГО НАРУШЕНИЯ, которые могут возникнуть в указанных выше системах защиты, должны приводить к остановке введения жидкости и срабатыванию СИГНАЛА ОПАСНОСТИ согласно таблице 208.101 в течение меньшего времени, чем необходимо для введения на максимальной для насоса объемной скорости объема в ИНФУЗИОННОЙ МАГИСТРАЛИ между датчиком воздуха и подсоединенной емкостью для сбора жидкости.
201.12.4.4.108 ИНФУЗИОННЫЕ МАГИСТРАЛИ - эксплуатационные характеристики
Если ИЗГОТОВИТЕЛЬ разрешает использование различных ИНФУЗИОННЫХ МАГИСТРАЛЕЙ с разными эксплуатационными характеристиками, то с целью предотвращения некорректной инфузии ME ИЗДЕЛИЕ не должно начинать инфузию до тех пор, пока:
- тип ИНФУЗИОННОЙ МАГИСТРАЛИ не определится автоматически или
- ОПЕРАТОР не идентифицирует тип ИНФУЗИОННОЙ МАГИСТРАЛИ вручную.
Соответствие проверяют осмотром и функциональным испытанием.
201.12.4.4.109 Защита от недостаточной инфузии
ИЗГОТОВИТЕЛЬ в ПРОЦЕССЕ МЕНЕДЖМЕНТА РИСКА должен устранить РИСКИ, связанные с недостаточной инфузией вследствие любых причин, включая закупорку ИНФУЗИОННОЙ МАГИСТРАЛИ.
Соответствие проверяют рассмотрением файла менеджмента риска.
Применяют раздел 13 общего стандарта, за исключением следующего:
201.13.2.6 * Утечка жидкости
Замена:
Для безопасной работы ME ИЗДЕЛИЯ конструкция ME ИЗДЕЛИЯ должна предотвращать утечку жидкости из контейнеров, трубок, соединений и т.п. как на неизолированные части, находящиеся под напряжением, так и на электрическую изоляцию, подверженную негативному влиянию жидкостей.
Соответствие проверяют следующим испытанием.
ME ИЗДЕЛИЯ устанавливают в положении, наименее благоприятном для НОРМАЛЬНОЙ ЭКСПЛУАТАЦИИ согласно инструкциям ИЗГОТОВИТЕЛЯ. С помощью пипетки капают определенный ИЗГОТОВИТЕЛЕМ испытательный раствор на стыки, соединения трубок, уплотнения и части ИНФУЗИОННОЙ МАГИСТРАЛИ, которые могут быть подвержены разрыву. Подвижные части должны находиться в работе или в состоянии покоя в зависимости от того, что является наиболее неблагоприятным.
Сразу после нанесения испытательного раствора проводят испытания по подпунктам с 201.12.1.102 по 201.12.1.107 согласно классификации ME ИЗДЕЛИЯ и только на СРЕДНЕЙ СКОРОСТИ. Если ME ИЗДЕЛИЕ не может быть отнесено ни к одной из установленных категорий, то проводят наиболее подходящее испытание по подпунктам с 201.12.1.102 по 201.12.1.107 (см. 201.12.1). Проводят испытания по подпунктам 201.12.4.4.106 и 201.12.4.4.107. ME ИЗДЕЛИЕ выключают и оставляют его выключенным минимум на 12 ч при нормальных условиях [температура воздуха (20 ± 2) °С, относительная влажность воздуха (65 ± 5) %]. С помощью функциональных испытаний определяют отсутствие СВОБОДНОГО ПОТОКА. Осмотром проверяют элементы управления и другие части, на которые мог неблагоприятно повлиять испытательный раствор.
Проводят испытания с наихудшим вариантом раствора для испытаний, содержащим 50 % декстрозы, или другим, определенным ИЗГОТОВИТЕЛЕМ в ФАЙЛЕ МЕНЕДЖМЕНТА РИСКА.
Применяют раздел 14 общего стандарта.
Применяют раздел 15 общего стандарта, за исключением следующего:
201.15.4.4 Индикаторы
Дополнение в конце 1-го абзаца:
ME ИЗДЕЛИЕ должно иметь световую (или иную, отличную от маркировки) индикацию подключения ПИТАЮЩЕЙ СЕТИ.
ME ИЗДЕЛИЕ должно иметь световую (или иную, отличную от маркировки) индикацию работы от ВНУТРЕННЕГО ИСТОЧНИКА ПИТАНИЯ. Это требование не относится к насосам, работающим только от ВНУТРЕННЕГО ИСТОЧНИКА ПИТАНИЯ.
ME ИЗДЕЛИЕ, работающее от ВНУТРЕННЕГО ИСТОЧНИКА ПИТАНИЯ, должно иметь средства проверки ОПЕРАТОРОМ заряда батареи в любое время. Исключением являются ИНФУЗИОННЫЕ НАСОСЫ ДЛЯ АМБУЛАТОРНОГО ИСПОЛЬЗОВАНИЯ с подкожным доступом.
Дополнительные подпункты:
201.15.101 Установка шприца/контейнера
Если шприц/контейнер могут быть установлены ОПЕРАТОРОМ, то в ME ИЗДЕЛИИ должны быть предусмотрены средства для обеспечения правильного закрепления и расположения шприца/контейнера и насосного механизма для предотвращения возникновения СВОБОДНОГО ПОТОКА.
В случае неправильного расположения шприца/контейнера насос не должен начинать работу, при этом должен быть активирован СИГНАЛ ОПАСНОСТИ согласно таблице 208.101.
В ME ИЗДЕЛИИ должны быть предусмотрены средства для предотвращения возникновения СВОБОДНОГО ПОТОКА в УСЛОВИЯХ ЕДИНИЧНОГО НАРУШЕНИЯ.
В случае попытки вынуть шприц/контейнер в ходе работы ИНФУЗИОННОГО НАСОСА должен быть активирован СИГНАЛ ОПАСНОСТИ согласно таблице 208.101.
Соответствие проверяют осмотром и следующим испытанием.
После установки шприца/контейнера его сдвигают таким образом, чтобы вызвать СИГНАЛ ОПАСНОСТИ согласно таблице 208.101. Убеждаются в том, что не возник СВОБОДНЫЙ ПОТОК.
ME ИЗДЕЛИЕ должно быть сконструировано таким образом, чтобы возникновение недопустимого РИСКА для ПАЦИЕНТА из-за тянущих усилий в ЛИНИИ ПАЦИЕНТА было невозможным.
Соответствие проверяют осмотром и испытанием с усилием 15 Н в течение 15 с в наихудших условиях. Убеждаются в том, что не возник СВОБОДНЫЙ ПОТОК.
201.15.102 Установка ИНФУЗИОННОЙ МАГИСТРАЛИ
Если применимо, должны быть предусмотрены средства для обеспечения правильной установки ИНФУЗИОННОЙ МАГИСТРАЛИ в ME ИЗДЕЛИЕ.
В случае неправильного расположения ИНФУЗИОННОЙ МАГИСТРАЛИ ИНФУЗИОННЫЙ НАСОС не должен начинать работу и введение жидкости, при этом должен быть активирован СИГНАЛ ОПАСНОСТИ согласно таблице 208.101.
СИГНАЛ ОПАСНОСТИ согласно таблице 208.101 также должен быть активирован, если в ходе работы ИНФУЗИОННОГО НАСОСА и введения жидкости предпринимается попытка вынимания ИНФУЗИОННОЙ МАГИСТРАЛИ.
ME ИЗДЕЛИЕ должно быть сконструировано таким образом, чтобы было невозможным возникновение недопустимого РИСКА для ПАЦИЕНТА из-за тянущих усилий в ЛИНИИ ПАЦИЕНТА и ЛИНИИ ПОДАЧИ, если это применимо. Испытание проводят с усилием 15 Н в течение 15 с в наихудших условиях.
Соответствие проверяют функциональными испытаниями. После установки ИНФУЗИОННОЙ МАГИСТРАЛИ ее смещают ровно настолько, чтобы сработал СИГНАЛ ОПАСНОСТИ. Проверяют, что СВОБОДНЫЙ ПОТОК не возникает до тех пор, пока ИНФУЗИОННУЮ МАГИСТРАЛЬ не сместят далее.
201.15.103 * Ошибки использования
По крайней мере два различных и самостоятельных действия должны требоваться для возникновения СВОБОДНОГО ПОТОКА при НОРМАЛЬНОЙ ЭКСПЛУАТАЦИИ. Первое действие должно останавливать поток и инициировать срабатывание СИГНАЛА ОПАСНОСТИ согласно таблице 208.101.
Это требование не относится к ШПРИЦЕВЫМ ИЛИ КОНТЕЙНЕРНЫМ НАСОСАМ и ИНФУЗИОННЫМ НАСОСАМ ДЛЯ АМБУЛАТОРНОГО ИСПОЛЬЗОВАНИЯ, в которых используют шприцы или насосные механизмы в комбинации с "контейнером" (перемещающий жидкость механизм и контейнер находятся в одной части) (см. 201.12.4.4.102).
ME ИЗДЕЛИЕ должно быть сконструировано таким образом, что, если оно будет случайно выключено, а затем включено посредством функционального контроля, это не должно привести к возникновению недопустимого РИСКА для ПАЦИЕНТА.
Соответствие проверяют осмотром и функциональным испытанием.
Применяют раздел 16 общего стандарта.
Применяют раздел 17 общего стандарта.
Применяют МЭК 60601-1-2:2007, за исключением следующего:
202.6.2.1.3 Рабочий режим и конфигурация
Дополнение:
Защиту от введения НЕПРЕДНАМЕРЕННОГО БОЛЮСА и окклюзии, а также ОПАСНЫЕ СИТУАЦИИ, рассматриваемые в качестве ОСНОВНЫХ ФУНКЦИОНАЛЬНЫХ ХАРАКТЕРИСТИК (см. таблицу 208.101), испытывают единожды после воздействия всех ИСПЫТАТЕЛЬНЫХ УРОВНЕЙ ПРИ ИСПЫТАНИЯХ НА ПОМЕХОУСТОЙЧИВОСТЬ.
202.6.2.2.1 Требования
Замена:
ME ИЗДЕЛИЕ должно соответствовать требованиям, установленным в 6.2.1.10 МЭК 60601-1-2:2007, с изменениями для ИСПЫТАТЕЛЬНЫХ УРОВНЕЙ ПРИ ИСПЫТАНИЯХ НА ПОМЕХОУСТОЙЧИВОСТЬ, определенными в таблице 202.101 для воздушного и контактного разряда. Для этого требования должны соблюдать следующие условия, если они применимы к ОСНОВНОЙ БЕЗОПАСНОСТИ и ОСНОВНЫМ ФУНКЦИОНАЛЬНЫМ ХАРАКТЕРИСТИКАМ:
- не должно быть постоянного УХУДШЕНИЯ или потери ФУНКЦИИ, которая не подлежит восстановлению, или потерь данных, которые могут привести к возникновению недопустимого РИСКА, на любых ИСПЫТАТЕЛЬНЫХ УРОВНЯХ ПРИ ИСПЫТАНИЯХ НА ПОМЕХОУСТОЙЧИВОСТЬ;
- не должно происходить каких-либо нарушений введения жидкости в ПАЦИЕНТА на любых ИСПЫТАТЕЛЬНЫХ УРОВНЯХ ПРИ ИСПЫТАНИЯХ НА ПОМЕХОУСТОЙЧИВОСТЬ;
- на ИСПЫТАТЕЛЬНЫХ УРОВНЯХ ПРИ ИСПЫТАНИЯХ НА ПОМЕХОУСТОЙЧИВОСТЬ 1, 2 и 3 ME ИЗДЕЛИЕ должно поддерживать нормальную работу в соответствии с заявленными техническими характеристиками;
- на ИСПЫТАТЕЛЬНЫХ УРОВНЯХ ПРИ ИСПЫТАНИЯХ НА ПОМЕХОУСТОЙЧИВОСТЬ 4 временное ухудшение, или потеря функции, или производительности, которые требуют вмешательства ОПЕРАТОРА, являются приемлемыми.
|
Контактный разряд |
Воздушный разряд | ||
|
Уровень |
Испытательное напряжение, кВ |
Уровень |
Испытательное напряжение, кВ |
|
1 |
2 |
1 |
2 |
|
2 |
4 |
2 |
4 |
|
3 |
6 |
3 |
8 |
|
4 |
8 |
4 |
15 |
Примечание - Таблица 202.101 представляет собой измененную таблицу 1 МЭК 61000-4-2:2008.
Соответствие подтверждают путем проведения испытаний, установленных в 6.2.2.2 МЭК 60601-1-2:2007. Проводят анализ реакции ME ИЗДЕЛИЯ или ME СИСТЕМЫ на воздействие каждого разряда в отдельности во время и после испытаний в соответствии с 6.2.1.10 МЭК 60601-1-2:2007 с учетом изменений, указанных выше.
Применяют МЭК 60601-1-6:2010, за исключением следующего:
Дополнительный подпункт:
206.101 ОСНОВНЫЕ РАБОЧИЕ ФУНКЦИИ
Должны быть рассмотрены, как минимум, следующие вопросы:
- включение;
- установка ИНФУЗИОННОЙ МАГИСТРАЛИ или шприца/контейнера;
- выбор параметров инфузии;
- начало инфузии;
- сигналы опасности и действия оператора при срабатывании сигнализации;
- изменение настроек инфузии;
- остановка инфузии;
- удаление ИНФУЗИОННОЙ МАГИСТРАЛИ или шприца/контейнера;
- выключение.
ИЗГОТОВИТЕЛЬ должен определить полный перечень ОСНОВНЫХ РАБОЧИХ ФУНКЦИЙ для ME ИЗДЕЛИЯ.
Применяют МЭК 60601-1-8:2006, за исключением следующего:
208.6.1.2 Приоритеты ОПАСНЫХ СИТУАЦИЙ
Дополнительный подпункт:
208.6.1.2.101 Приоритеты ОПАСНЫХ СИТУАЦИЙ и связанные сними ситуации
ME ИЗДЕЛИЕ должно соответствовать требованиям таблицы 208.101.
|
Ситуация |
Тип ME ИЗДЕЛИЯ |
Приоритет ОПАСНОЙ СИТУАЦИИ |
Звуковой сигнал |
Визуализация |
|
Отказ ME ИЗДЕЛИЯ |
Все типы насосов |
ВЫСОКИЙ ПРИОРИТЕТ |
Да |
Да |
|
Сигнал близкого окончания инфузии |
ШПРИЦЕВОЙ ИЛИ КОНТЕЙНЕРНЫЙ НАСОС, ПРОФИЛИРУЕМЫЙ НАСОС |
НИЗКИЙ ПРИОРИТЕТ |
Повторение. Интервал между сериями сигналов 15-30 с. Три тона. Узнаваемый аудиосигнал. Останавливается командой ЗВУКОВАЯ СИГНАЛИЗАЦИЯ ПРИОСТАНОВЛЕНА в одно действие ОПЕРАТОРА. СИГНАЛ НАПОМИНАНИЯ |
Да |
|
Сигнал окончания инфузии |
ПРОФИЛИРУЕМЫЙ НАСОС, ШПРИЦЕВОЙ ИЛИ КОНТЕЙНЕРНЫЙ НАСОС, ВОЛЮМЕТРИЧЕСКИЙ ИНФУЗИОННЫЙ КОНТРОЛЛЕР ВОЛЮМЕТРИЧЕСКИЙ ИНФУЗИОННЫЙ НАСОС |
ВЫСОКИЙ ПРИОРИТЕТ |
Да |
Да |
|
Сигнал окклюзии |
ПРОФИЛИРУЕМЫЙ НАСОС, ШПРИЦЕВОЙ ИЛИ КОНТЕЙНЕРНЫЙ НАСОС, ВОЛЮМЕТРИЧЕСКИЙ ИНФУЗИОННЫЙ КОНТРОЛЛЕР ВОЛЮМЕТРИЧЕСКИЙ ИНФУЗИОННЫЙ НАСОС |
ВЫСОКИЙ ПРИОРИТЕТ |
Да |
Да |
|
Сигнал о наличии воздуха в линии |
ПРОФИЛИРУЕМЫЙ НАСОС, ВОЛЮМЕТРИЧЕСКИЙ ИНФУЗИОННЫЙ КОНТРОЛЛЕР ВОЛЮМЕТРИЧЕСКИЙ ИНФУЗИОННЫЙ НАСОС |
ВЫСОКИЙ ПРИОРИТЕТ |
Да |
Да |
|
Сигнал заряда батареи |
ПРОФИЛИРУЕМЫЙ НАСОС, ШПРИЦЕВОЙ ИЛИ КОНТЕЙНЕРНЫЙ НАСОС, ВОЛЮМЕТРИЧЕСКИЙ ИНФУЗИОННЫЙ КОНТРОЛЛЕР ВОЛЮМЕТРИЧЕСКИЙ ИНФУЗИОННЫЙ НАСОС НАСОС ДЛЯ ЭНТЕРАЛЬНОГО ПИТАНИЯ |
НИЗКИЙ ПРИОРИТЕТ |
Повторение. Интервал между сериями сигналов 15-30 с. Три тона. Узнаваемый аудиосигнал. Останавливается командой ЗВУКОВАЯ СИГНАЛИЗАЦИЯ ПРИОСТАНОВЛЕНА в одно действие ОПЕРАТОРА. СИГНАЛ НАПОМИНАНИЯ |
Да |
|
Отсутствие действий с насосом |
ПРОФИЛИРУЕМЫЙ НАСОС, ШПРИЦЕВОЙ ИЛИ КОНТЕЙНЕРНЫЙ НАСОС, ВОЛЮМЕТРИЧЕСКИЙ ИНФУЗИОННЫЙ КОНТРОЛЛЕР ВОЛЮМЕТРИЧЕСКИЙ ИНФУЗИОННЫЙ НАСОС |
НИЗКИЙ ПРИОРИТЕТ |
Повторение. Интервал между сериями сигналов 15-30 с. Три тона. Узнаваемый аудиосигнал. Останавливается командой ЗВУКОВАЯ СИГНАЛИЗАЦИЯ ПРИОСТАНОВЛЕНА в одно действие ОПЕРАТОРА. СИГНАЛ НАПОМИНАНИЯ |
Да |
Соответствие проверяют осмотром и функциональными испытаниями.
208.6.3.3.1 * Характеристики звуковых СИГНАЛОВ ОПАСНОСТИ
Поправка:
Изменения 1-го и 2-го ряда в таблице 4 МЭК 60601-1-8:2006 только для ИНФУЗИОННЫХ НАСОСОВ ДЛЯ АМБУЛАТОРНОГО ИСПОЛЬЗОВАНИЯ, как указано в таблице 208.102.
|
Характеристика |
Значение |
|
ЧАСТОТА ИМПУЛЬСОВ fo |
От 150 до 3000 Гц |
|
Число гармонических составляющих в диапазоне от 300 до 4000 Гц |
Минимум 1 |
|
Эффективная продолжительность ИМПУЛЬСА td: | |
|
ВЫСОКОГО ПРИОРИТЕТА |
От 75 до 200 мс |
|
СРЕДНЕГО и НИЗКОГО ПРИОРИТЕТА |
От 125 до 250 мс |
|
ВРЕМЯ НАРАСТАНИЯ tr |
10 % - 20 % от td |
|
ВРЕМЯ СПАДА tf a) |
tf ≤ ts - tr |
|
Примечание - Относительный уровень звукового давления гармонических составляющих должен быть в пределах 15 дБ выше или ниже амплитуды основной гармоники ИМПУЛЬСОВ. а) Предотвращает наложение ИМПУЛЬСОВ. | |
Если есть возможность выбрать другую схему настроек акустических СИГНАЛОВ ОПАСНОСТИ, должно быть получено разрешение ОТВЕТСТВЕННОЙ ОРГАНИЗАЦИИ, подраздел 6.7 МЭК 60601-1-8 должен распространяться на эту возможность, а техническое описание также должно содержать предупреждение ОТВЕТСТВЕННОЙ ОРГАНИЗАЦИИ о необходимости провести оценку РИСКА перед выбором альтернативных СИГНАЛОВ ОПАСНОСТИ.
208.6.3.3.2 * Громкость звуковых СИГНАЛОВ ОПАСНОСТИ и ИНФОРМАЦИОННЫХ СИГНАЛОВ
Дополнение:
208.6.3.3.2.101 Громкость звуковых СИГНАЛОВ ОПАСНОСТИ
Для всех устройств, кроме ИНФУЗИОННЫХ НАСОСОВ ДЛЯ АМБУЛАТОРНОГО ИСПОЛЬЗОВАНИЯ и за исключением того случая, когда ИНФУЗИОННЫЙ НАСОС подсоединен к РАСПРЕДЕЛЕННОЙ СИСТЕМЕ СИГНАЛИЗАЦИИ, которая обеспечивает подачу акустических СИГНАЛОВ ОПАСНОСТИ, уровень звука СИГНАЛОВ ОПАСНОСТИ должен создавать акустическое давление не менее 45 дБА на расстоянии 1 м и не должен иметь возможность регулирования ОПЕРАТОРОМ без использования ИНСТРУМЕНТА на уровень ниже 45 дБА на 1 м.
Для ИНФУЗИОННЫХ НАСОСОВ ДЛЯ АМБУЛАТОРНОГО ИСПОЛЬЗОВАНИЯ уровень звука СИГНАЛОВ ОПАСНОСТИ должен создавать акустическое давление не менее 45 дБА на расстоянии 1 м и не должен иметь возможность регулирования ОПЕРАТОРОМ как с использованием ИНСТРУМЕНТА, так и с помощью специальных средств.
Пример - Специальным средством в данном случае может служить последовательность нажатия клавиш.
Соответствие проверяют осмотром и функциональными испытаниями. Используют метод испытания для измерения уровня звукового давления, указанный в 6.3.3.2, МЭК 60601-1-8:2006.
208.6.3.3.2.102 * Время, в течение которого ЗВУКОВАЯ СИГНАЛИЗАЦИЯ ПРИОСТАНОВЛЕНА
Требуемая настоящим стандартом продолжительность времени, в течение которого ЗВУКОВАЯ СИГНАЛИЗАЦИЯ ПРИОСТАНОВЛЕНА, не должна превышать 120 с без вмешательства ОПЕРАТОРА. Это требование не распространяется на ИНФУЗИОННЫЕ НАСОСЫ ДЛЯ АМБУЛАТОРНОГО ИСПОЛЬЗОВАНИЯ.
Примечание - Это позволяет ОПЕРАТОРУ прямым действием намеренно продлить время, в течение которого ЗВУКОВАЯ СИГНАЛИЗАЦИЯ ПРИОСТАНОВЛЕНА.
Для ИНФУЗИОННЫХ НАСОСОВ ДЛЯ АМБУЛАТОРНОГО ИСПОЛЬЗОВАНИЯ максимальное время, в течение которого ЗВУКОВАЯ СИГНАЛИЗАЦИЯ ПРИОСТАНОВЛЕНА, определяется в соответствии с ОЦЕНКОЙ РИСКА ИЗГОТОВИТЕЛЕМ.
Факт того, что ЗВУКОВАЯ СИГНАЛИЗАЦИЯ ПРИОСТАНОВЛЕНА, должен визуально индицироваться на протяжении всего времени, в течение которого ЗВУКОВАЯ СИГНАЛИЗАЦИЯ ПРИОСТАНОВЛЕНА.
Соответствие проверяют осмотром и функциональным испытанием.
Приложения
Применяют приложения общего стандарта, за исключением следующего:
Дополнение:
Приложение АА
(справочное)
АА.1 Общие рекомендации
ИНФУЗИОННЫЕ МАГИСТРАЛИ не подвергаются всем видам испытаний по настоящему стандарту, но стоит отметить, что ИНФУЗИОННЫЕ НАСОСЫ и ИНФУЗИОННЫЕ КОНТРОЛЛЕРЫ могут соответствовать настоящему стандарту только при условии использования вместе с совместимыми ИНФУЗИОННЫМИ МАГИСТРАЛЯМИ, рекомендованными ИЗГОТОВИТЕЛЕМ. ОПЕРАТОР обязан использовать подходящие ИНФУЗИОННЫЕ МАГИСТРАЛИ, чтобы избежать ОПАСНОСТИ, которая может возникнуть в результате использования несовместимой ИНФУЗИОННОЙ МАГИСТРАЛИ. ИЗГОТОВИТЕЛЬ обязан рекомендовать ИНФУЗИОННЫЕ МАГИСТРАЛИ, которые соответствуют функциональным аспектам безопасности.
АА.2 Обоснование частных пунктов и подпунктов
Ниже приведено обоснование пунктов и подпунктов настоящего стандарта с нумерацией пунктов и подпунктов в соответствии с текстом стандарта.
Подпункт 201.3.212 и 201.3.213 МАКСИМАЛЬНО ВОЗМОЖНАЯ СКОРОСТЬ и МИНИМАЛЬНО ВОЗМОЖНАЯ СКОРОСТЬ
Определения скорости используют термины МИНИМАЛЬНОЙ СКОРОСТИ и СРЕДНЕЙ СКОРОСТИ согласно МЭК 60601-2-24, а также включают в себя новые термины МАКСИМАЛЬНО ВОЗМОЖНОЙ СКОРОСТИ и МИНИМАЛЬНО ВОЗМОЖНОЙ СКОРОСТИ. Новые термины добавлены для того, чтобы включить требования к испытаниям на работоспособность на скоростях ниже МИНИМАЛЬНОЙ СКОРОСТИ и выше СРЕДНЕЙ СКОРОСТИ.
Подпункт 201.4.7 УСЛОВИЕ ЕДИНИЧНОГО НАРУШЕНИЯ для ME ИЗДЕЛИЯ
Для защиты ПАЦИЕНТА от возникновения ОПАСНОСТИ в результате отказа защитных систем, определенных в подпунктах 201.12.4 и 201.4.7 настоящего стандарта, выдвигаются требования о том, что возникновение УСЛОВИЙ ЕДИНИЧНОГО НАРУШЕНИЯ в защитных системах в ходе работы изделия должно быть очевидным для ОПЕРАТОРА.
Один из способов реализации данного требования заключается в постоянном проведении самопроверки текущей работы и сигнализации и остановки инфузии в случае возникновения УСЛОВИЯ ЕДИНИЧНОГО НАРУШЕНИЯ (см. перечисление 1, примечание к 201.4.7). Однако стоит отметить, что этот способ требует применения дорогостоящей технологии. Поэтому к применению разрешены два других способа. Второй способ (см. перечисление 2, примечание к 201.4.7) позволяет ОПЕРАТОРУ вызвать процедуру автоматической самопроверки в любое время до, в процессе или после инфузии. Третий способ (см. перечисление 3, примечание 201.4.7) позволяет ОПЕРАТОРУ принять участие в интерактивной процедуре, следуя перечню проверок безопасности, указанному в ЭКСПЛУАТАЦИОННЫХ ДОКУМЕНТАХ.
Предполагается, что какой бы способ ни использовался, все основные датчики защитной системы должны быть включены так, чтобы осуществлялась правильная проверка функционирования.
Следующие события считаются НОРМАЛЬНЫМ СОСТОЯНИЕМ вследствие того, что они происходят в ходе обычной инфузионной терапии:
- утечки из ИНФУЗИОННОЙ МАГИСТРАЛИ и/или линии подачи жидкости;
- разрядка ВНУТРЕННЕГО ИСТОЧНИКА ПИТАНИЯ;
- неточное позиционирование и/или неправильное заполнение капельной камеры;
- наличие воздуха в ЛИНИИ ПОДАЧИ или той части ME ИЗДЕЛИЯ, в которой регулируется подача жидкости, останавливается поток или происходит детекция воздуха;
- натяжение ЛИНИИ ПАЦИЕНТА (см. ИСО 8536-4).
Подпункт 201.7.9.2.101 Дополнительные инструкции по эксплуатации
Подпункт 201.7.9.2.101, 4-е перечисление (инструкция и ссылки)
Инструкции могут включать в себя ссылки на инструкцию по использованию ИНФУЗИОННОЙ МАГИСТРАЛИ.
Подпункт 201.7.9.2.101, 14-е перечисление
Из-за специфики потребления энергии ВОЛЮМЕТРИЧЕСКИМИ ИНФУЗИОННЫМИ НАСОСАМИ или ВОЛЮМЕТРИЧЕСКИМИ ИНФУЗИОННЫМИ КОНТРОЛЛЕРАМИ время работы может отличаться на разных уровнях скорости. Эта информация полезна для ОПЕРАТОРА при применении изделия в автономных условиях транспортирования.
Подпункт 201.7.9.2.101, 17-е перечисление
Примеры условий, при которых ME ИЗДЕЛИЕ может не обеспечивать заявленные значения погрешностей, включают малое время работы, нетипичные характеристики инфузионной жидкости, использование игл с чрезмерно узкими просветами, недостаточная защита от значительных изменений условий окружающей среды и окклюзия в ИНФУЗИОННОЙ МАГИСТРАЛИ до входа в ME ИЗДЕЛИЕ. ИЗГОТОВИТЕЛЬ должен указать условия, при которых устройство не сможет обеспечить заявленные значения погрешностей, например: вязкость жидкостей, противодавление, скорости инфузии, время реагирования системы безопасности, области анализа рисков и т.д.
Подпункт 201.7.9.2.101, 18-е перечисление
Примеры ОПАСНОСТЕЙ, связанных с подсоединением инфузионной системы или ПРИНАДЛЕЖНОСТЕЙ к линии ПАЦИЕНТА, включают в себя возможное изменение скорости инфузии из-за этих соединений и увеличение вероятности попадания воздуха в ПАЦИЕНТА, особенно в системах в гравитационной подачей.
Подпункт 201.7.9.2.101, 23-е перечисление
Максимальные объемы жидкости, которые могут быть введены в УСЛОВИЯХ ЕДИНИЧНОГО НАРУШЕНИЯ, должны быть заявлены в процентном отношении от установленной номинальной скорости или объема введенного до остановки ME ИЗДЕЛИЯ БОЛЮСА.
Подпункт 201.7.9.2.101, 29-е перечисление
Поскольку существует много возможных конфигураций ПРОФИЛИРУЕМЫХ НАСОСОВ, ИЗГОТОВИТЕЛЬ должен охарактеризовать типовые эксплуатационные характеристики в переходных режимах.
Подпункт 201.7.9.3.101, 1-е перечисление
Для ИНФУЗИОННЫХ НАСОСОВ ДЛЯ АМБУЛАТОРНОГО ИСПОЛЬЗОВАНИЯ, в которых используется инсулин, нет прямой ОПАСНОСТИ, связанной с инфузией воздуха. Инфузия пузырьков воздуха снижает точность дозирования, если инсулин заменяется воздухом из-за недостаточной инфузии, что, однако, обычно обнаруживается и предотвращается, например путем измерения уровня глюкозы в крови или визуальным осмотром инфузионных магистралей и их заполнения. Следовательно, в насос, работающий с инсулином, не требуется устанавливать датчик пузырьков (см. 201.12.4.4.107). Если же датчик пузырьков предусмотрен, то ИЗГОТОВИТЕЛЬ может указать в техническом описании чувствительность датчика пузырьков в условиях, соответствующих данной конструкции. Данная информация может, например, содержать сведения о возможном объеме недовведенной жидкости до срабатывания датчика пузырьков или другие подобные сведения.
Подпункт 201.11.6.3 - Расплескивание жидкостей на ME ИЗДЕЛИЕ или ME СИСТЕМУ
Если в процессе испытаний происходит любое попадание жидкости на ME ИЗДЕЛИЕ или ME СИСТЕМУ и нет никаких признаков смачивания частей изделия, повреждение которых может привести к возникновению ОПАСНОЙ СИТУАЦИИ, следует учитывать возможность того, что в другой раз подобное попадание жидкости может охватить другие области, повреждение которых может привести к неправильной работе изделия, например к избыточной или недостаточной инфузии.
Подпункт 201.12.1 - Точность органов управления и измерительных приборов
201.12.1.101 - Общее правило
Способность ME ИЗДЕЛИЯ обеспечивать работу с заявленной ИЗГОТОВИТЕЛЕМ погрешностью - это основной показатель безопасности в данном требовании. Это требование к ME ИЗДЕЛИЮ не учитывает клинические показатели ПАЦИЕНТА, например возраст, вес, применяемые препараты и т.д.
На погрешность работы ME ИЗДЕЛИЙ могут влиять предельные значения противодавления.
Подпункты с 201.12.1.102 - Испытания с целью определения погрешности ВОЛЮМЕТРИЧЕСКИХ ИНФУЗИОННЫХ КОНТРОЛЛЕРОВ, ВОЛЮМЕТРИЧЕСКИХ ИНФУЗИОННЫХ НАСОСОВ и ШПРИЦЕВЫХ ИЛИ КОНТЕЙНЕРНЫХ НАСОСОВ
по
201.12.1.107 - Испытания с целью определения погрешности ИНФУЗИОННЫХ НАСОСОВ типа 5
Данные об эксплуатационных характеристиках после начала инфузии важны и должны быть представлены однозначно и таким образом, чтобы ОПЕРАТОР мог настроить ME ИЗДЕЛИЕ соответственно применению в клинической практике. Графики, подобные показанным на рисунках 201.105 и 201.110, должны быть включены в инструкцию по эксплуатации. Данные графики также дают хорошее представление о кратковременных колебаниях объемной скорости потока и считаются не требующими разъяснений результатами испытаний по подпунктам с 201.12.1.102 по 201.12.1.104, если применимо.
Единообразное представление результатов позволяет ОПЕРАТОРАМ определить эксплуатационные характеристики при запуске и в процессе работы насоса независимо от типа выходного потока жидкости - непрерывный, прерывистый, циклический или другого типа. Факт начала инфузии в ожидаемое время - это важный аспект безопасности. ОПЕРАТОРЫ имеют потребность в информации о возможных задержках начала инфузии после ее запуска и о наличии внутри инфузионного цикла длительных периодов с нулевой объемной скоростью потока (или даже периодов с обратным потоком).
Величины задержек начала инфузии после ее запуска будут значительно отличаться из-за влияния следующих факторов:
a) правильность заполнения инфузионной магистрали;
b) мертвый ход и люфт механизма насоса;
c) место закрепления ходового винта (для ШПРИЦЕВЫХ ИЛИ КОНТЕЙНЕРНЫХ НАСОСОВ);
d) установленная номинальная скорость инфузии;
e) податливость шприца/контейнера.
Для ОПЕРАТОРОВ важно иметь информацию о возникающих после установления номинальной скорости инфузии кратковременных колебаниях объемной скорости потока, которые могут быть характерны для ME ИЗДЕЛИЯ. Испытания с целью определения наличия подобных колебаний проводят в соответствии с подпунктами с 201.12.1.102 по 201.12.1.104 (см. 201.12.1), примеры результирующих графиков приведены на рисунках 201.106, 201.107 и 201.109.
Если в ходе указанных испытаний учитывать период времени только до момента установления номинальной скорости инфузии, то результаты испытаний будут сильно зависеть от первых нескольких минут после запуска и не дадут полезной информации об ожидаемых эксплуатационных характеристиках в другие периоды времени.
В ходе определения погрешности различных насосов объемная скорость потока измеряется за определенный промежуток времени. Рекомендуемые в настоящем стандарте параметры испытаний установлены для обеспечения безопасного стандарта, которому должно соответствовать ME ИЗДЕЛИЕ. Но, когда интервал времени, в течение которого измеряется погрешность, сокращается, все насосы демонстрируют значительные вариации структуры потока, например циклы с периодом порядка нескольких минут. Это касается всех существующих в настоящее время ME ИЗДЕЛИЙ: роторных и линейных перистальтических, мембранных и поршневых типов, а также ШПРИЦЕВЫХ ИЛИ КОНТЕЙНЕРНЫХ НАСОСОВ. Для некоторых ME ИЗДЕЛИЙ возможно показать погрешность объемной скорости потока ± 75 % за период 1 мин, также не являются редкостью погрешность ± 30 % за период 5 мин.
В настоящее время некоторые препараты, вводимые подобными ME ИЗДЕЛИЯМИ, имеют фармакологический и биологический период полураспада менее 5 мин. Например, одно из средств, широко используемых для поддержания функционального состояния сердца тяжелобольных ПАЦИЕНТОВ, имеет период полураспада примерно 2,5 мин. Очевидно, что использование таких средств в концентрациях, требующих введения на низких скоростях, на которых возможны описанные выше колебания объемной скорости потока, может привести к тревожной и потенциально опасной реакции ПАЦИЕНТА. Поэтому крайне важно, чтобы ОПЕРАТОР был информирован относительно возможности возникновения таких колебаний объемной скорости потока, чтобы он мог внести необходимые коррективы и выбрать концентрацию препарата и скорость его введения.
ВОЛЮМЕТРИЧЕСКИЕ ИНФУЗИОННЫЕ КОНТРОЛЛЕРЫ (с капельным контролем) используются только для внутривенных инфузии. Принцип их работы основан на том, что давление столба жидкости из контейнера, находящегося выше места инфузии (обычно на высоте около 90 см, Н2 = 8,83 кПа), более максимального венозного давления, обычно встречающегося в медицинской практике [примерно 2,67 кПа (20 мм рт. ст.)].
Максимально возможная для таких устройств скорость каплеобразования обычно составляет 100 кап./мин при использовании инфузионной системы со скоростью каплеобразования 20 кап./мл, что эквивалентно объемной скорости потока 300 мл/ч. При использовании иглы 18G диаметром 1,2 мм и длиной 40 мм давление капель воды в игле при объемной скорости потока 300 мл/ч составляет примерно 0,33 кПа (2,5 мм рт. ст.). Для более вязких жидкостей, таких как глюкоза (50 %), указанные значения давления составляют 0,43 кПа (3,2 мм рт. ст.) (с иглой 18G диаметром 1,2 мм и длиной 40 мм) и 2,86 кПа (21,4 мм рт. ст.) (с иглой 21G диаметром 0,8 мм и длиной 40 мм) соответственно.
В медицинской практике было бы нецелесообразно использовать более вязкие жидкости или малокалиберные иглы. Таким образом, указанные испытания позволят проверить работу ME ИЗДЕЛИЯ в реальных условиях.
ВОЛЮМЕТРИЧЕСКИЕ ИНФУЗИОННЫЕ КОНТРОЛЛЕРЫ используют силу тяжести для достижения требуемого уровня давления для инфузии. Хотя ВОЛЮМЕТРИЧЕСКИЕ ИНФУЗИОННЫЕ КОНТРОЛЛЕРЫ ведут подсчет капель, они переводят число капель в объемные единицы и поэтому калибруются в объемных единицах, например миллилитрах в час, мл/ч. Это может быть реализовано с помощью специального каплеобразующего отверстия в капельной камере и/или кодирования используемой жидкости (задается ОПЕРАТОРОМ), чтобы можно было учесть различные характеристики растворов, используемых в инфузионной терапии. Объем капли зависит от ряда факторов, который включает в себя скорость падения, температуру, давление, материал и прочие характеристики каплеобразующего отверстия, вязкость и поверхностное натяжение используемой жидкости. Несмотря на то что целью испытаний является проверка соответствия характеристик осуществляемой инфузии заданным значениям, испытания с использованием растворов, соответствующих классу III по ИСО 3696:1987, и предельных значений противодавлений (только отрицательного противодавления) являются достаточными.
ВОЛЮМЕТРИЧЕСКИЕ ИНФУЗИОННЫЕ НАСОСЫ предназначены для высокоточного дозированного введения жидкостей на средних и высоких скоростях и должны быть приспособлены для внутривенного введения и использования широкого спектра игл различных размеров и различных жидкостей.
Некоторые виды таких насосов, применяющиеся в области педиатрии, предназначены для высокоточного дозированного введения жидкостей на низких номинальных объемных скоростях (от 1 до 10 мл/ч) и калибруются с шагом 0,1 мл/ч. Нет необходимости испытывать такие ВОЛЮМЕТРИЧЕСКИЕ ИНФУЗИОННЫЕ НАСОСЫ на скоростях введения ниже 1 мл/ч, т.к. в медицинской практике в таких случаях применяют ШПРИЦЕВОЙ ИЛИ КОНТЕЙНЕРНЫЙ НАСОС.
Указанные ME ИЗДЕЛИЯ испытывают на средней скорости с использованием воды под противодавлением 39,9 кПа (300 мм рт. ст.) для имитации обратного давления, которое может возникнуть при артериальной инфузии или инфузии вязких жидкостей. Испытания при давлении минус 13,3 кПа (минус 100 мм рт. ст.) предназначены для моделирования отрицательного противодавления, которое иногда встречается в медицинской практике.
Подпункт 201.12.4.4.102 - Защита от избыточной инфузии в условиях СВОБОДНОГО ПОТОКА
Известно, что движения ПАЦИЕНТА могут приводить к появлению СВОБОДНОГО ПОТОКА. Испытания проводят следующим образом: после стабилизации объемной скорости емкость для сбора жидкости быстро опускают на 50 см ниже и наблюдают факт возникновения СВОБОДНОГО ПОТОКА. Вышеописанные действия моделируют движения ПАЦИЕНТА.
Подпункт 201.12.4.4.107 - Защита от введения воздуха
ШПРИЦЕВЫЕ ИЛИ КОНТЕЙНЕРНЫЕ НАСОСЫ, ИНФУЗИОННЫЕ НАСОСЫ ДЛЯ АМБУЛАТОРНОГО ИСПОЛЬЗОВАНИЯ и НАСОСЫ ДЛЯ ЭНТЕРАПЬНОГО ПИТАНИЯ исключаются из требований к обнаружению воздуха, т.к. не используют вентилируемых контейнеров. Шприцы и контейнеры подготавливаются и заполняются оператором. В некоторых случаях в контейнере обнаруживаются "воздушные пузырьки", однако данные пузырьки образуются из растворенного в жидкости воздуха. С учетом места введения иглы пациенту (например, вена) эти маленькие "воздушные пузырьки" не окажут никакого влияния на пациента. Для НАСОСОВ ДЛЯ ЭНТЕРАЛЬНОГО ПИТАНИЯ недопустимый риск отсутствует, т.к. энтеральное питание вводят в желудок.
Подпункт 201.13.2.6 - Утечка жидкости
Обращается внимание на тот факт, что утечка жидкости может произойти из емкостей для жидкости, ИНФУЗИОННЫХ МАГИСТРАЛЕЙ и соединений до входа в ME ИЗДЕЛИИ и внутри него и что жидкость может иметь вязкость, аналогичную 50 %-ному раствору глюкозы. Ухудшение показателей безопасности из-за утечки такой жидкости может происходить только после определенного периода времени, когда раствор высохнет.
Подпункт 201.15.103 - Ошибки использования
Приемлемые методы поддержания безопасности ПАЦИЕНТА заключаются или в сохранении выбранного ранее режима работы и установленного значения скорости инфузии, или в остановке инфузии и активировании звуковой сигнализации.
Функциональный контроль предусмотрен для запуска или остановки инфузии, он может быть разделен или объединен с общим выключателем.
ШПРИЦЕВЫЕ ИЛИ КОНТЕЙНЕРНЫЕ НАСОСЫ и ИНФУЗИОННЫЕ НАСОСЫ ДЛЯ АМБУЛАТОРНОГО ИСПОЛЬЗОВАНИЯ исключаются из требований, т.к. в этом случае насос располагается на том же уровне или ниже уровня ПАЦИЕНТА. Также силы трения в шприце/контейнере могут предотвратить возникновение условий свободного потока.
Подпункт 208.6.3.3.1 - Характеристики звуковых СИГНАЛОВ ОПАСНОСТИ
Для ИНФУЗИОННЫХ НАСОСОВ ДЛЯ АМБУЛАТОРНОГО ИСПОЛЬЗОВАНИЯ трудно соблюсти требования МЭК 60601-1-8:2006 в отношении частотных и гармонических составляющих вследствие технологических ограничений пьезоэлектрических источников звуковых сигналов, которые могут использоваться из-за требований к потреблению энергии и защите от попадания воды (например, по классификации IPXX). Однако такие типы насосов, как правило, не используют в условиях больниц.
Если ОПЕРАТОРЫ знакомы с несоответствующими МЭК 60601-1-8 звуковыми СИГНАЛАМИ ОПАСНОСТИ существующих ИНФУЗИОННЫХ НАСОСОВ или ВОЛЮМЕТРИЧЕСКИХ ИНФУЗИОННЫХ КОНТРОЛЛЕРОВ, то лучшим выбором в данном случае может быть сохранение подобных звуковых СИГНАЛОВ ОПАСНОСТИ в новых устройствах в соответствии с анализом РИСКА ОТВЕТСТВЕННОЙ ОРГАНИЗАЦИИ.
Подпункт 208.6.3.3.2.102 - Время, в течение которого ЗВУКОВАЯ СИГНАЛИЗАЦИЯ ПРИОСТАНОВЛЕНА
Это положение предназначено для устранения возникновения сбоя перезапуском ME ИЗДЕЛИЯ после временной приостановки работы, такой как смена инфузионного контейнера или корректировка скорости введения.
АА.3 Обоснование алгоритмов расчета, используемых в настоящем стандарте
Испытания с целью определения погрешности НАСОСОВ ДЛЯ АМБУЛАТОРНОГО ИСПОЛЬЗОВАНИЯ
ИНФУЗИОННЫЕ НАСОСЫ для непрерывного введения препарата могут работать на скоростях, отличающихся в 20-50 раз, а также на минимальных скоростях около 10 мл/ч. Наиболее часто используемый способ управления скоростью введения в таком диапазоне - это квазинепрерывная работа с обеспечением малых дискретных приращений объема v ("впрыск") за заранее определенные промежутки времени t для получения номинальной средней скорости v/t. Частота впрыскивания может составлять сотни впрысков в час или несколько впрысков в течение 24 ч. В некоторых ИНФУЗИОННЫХ НАСОСАХ интервал впрыскивания и объем впрыска изменяются при выборе новой номинальной скорости.
В случае подкожного введения различные фармакокинетические механизмы сглаживают воздействие прерывистого потока, и величина последующих физиологических реакций может таким образом быть ограничена.
На примере использования инсулина, где физиологические особенности подразумевают действительно непрерывную инфузию, было показано, что прерывистое подкожное введение с периодом 2 ч не имеет наблюдаемых медицинских противопоказаний. Даже при такой низкой частоте впрыскивания введение может считаться квазинепрерывным.
С другой стороны, для лютеинизирующего гормона прерывистое введение гормона с периодом около 90 мин, имитирующее нормальную работу гипофиза, представляется клинически оптимальным. В этом случае введение должно быть запрограммировано как БОЛЮС, а насос должен позволять задавать объем введения БОЛЮСА и интервалы между БОЛЮСАМИ. Инсулиновые помпы в зависимости от требований обычно позволяют осуществлять широкий спектр основных непрерывных инфузии и выбирать объем БОЛЮСА. Некоторые насосы формируют БОЛЮС увеличением скорости инфузии в течение установленного промежутка времени.
Каждый клинический случай должны рассматривать по существу, а ответственность за выбор подходящего насоса для предполагаемого применения, учитывая эксплуатационные характеристики и требуемый протокол введения, ложится на ОПЕРАТОРА.
Типы насосов
Насосы для введения препаратов могут быть разделены на четыре подгруппы, в зависимости от режимов введения:
- тип 1 - непрерывная инфузия;
- тип 2 - инфузия прерывистым потоком;
- тип 3 - дискретное введение болюса;
- тип 4 - инфузия по заданному профилю, осуществляемая ПРОФИЛИРУЕМЫМ НАСОСОМ.
Погрешности объемной скорости потока
Обычно ОПЕРАТОР амбулаторного насоса не обращается к врачу чаще одного раза в день, поэтому ручной сброс установленной скорости в течение 24 ч обычно не производится. Программу испытаний должны разрабатывать с учетом схожего по длительности периода.
Амбулаторные насосы заправляют перед использованием. Тем не менее первоначальная объемная скорость потока в течение некоторого времени может быть неустойчивой, поэтому в программу испытаний включают период стабилизации перед проведением испытания с целью определения погрешности.
Испытание с целью определения реальной объемной скорости потока
Протоколы испытаний предназначены для определения характеристик установившегося потока, а также для выявления погрешностей как для среднего значения, так и для отклонений относительно среднего значения. Объемную скорость потока измеряют взвешиванием введенного инфузата в течение определенного периода наблюдения, который в идеальном случае должен соответствовать фармакокинетическим моделям в области, в которой применяют данное устройство. Однако на практике это невыполнимо, поскольку клинические данные для многих потенциальных инфузатов недоступны.
График объемной скорости потока в зависимости от времени (см. рисунок АА.101) дает четкое и простое представление стабилизации потока с течением времени. Данный график строят в течение периода стабилизации и называют "график запуска".

Рисунок АА.101 - График запуска
После стабилизации данные обрабатывают интегрированием объемной скорости потока за ряд периодов времени. Максимальные положительные и отрицательные погрешности, возникающие за эти временные периоды, откладывают на графике для получения графика погрешностей объемных скоростей потока (см. рисунок АА.102). В результате полученные реальные эксплуатационные характеристики могут быть сравнены с данными ИЗГОТОВИТЕЛЯ, а вышеуказанные графики позволят врачу проверить соответствие устройства фармакокинетическим моделям в той области, в которой применяют данное устройство.

Рисунок АА.102 - График погрешностей объемных скоростей потока
Для насосов типа 2 (квазинепрерывных) с фиксированным объемом впрыска выборочный период кратен периоду впрыскивания. В этих случаях методика измерения объемной скорости потока и характеристик насосов такова, что достоверность испытаний не зависит от установок насосов. Таким образом, кривая, полученная на СРЕДНЕЙ СКОРОСТИ, может быть применена для более высоких и низких скоростей путем соответствующего масштабирования ординаты.
Настройка БОЛЮСА
Характеристики введения БОЛЮСА определяются непосредственным взвешиванием введенного инфузата.
Масштабирование графиков (со ссылкой на испытания по подпунктам с 201.12.1.102 по 201.12.1.107)
В зависимости от типа испытываемого ME ИЗДЕЛИЯ может возникнуть необходимость построения разномасштабных графиков относительных погрешностей объемной скорости потока или скорости капания. Важно, чтобы представленные данные были доступны для понимания, значения погрешностей устройств были сопоставимы и ОПЕРАТОРЫ могли их оценить.
Обоснование алгоритма для расчета Eр(mах) и Ep(min)
Алгоритм вычисления максимальной Eр(mах) и минимальной Ep(min) погрешностей внутри окна наблюдения длительностью Р, мин, за аналитический период Т можно разделить на четыре этапа.
На 1-м этапе вычисляют максимальное число окон наблюдения длительностью Р, мин, за аналитический период Т. Существует максимальное число m таких окон наблюдения. Расчеты выполняют начиная с наименьшего окна наблюдения длительностью S, мин, до наибольшего окна наблюдения длительностью Т, мин.
|
Для наименьшего окна наблюдения |
P = S |
m = T/S. |
|
Для второго по величине окна наблюдения |
P = 2S |
m = T/S - 1. |
|
Для k-го по величине окна наблюдения |
P = kS |
m = T/S - k + 1. |
|
Для наибольшего окна наблюдения |
Р = Т |
m = 1. |
|
Подстановка |
k = P/S |
m = T/S - P/S + 1. |
Следовательно, для любого окна наблюдения длительностью Р, где Р кратно S, существует максимум окон наблюдения m, рассчитываемый по следующей формуле:
.
(AA.1)
На 2-м этапе рассчитывают погрешность объемной скорости потока Ei для каждой последовательной выборки за аналитический период Т. Т.к. Ep(max) и Ep(min) выражаются в процентах, то Qi также должно выражаться в процентах как относительная ошибка номинальной скорости r. На рисунке АА.103 показано, что каждому замеру массы с W0 по Wn ставят в соответствие объемные скорости потока с Q1 по Qn, и, соответственно, погрешности объемной скорости потока с е1 по еn. Необходимо отметить, что Wi - это i-й замер массы за аналитический период Т, а не i-й замер массы за период испытаний. Каждую погрешность еi рассчитывают по следующим формулам:
;
(АА.2)
ei=100(Qi-r)/r.
(АА.3)
На 3-м этапе вычисляют среднюю погрешность объемной скорости потока в каждом окне наблюдения продолжительностью Р. Среднее значение вычисляют суммированием отдельных погрешностей объемной скорости потока в каждом окне наблюдения и делением результата на их общее количество (см. рисунок АА.103).
Данные расчеты повторяют для всех m окон наблюдения, определенных по формуле (АА.1). По формуле (АА.7) вычисляют среднюю погрешность объемной скорости потока Ер для всех окон наблюдения длительностью Р.
Для 1-го окна:
.
(АА.4)
Для 2-го 1) окна:
──────────────────────────────
1) Ошибка в тексте МЭК 60601-2-24:2012. В левой части формулы (АА.5) должно быть Ep (2).
──────────────────────────────
.
(АА.5)
Для окна m 2):
──────────────────────────────
2) Ошибка в тексте МЭК 60601-2-24:2012. В левой части формулы (АА.5) должно быть Ep (m).
──────────────────────────────
.
(АА.6)
Для любого j-го окна в интервале от первого до максимально возможного m-го окна:
.
(АА.7)
На последнем этапе определяют максимальное Eр(mах) и минимальное Ep(min) значения относительных отклонений в окне наблюдения длительностью Р. Данные величины являются максимумами значений Eр(j), вычисленных по формуле (АА.7).
Для максимума:
Ep(max) = Maximum(Ep(1), Ep(2), …, Ep(m))
(AA.8)
или
.
(AA.9)
Для минимума:
Ep(min) = Minimum(Ep(1), Ep(2), …, Ep(m))
(AA.10)
или
.
(AA.11)
Все четыре этапа вычислений могут быть объединены в одно выражение для Eр(mах) и Ep(min):
,
(AA.12)
,
(AA.13)
где
.
Чтобы определить максимальную Ep(max) и минимальную Ep(min) относительную погрешность в каждом окне наблюдения длительностью Р, по формулам (АА.1)-(АА.13) повторно проводят вычисления для каждого нового значения Р, равного 1, 2, 5, 11, 19 и 31 мин.

Рисунок АА.103 - Вычисления Ep(mах) и Ep(min)
АА.4 Обоснование построения "статистического" графика погрешностей объемных скоростей потока
Это обоснование не связано напрямую с нормативными требованиями настоящего стандарта. Однако оно представляет интерес с точки зрения дальнейших исследований для последующих редакций МЭК 60601-2-24 и с точки зрения повседневного использования инфузионных технологий в аспекте применения различных инфузионных насосов одной и той же модели и различных инфузионных магистралей одной и той же марки. Поэтому разброс погрешностей в целом представляет интерес, в т. ч. и для медицинского персонала.
Максимальные значения графика погрешностей объемных скоростей потока определяют численные значения отклонений средней объемной скорости потока в определенных периодах или окнах наблюдения. Указанные отклонения вычисляют только как максимальные и минимальные отклонения от общего среднего значения объемной скорости потока внутри окна наблюдения.
Если качество выборки данных объемной скорости потока хорошее, то максимальные значения графика погрешностей объемных скоростей потока характеризуют кратковременные погрешности ИНФУЗИОННОГО НАСОСА. Однако на выборочные данные объемной скорости потока могут влиять различные искажения в ходе измерений. Очевидные искажения могут включать формирование пузырьков воздуха из растворенного газа или влияние окружающей среды на систему измерений, однако более сложные взаимодействия, такие как артефакты наложения частот или однократные отклонения в работе, также снижают качество выборки данных. Когда качество выборки данных снижается, достоверность и повторяемость значений максимумов графика погрешностей объемных скоростей потока также снижается. Это связано с тем, что методика определения максимальных значений графика погрешностей объемных скоростей потока подразумевает расчет только максимальных и минимальных отклонений от средней объемной скорости потока.
Требуется методика, способная решить две основные задачи. Во-первых, она должна позволять определить отклонение среднего значения объемной скорости потока за определенный интервал измерений. Во-вторых, она должна позволять получить одновременно достоверные и воспроизводимые данные. Обе эти основные задачи должны быть решены применительно к любым инфузионным устройствам.
Остальная часть предложенного является попыткой сформировать методику испытаний, соответствующую указанным первоочередным целям и основанную на расчетах статистических данных о параметрах объемной скорости потока, отражающих эксплуатационные характеристики инфузионных устройств.
Статистический анализ параметров объемной скорости потока
Резюме
Рассматривают произвольный насос, который осуществлял инфузию в течение определенного промежутка времени, достаточного для исключения из анализа артефактов запуска. Тогда объемная скорость потока, измеренная для такого устройства, определяется значением средней объемной скорости потока и отклонениями относительно средней объемной скорости потока. Функция плотности вероятности для долговременной инфузии также характеризуется статистическими данными среднего значения и дисперсии объемной скорости потока.
Функция плотности вероятности для каждого кратковременного окна наблюдения определяет кратковременные показатели инфузионного устройства. В данном случае можно прибегнуть к упрощению, т.к. любое окно наблюдения можно представить в виде ряда средних значений последовательных отдельных замеров внутри окна наблюдения. Поскольку функция плотности вероятности отдельных замеров может быть определена из статистики долговременной инфузии, методика предназначена для определения функции плотности вероятности последовательных средних значений также из статистики долговременной инфузии. Указанные вычисления могут быть выполнены благодаря применению центральной предельной теоремы.
Определение параметров
Рассматривают произвольный насос, который осуществлял инфузию в течение заданного промежутка времени. В соответствии с рисунком АА.104 объемную скорость потока измеряют за интервал выборки Ts, мин, в течение всего периода испытаний, что дает максимум i выборок или точек замера. Для исключения артефактов запуска непрерывный аналитический период выбирается из i выборок.

Рисунок АА.104 - Правило формирования выборок
В соответствии с рисунком АА.105 аналитический период длится Тa, мин, и содержит n выборок. Аналитический период Тa может быть разделен на окна наблюдения длительностью от 1 до l, мин, где максимальная продолжительность окна l может быть выбрана произвольно. Максимальное число окон наблюдения m за период l не является существенным для анализа.

Рисунок АА.105 - Окна наблюдения
Данные определения параметров используют для вычисления максимумов графика погрешностей объемных скоростей потока.
Математический анализ потока
Выходная объемная скорость потока за аналитический период считается основной случайной величиной X и характеризуется некоторой функцией плотности вероятности, из которой берется выборка объемом n.
Выборочное среднее и выборочное среднеквадратическое отклонение основной случайной величины X могут быть аппроксимированы из n выборок с использованием следующих формул:
выборочное среднее значение:
;
(АА.4.1)
выборочное среднеквадратическое отклонение:
.
(АА.4.2)
Если число выборок n велико, то формулы (АА.4.1) и (АА.4.2) достаточно хорошо аппроксимируют истинное среднее по генеральной совокупности и среднеквадратическое отклонение по генеральной совокупности основной случайной величины (см. рисунок АА.106).

Рисунок АА.106 - Распределение основной случайной величины X
Распределение вероятности исходной совокупности определяет распределение вероятности отдельных выборок. Функция плотности вероятности средних значений последовательной выборки может быть определена с применением центральной предельной теоремы.
Центральная предельная теорема:
если случайная величина X имеет математическое ожидание μ и среднеквадратическое отклонение σ и берется n последовательных независимых выборок, то распределение выборочных средних X с увеличением n стремится к нормальному распределению N(μ,σ2/n).
Таким образом, теорема утверждает, что распределение средних значений последовательной выборки будет приблизительно нормальным с математическим ожиданием, эквивалентным основному распределению, а среднеквадратическое отклонение эквивалентно среднеквадратическому отклонению основного распределения, деленному на квадратный корень из объема последовательной выборки величин.
Применение центральной предельной теоремы
Распределение выборочных средних значений для всех окон наблюдения может быть рассчитано теоретически с помощью центральной предельной теоремы из функции плотности вероятности, полученной из распределения основной случайной величины X. Следовательно, функция плотности вероятности по каждому окну наблюдения может быть определена.
|
Окно наблюдения |
Среднее значение |
Среднеквадратическое отклонение |
|
1 мин |
μ |
σ · √Ts |
|
2 мин |
μ |
σ · |
|
l мин |
μ |
σ · |

Рисунок АА.107 - Распределения окон наблюдения
Каждая функция плотности вероятности имеет приблизительно нормальное распределение, поэтому, выбрав доверительный интервал ± 2 среднеквадратических отклонений, можно рассчитать статистические значения погрешностей объемных скоростей потока и отобразить их в виде графика "максимумов" погрешностей объемных скоростей потока.

Рисунок АА.108 - Статистический график погрешностей объемных скоростей потока
Справка об исследованиях по валидации методик вычислений
В целях проверки пригодности применения вычислений предлагаемой статистики погрешностей объемных скоростей потока в качестве метода испытаний ИНФУЗИОННЫХ НАСОСОВ было проведено два исследования.
В 1-м исследовании изучалась точность центральной предельной теоремы в оценке функции плотности вероятности для каждого окна наблюдения и сравнении ее с учетом ± 3 среднеквадратических отклонений с результатами, полученными для максимумов погрешностей объемных скоростей потока. Данное исследование показало, что среднеквадратические отклонения статистически спрогнозированных распределений вероятностей сравнимы качественно, т.е. совпадают с кривыми погрешностей объемных скоростей потока, однако количественно существуют расхождения между измеренными максимумами погрешностей объемных скоростей потока и спрогнозированными границами ± 3σ для каждого окна наблюдения. К наблюдаемым ошибкам приводят неопределенность статистической независимости каждого замера объемной скорости потока и, соответственно, влияние этого фактора на центральную предельную теорему.
Второе исследование рассматривало возможность центральной предельной теоремы спрогнозировать функцию плотности вероятности для каждого окна наблюдения для большой выборки ИНФУЗИОННЫХ НАСОСОВ, основываясь только на типовых испытаниях одного ИНФУЗИОННОГО НАСОСА. Измерения проводились для выборки в десять одинаковых ШПРИЦЕВЫХ ИЛИ КОНТЕЙНЕРНЫХ НАСОСОВ из различных партий. В целях проверки возможности определить усредненные по всем десяти устройствам значения максимумов погрешностей объемных скоростей потока по значениям погрешностей объемных скоростей потока для одного ИНФУЗИОННОГО НАСОСА в пределах ± 3σ были сделаны сравнения для каждого окна наблюдения. Исследование показало, что большая точность прогноза значений погрешностей объемных скоростей потока может быть достигнута лишь при увеличении количества устройств, используемых для прогноза, т.е. типовое испытание одного образца насоса для этих целей не подходит.
В целом вышеописанные исследования показали, что результаты расчета статистики погрешностей объемных скоростей потока с использованием центральной предельной теоремы дают хорошее приближение к результатам, получаемым при расчете максимумов погрешностей объемных скоростей потока, однако данное приближение является недостаточно достоверным.
Приложение ДА
(справочное)
Таблица ДА.1
|
Обозначение ссылочного международного стандарта |
Степень соответствия |
Обозначение и наименование соответствующего национального/межгосударственного стандарта |
|
IEC 60601-1-2:2007 |
IDT |
ГОСТ Р МЭК 60601-1-2-2014 "Изделия медицинские электрические. Часть 1-2. Общие требования безопасности с учетом основных функциональных характеристик. Параллельный стандарт. Электромагнитная совместимость. Требования и испытания" |
|
IEC 60601-1-6:2010 |
IDT |
ГОСТ Р МЭК 60601-1-6-2014 "Изделия медицинские электрические. Часть 1-6. Общие требования безопасности с учетом основных функциональных характеристик. Дополнительный стандарт. Эксплуатационная пригодность" |
|
IEC 60601-1-8:2006 |
- |
* |
|
IEC 60601-1:2005+А1:2012 |
- |
* |
|
ISO 3696:1987 |
MOD |
ГОСТ Р 52501-2005 (ИСО 3696:1987) "Вода для лабораторного анализа. Технические условия" |
|
ISO 7864 |
IDT |
ГОСТ ISO 7864-2011 "Иглы инъекционные однократного применения стерильные" |
|
ISO 8536-4 |
- |
* |
|
* Соответствующий национальный стандарт отсутствует. До его принятия рекомендуется использовать перевод на русский язык данного международного стандарта. Примечание - В настоящей таблице использованы следующие условные обозначения степени соответствия стандартов: - IDT - идентичные стандарты; - MOD - модифицированные стандарты. | ||
Библиография
IEC 61000-4-2, Electromagnetic compatibility (EMC) - Part 4-2: Testing and measurement techniques - Electrostatic discharge immunity test
|
БЕЗОПАСНОЕ ПРИ ЕДИНИЧНОМ НАРУШЕНИИ |
МЭК 60601-1:2005+А1:2012, 3.117 |
|
ВНУТРЕННИЙ ИСТОЧНИК ПИТАНИЯ |
МЭК 60601-1:2005+А1:2012, 3.45 |
|
ВОЛЮМЕТРИЧЕСКИЙ ИНФУЗИОННЫЙ КОНТРОЛЛЕР |
201.3.222 |
|
ВОЛЮМЕТРИЧЕСКИЙ ИНФУЗИОННЫЙ НАСОС |
201.3.223 |
|
ВРЕД |
МЭК 60601-1:2005+А1:2012, 3.38 |
|
ВЫСОКИЙ ПРИОРИТЕТ |
МЭК 60601-1-8:2006, 3.22 |
|
ЗВУКОВАЯ СИГНАЛИЗАЦИЯ ПРИОСТАНОВЛЕНА |
МЭК 60601-1-8:2006, 3.13 |
|
ИЗГОТОВИТЕЛЬ |
МЭК 60601-1:2005+А1:2012, 3.55 |
|
ИЗДЕЛИЕ С ВНУТРЕННИМ ИСТОЧНИКОМ ПИТАНИЯ |
МЭК 60601-1:2005+А1:2012, 3.46 |
|
ИМПУЛЬС |
МЭК 60601-1-8:2006, 3.32 |
|
ИНТЕРВАЛ ЗАМЕНЫ ИНФУЗИОННОЙ МАГИСТРАЛИ |
201.3.202 |
|
ИНТЕРВАЛ МЕЖДУ СЕРИЯМИ ИМПУЛЬСОВ |
МЭК 60601-1-8:2006, 3.25 |
|
ИНСТРУМЕНТ |
МЭК 60601-1:2005+А1:2012, 3.127 |
|
ИСПЫТАТЕЛЬНЫЙ УРОВЕНЬ ПРИ ИСПЫТАНИЯХ НА ПОМЕХОУСТОЙЧИВОСТЬ |
МЭК 60601-1-2:2007, 3.15 |
|
ИНФУЗИОННАЯ МАГИСТРАЛЬ |
201.3.201 |
|
ИНФУЗИОННЫЙ НАСОС |
201.3.206 |
|
ИНФУЗИОННЫЙ НАСОС ДЛЯ АМБУЛАТОРНОГО ИСПОЛЬЗОВАНИЯ |
201.3.207 |
|
ЛИНИЯ ПАЦИЕНТА |
201.3.216 |
|
ЛИНИЯ ПОДАЧИ |
201.3.219 |
|
МАКСИМАЛЬНОЕ ДАВЛЕНИЕ ИНФУЗИИ |
201.3.210 |
|
МАКСИМАЛЬНО ВОЗМОЖНАЯ СКОРОСТЬ |
201.3.212 |
|
ME ИЗДЕЛИЕ или ME СИСТЕМА ЖИЗНЕОБЕСПЕЧЕНИЯ |
МЭК 60601-1-2:2007, 3.18 |
|
МЕДИЦИНСКОЕ ЭЛЕКТРИЧЕСКОЕ ИЗДЕЛИЕ (ME ИЗДЕЛИЕ) |
МЭК 60601-1:2005+А1:2012, 3.63 |
|
МЕДИЦИНСКАЯ ЭЛЕКТРИЧЕСКАЯ СИСТЕМА (ME СИСТЕМА) |
МЭК 60601-1:2005+А1:2012, 3.64 |
|
МЕНЕДЖМЕНТ РИСКА |
МЭК 60601-1:2005+А1:2012, 3.107 |
|
МЕХАНИЧЕСКАЯ ОПАСНОСТЬ |
МЭК 60601-1:2005+А1:2012, 3.61 |
|
МИНИМАЛЬНАЯ СКОРОСТЬ |
201.3.211 |
|
МИНИМАЛЬНО ВОЗМОЖНАЯ СКОРОСТЬ |
201.3.213 |
|
НАЗНАЧЕННЫЙ БОЛЮС |
201.3.203 |
|
НАСОС ДЛЯ ЭНТЕРАЛЬНОГО ПИТАНИЯ |
201.3.204 |
|
НЕПРЕДНАМЕРЕННЫЙ БОЛЮС |
201.3.221 |
|
НИЗКИЙ ПРИОРИТЕТ |
МЭК 60601-1-8:2006, 3.27 |
|
НОРМАЛЬНАЯ ЭКСПЛУАТАЦИЯ |
МЭК 60601-1:2005+А1:2012, 3.71 |
|
ОБЛАСТЬ КОНТРОЛЯ |
201.3.217 |
|
ОПАСНАЯ СИТУАЦИЯ |
МЭК 60601-1:2005+А1:2012, 3.40 |
|
ОПАСНОСТЬ |
МЭК 60601-1:2005+А1:2012, 3.39 |
|
ОПЕРАТОР |
МЭК 60601-1:2005+А1:2012, 3.73 |
|
ОСНОВНАЯ БЕЗОПАСНОСТЬ |
МЭК 60601-1:2005+А1:2012, 3.10 |
|
ОСНОВНЫЕ ФУНКЦИОНАЛЬНЫЕ ХАРАКТЕРИСТИКИ |
МЭК 60601-1:2005+А1:2012, 3.27 |
|
ОЦЕНКА РИСКА |
МЭК 60601-1:2005+А1:2012, 3.104 |
|
ПАЦИЕНТ |
МЭК 60601-1:2005+А1:2012, 3.76 |
|
ПИТАЮЩАЯ СЕТЬ |
МЭК 60601-1:2005+А1:2012, 3.120 |
|
ПОРОГ ДАВЛЕНИЯ ОККЛЮЗИИ |
201.3.214 |
|
ПРЕДУСМОТРЕННОЕ ПРИМЕНЕНИЕ |
МЭК 60601-1:2005+А1:2012, 3.44 |
|
ПРИНАДЛЕЖНОСТЬ |
МЭК 60601-1:2005+А1:2012, 3.3 |
|
ПРОГРАММИРУЕМАЯ ЭЛЕКТРИЧЕСКАЯ МЕДИЦИНСКАЯ СИСТЕМА |
МЭК 60601-1:2005+А1:2012, 3.90 |
|
ПРОДОЛЖИТЕЛЬНЫЙ РЕЖИМ РАБОТЫ |
МЭК 60601-1:2005+А1:2012, 3.18 |
|
ПРОФИЛИРУЕМЫЙ НАСОС |
201.3.218 |
|
ПРОЦЕСС |
МЭК 60601-1:2005+А1:2012, 3.89 |
|
РАБОЧАЯ ЧАСТЬ |
МЭК 60601-1:2005+А1:2012, 3.8 |
|
РАБОЧАЯ ЧАСТЬ ТИПА BF |
МЭК 60601-1:2005+А1:2012, 3.133 |
|
РАБОЧАЯ ЧАСТЬ ТИПА CF |
МЭК 60601-1:2005+А1:2012, 3.134 |
|
РИСК |
МЭК 60601-1:2005+А1:2012, 3.102 |
|
СВОБОДНЫЙ ПОТОК |
201.3.205 |
|
СЕРИЯ ИМПУЛЬСОВ |
МЭК 6060-1-8:2006, 3.14 |
|
СИГНАЛ ОПАСНОСТИ |
МЭК 6060-1-8:2006, 3.9 |
|
СКОРОСТЬ В РЕЖИМЕ ОТКРЫТОЙ ВЕНЫ |
201.3.209 |
|
СРЕДНИЙ ПРИОРИТЕТ |
МЭК 60601-1-8:2006, 3.28 |
|
СРЕДНЯЯ СКОРОСТЬ |
201.3.208 |
|
СТОРОНА ПАЦИЕНТА |
201.3.215 |
|
ТЕХНИЧЕСКОЕ УСЛОВИЕ ВОЗНИКНОВЕНИЯ СИГНАЛА ОПАСНОСТИ |
МЭК 60601-1-8:2006, 3.36 |
|
ТОК УТЕЧКИ |
МЭК 60601-1:2005+А1:2012, 3.47 |
|
УСЛОВИЕ ВОЗНИКНОВЕНИЯ СИГНАЛА ОПАСНОСТИ |
МЭК 60601-1-8:2006. 3.1 |
|
УСЛОВИЯ ЕДИНИЧНОГО НАРУШЕНИЯ |
МЭК 60601-1:2005+А1:2012, 3.116 |
|
ФАЙЛ МЕНЕДЖМЕНТА РИСКА |
МЭК 60601-1:2005+А1:2012, 3.108 |
|
ШПРИЦЕВОЙ ИЛИ КОНТЕЙНЕРНЫЙ НАСОС |
201.3.220 |
|
ЭКСПЛУАТАЦИОННЫЙ ДОКУМЕНТ |
МЭК 60601-1:2005+А1:2012, 3.4 |


