ГОСТ IEC 62612-2019 ЛАМПЫ СВЕТОДИОДНЫЕ СО ВСТРОЕННЫМ УСТРОЙСТВОМ УПРАВЛЕНИЯ ДЛЯ ОБЩЕГО ОСВЕЩЕНИЯ НА НАПРЯЖЕНИЯ СВЫШЕ 50 В. ЭКСПЛУАТАЦИОННЫЕ ТРЕБОВАНИЯ
Self-ballasted LED lamps for general lighting services with supply voltages > 50 V. Performance requirements
МКС 29.140.99
IDT
Дата введения - 1 мая 2020 г.
Введен впервые
Предисловие
Цели, основные принципы и общие правила проведения работ по межгосударственной стандартизации установлены ГОСТ 1.0 "Межгосударственная система стандартизации. Основные положения" и ГОСТ 1.2 "Межгосударственная система стандартизации. Стандарты межгосударственные, правила и рекомендации по межгосударственной стандартизации. Правила разработки, принятия, обновления и отмены"
Сведения о стандарте
1 Подготовлен Обществом с ограниченной ответственностью "Научно-исследовательский институт источников света имени А.Н. Лодыгина" (ООО "НИИИС имени А.Н. Лодыгина") на основе собственного перевода на русский язык англоязычной версии стандарта, указанного в пункте 5
2 Внесен Межгосударственным техническим комитетом по стандартизации МТК 332 "Светотехнические изделия, освещение искусственное"
3 Принят Межгосударственным советом по стандартизации, метрологии и сертификации (протокол от 30 октября 2019 г. N 123-П)
За принятие проголосовали:
|
Краткое наименование страны по МК (ИСО 3166) 004-97 |
Код страны по МК (ИСО 3166) 004-97 |
Сокращенное наименование национального органа по стандартизации |
|
Армения |
AM |
Минэкономики Республики Армения |
|
Беларусь |
BY |
Госстандарт Республики Беларусь |
|
Киргизия |
KG |
Кыргызстандарт |
|
Россия |
RU |
Росстандарт |
|
Узбекистан |
UZ |
Узстандарт |
4 Приказом Федерального агентства по техническому регулированию и метрологии от 30 октября 2019 г. N 1164-ст межгосударственный стандарт ГОСТ IEC 62612-2019 введен в действие в качестве национального стандарта Российской Федерации с 1 мая 2020 г.
5 Настоящий стандарт идентичен международному стандарту IEC 62612:2015 "Лампы светодиодные со встроенным устройством управления для общего освещения на напряжения свыше 50 В. Эксплуатационные требования" ("Self-ballasted LED lamps for general lighting services with supply voltages > 50 V - Performance requirements", IDT).
Международный стандарт разработан подкомитетом 34А "Лампы" технического комитета по стандартизации IEC/TC 34 "Лампы и связанное с ними оборудование" Международной электротехнической комиссии (IEC).
В тексте настоящего стандарта применено шрифтовое выделение курсивом при описании методов испытаний.
При применении настоящего стандарта рекомендуется использовать вместо ссылочных международных стандартов и документов соответствующие им межгосударственные стандарты, сведения о которых приведены в дополнительном приложении ДА
6 Введен впервые
7 Некоторые элементы настоящего стандарта могут быть объектом патентного права. IEC не несет ответственности за установление подлинности каких-либо или всех таких патентных прав
Настоящий стандарт устанавливает эксплуатационные требования, а также методы и условия испытаний, требуемые для подтверждения соответствия светодиодных ламп (далее - СД-ламп) со встроенными устройствами управления (далее - УУ), предназначенные для бытового и аналогичного общего освещения и имеющие:
- номинальную мощность до 60 Вт включительно;
- номинальное напряжение переменного тока от 50 до 250 В включительно;
- цоколи по IEC 62560.
Настоящие эксплуатационные требования дополняют требования безопасности по IEC 62560.
Если стандарт используют для замены СД-ламп, то он обеспечивает только наибольшие размеры СД-ламп.
Требования настоящего стандарта относят к испытанию типа. Настоящий стандарт охватывает СД-лампы белого света на основе неорганических светодиодов.
Рекомендации по испытаниям всей продукции или партии в стадии рассмотрения.
Срок службы СД-ламп во многих случаях намного больше практического времени испытания. Поэтому подтверждение установленного изготовителем срока службы не может быть проведено достаточно достоверно, так как данные испытаний за больший промежуток времени не стандартизованы. По этой причине приемка или браковка к установленному изготовителем сроку службы после истечения рабочего времени, указанного в 7.1, не входит в область применения настоящего стандарта.
Вместо подтверждения срока службы настоящий стандарт устанавливает коды стабильности светового потока за заданное ограниченное время испытания. Поэтому данный цифровой код не предполагает прогноз достижимого срока службы. Категории, представленные кодом - это категории снижения светового потока, согласованные с информацией изготовителя, представленной до начала испытания.
Для подтверждения установленного изготовителем срока службы существует несколько методов экстраполяции данных испытаний. Общий метод экстраполяции данных испытаний за ограниченное время испытания в стадии рассмотрения.
Критерий соответствует/не соответствует при испытании срока службы, установленный в настоящем стандарте, отличается от критерия срока службы, установленного изготовителем. Объяснение рекомендуемого срока службы - в соответствии с приложением Е.
Примечание - При работе светильника его установленные эксплуатационные данные могут отличаться от значений, установленных в настоящем стандарте из-за, например, компонентов светильника, которые влияют на параметры СД-лампы.
Предполагают, что СД-лампы со встроенными УУ будут зажигаться и удовлетворительно работать при напряжениях от 92 % до 106 % номинального питающего напряжения при температуре окружающей среды от минус 20 °С до плюс 40 °С в светильнике, удовлетворяющем IEC 60598-1.
Если поставщик заявляет пригодность работы при различных условиях (например, при более высоких напряжении, температуре или влажности), тогда СД-лампы:
a) испытывают при установленных других условиях;
b) должны зажигаться и удовлетворительно работать при установленных других условиях;
c) должны удовлетворять исполнению, указанному при установленных других условиях, которые могут отличаться от общих условий измерения, указанных в А.1.
В настоящем стандарте использованы нормативные ссылки на следующие стандарты (документы). Для датированных ссылок применяют только указанное издание ссылочного стандарта, для недатированных - последнее издание (включая все изменения):
IEC 60050 (all parts), International Electrotechnical Vocabulary (available at
IEC 60068-2-14, Environmental testing - Part 2-14: Tests - Test N: change of temperature (Испытание на воздействие внешних факторов. Часть 2-14. Испытания. Испытание N. Изменение температуры)
IEC 60081, Double-capped fluorescent lamps - Performance specifications (Лампы люминесцентные двухцокольные. Эксплуатационные требования)
IEC 60630, Maximum lamp outlines for incandescent lamps (Наибольшие контуры ламп накаливания)
IEC 61000-3-2:2005 1), Electromagnetic compatibility (EMC) - Part 3-2: Limits - Limits for harmonic current emissions (equipment input current ≤ 16 A per phase), Amendment 2:2009 [Совместимость электромагнитная. Часть 3-2. Предельные значения. Предельные значения для гармонических составляющих тока (входной ток оборудования ≤ 16 А на фазу), Изменение 2:2009]
──────────────────────────────
1) Заменен на IEC 61000-3-2:2018. Однако для однозначного соблюдения требования настоящего стандарта, выраженного в датированной ссылке, рекомендуется использовать только указанное в этой ссылке издание.
──────────────────────────────
IEC 61000-4-7, Electromagnetic compatibility (EMC) - Part 4-7: Testing and measurement techniques. General guide on harmonics and interharmonics measurements and instrumentation, for power supply systems and equipment connected thereto (Совместимость электромагнитная. Часть 4-7. Техника испытания и измерения. Общее руководство по измерению гармоник и межгармоник и контрольно-измерительные приборы для систем источника питания и присоединенного оборудования)
IEC/TR 61341, Method of measurement of centre beam intensity and beam angle(s) of reflector lamps (Метод измерения осевой силы света и углов излучения рефлекторных ламп)
IEC/TS 62504, General lighting - LEDs and LED modules - Terms and definitions (Общее освещение. Светодиоды и светодиодные модули. Термины и определения)
IEC 62560, Self-ballasted LED lamps for general lighting services with supply voltage > 50 V - Safety specifications (Лампы светодиодные со встроенным устройством управления для общего освещения на напряжения свыше 50 В. Требования безопасности)
IEC/TR 62732, Three-digit code for designation of colour rendering and correlated colour temperature (Трехзначный код для обозначения цветопередачи и коррелированной цветовой температуры)
CIE 13.2:1974, Methods of measuring and specifying colour rendering of light sources (Метод измерения и определения цветопередающих свойств источников света)
CIE 13.3:1995, Methods of measuring and specifying colour rendering of light sources (Метод измерения и определения цветопередающих свойств источников света)
CIE S 017/Е:2011, ILV: International Lighting Vocabulary (Международный светотехнический словарь)
CIE 121:1996, The photometry and goniophotometry of luminaires (Фотометрия и гониофотометрия светильников)
CIE 177:2007, Colour rendering of white LED light sources (Цветопередача белых светодиодных источников света)
В настоящем стандарте применены термины по IEC/TS 62504, IEC 60050-845, а также следующие термины с соответствующими определениями:
3.1 номинальное значение (rated value): Значение характеристики СД-лампы при заданных рабочих условиях.
Примечание - Значения и условия приведены в настоящем стандарте или установлены изготовителем или ответственным поставщиком.
3.2 номинальное напряжение (rated voltage): Напряжение, при котором проводят испытания.
Примечание - Спецификация испытательного напряжения приведена в А.2 (приложение А).
3.3 стабильность светового потока (СД-лампы) [lumen maintenance (of an LED lamp)]: Отношение светового потока СД-лампы в заданное время срока службы к начальному световому потоку при работе СД-лампы в заданных условиях.
Примечания
1 Это отношение х обычно выражают в процентах.
2 Стабильность светового потока СД-лампы - это эффект падения светового потока или комбинация его с отказами СД, если СД-лампа содержит в себе несколько СД.
[IEC 60050-845:1987, 845.07.65, измененный - добавлено сокращение "СД" и примечание 2]
3.4 начальное значение (initial value): Фотометрические, цветовые и электрические параметры после отжига и времени стабилизации.
3.5 сохраненное значение (maintained value): Фотометрические, цветовые и электрические параметры рабочего времени, включая время стабилизации.
Примечание - Время работы установлено в 7.1.
3.6 срок службы (каждой СД-лампы) Lx [life (of an individual LED lamp), Lx]: Время, в течение которого СД-лампа обеспечивает не менее заявленного процента начального светового потока, при стандартных условиях испытания.
Примечания
1 СД-лампа достигает окончания срока службы при необеспечении заявленного процента начального светового потока. Срок службы указывают как срок службы (Lx), определяемый совместно стабильностью светового потока (х) и долей отказов (Fy) (см. 3.8).
2 Однако любое встроенное электронное УУ может неожиданно отказать. Определение по 3.6 дает основание предположить, что СД-лампа, которая не светит из-за отказа электроники, фактически достигает окончания срока службы, так как СД-лампа больше не удовлетворяет минимальному световому потоку, заявленному изготовителем или ответственным поставщиком.
3.7 номинальный срок службы (rated lamp live): Время, в течение которого совокупность СД-ламп обеспечивает не менее заявленного процента х светового потока и менее или равное заявленного процента у доли отказов, установленного изготовителем или ответственным поставщиком.
Примечания
1 Объем выборки см. в разделе 7.
2 Применимы примечания 1 и 2 к 3.6.
3 Номинальный срок службы выражают в часах.
3.8 доля отказов при номинальном сроке службы Fy (failure fraction at rated life, Fy): Процент у числа СД-ламп одного типа, который при номинальном сроке службы обозначает процент (долю) отказов.
Примечания
1 Настоящая доля отказов выражает совместное влияние всех компонентов СД-ламп, включая механические, касающиеся фотометрических параметров. Это может выражаться или световым потоком, менее установленного, или полным отсутствием света.
2 Для СД-ламп со встроенными УУ применяют долю отказов 10 % и/или 50 %, обозначая F10 и/или F50.
3.9 фотометрический код (photometric code): Обозначение цвета СД-ламп белого света, определенное коррелированной цветовой температурой (КЦТ) и общим индексом цветопередачи по CIE 13.2:1974.
Примечания
1 В IEC/TS 62504 определение фотометрического кода приведено как обозначение цвета света.
2 Определение фотометрического кода может быть в дальнейшем пересмотрено относительно IEC/TR 62732.
3.10 время стабилизации (stabilization time): Время, необходимое для достижения стабильности фотометрических параметров СД-ламп после подачи питающего напряжения при каждом измерении.
Примечание - СД-лампу считают стабилизированной после достижения теплового равновесия.
3.11 отжиг (ageing): Период предварительной выдержки СД-ламп до снятия начальных значений.
3.12 тип (type): СД-лампа, представляющая продукцию.
3.13 семейство (family): Группа СД-ламп одной и той же конструкции, имеющих общие свойства материалов, компонентов и/или метода изготовления.
3.14 испытание типа (type test): Испытание на соответствие одной или нескольких СД-ламп, представляющих продукцию.
[IEC 60050-151:2001, 151.16.16, измененный - слово "предметы" заменено на "СД-лампы"]
3.15 выборка для испытания типа (type test sample): Одна или несколько СД-ламп, представленных изготовителем или ответственным поставщиком для испытания типа.
3.16 световая отдача СД-лампы (LED lamp efficacy): Отношение светового потока к мощности, потребляемой СД-лампой.
Примечание - Световую отдачу выражают в лм/Вт.
3.17 СД-кристалл (LED die): Полупроводниковый материал, выполненный по данной функциональной схеме.
Примечание - Схематические примеры СД-кристаллов см. на рисунке F.1.
3.18 корпусированный СД (LED package): Единый электрический узел, который содержит в себе один или несколько СД-кристаллов, а также может содержать в себе, оптические элементы и термические, механические и электрические интерфейсы.
Примечания
1 Узел не содержит устройство управления, устройство регулирования и цоколь, его не подключают напрямую к питающему напряжению.
2 Корпусированный СД является отдельным узлом или частью СД-лампы. Схематические примеры корпусированных СД приведены на рисунке F.2.
3.19 точка tLED (tLED-point): Обозначение расположения точки, в которой измеряют эксплуатационную температуру tLED на поверхности корпусированного СД.
3.20 коэффициент смещения (displacement factor): Выражают через cosφ1, где φ1 - это фазный угол между основной составляющей сетевого питающего напряжения и основной составляющей сетевого тока.
3.21 СД-лампа направленного света (directional lamp): СД-лампа со световым потоком не менее 80 % в телесном углу π, ср (соответствует углу конуса 120°).
СД-лампы, соответствующие настоящему стандарту, должны удовлетворять IEC 62560. Измерение параметров СД-ламп см. в приложении А.
Предполагают, что СД-лампы со встроенными УУ, удовлетворяющие настоящему стандарту, будут зажигаться и удовлетворительно работать при напряжениях от 92 % до 106 % номинального питающего напряжения при температуре окружающей среды от минус 20 °С до плюс 40 °С в светильнике, удовлетворяющем IEC 60598-1.
Для соответствия требованиям электромагнитной совместимости приведена ссылка на региональные требования. Соответствующие стандарты приведены в библиографии.
В дополнение к IEC 62560 данные по маркировке в таблице 1 должны быть представлены изготовителем или ответственным поставщиком и размещены в соответствии с 5.2.
Места расположения маркировки представлены в таблице 1.
Таблица 1
|
Характеристика |
Изделие |
Упаковка |
Листы с параметрами изделия, отрывные листы или веб-сайт |
|
а) Номинальный световой поток, лм, осевая сила света и угол излучения (см. примечание 1) |
x |
x |
x |
|
b) Фотометрический код СД-лампы (см. приложение В) |
- |
x |
x |
|
с) Номинальный срок службы, ч, и стабильность светового потока (х) |
- |
x |
x |
|
d) Доля отказов (Fv), соответствующая номинальному сроку службы |
- |
x |
x |
|
е) Код стабильности светового потока (см. таблица 5) |
- |
- |
x |
|
f) Номинальный цвет (например, от F 2700 до F 6500, таблица 3), включая начальные и сохраненные категории колебания цвета (таблица 4) |
- |
x |
x |
|
g) Номинальный индекс цветопередачи |
- |
x |
x |
|
h) Время отжига, ч, если отличается от 0 ч |
- |
- |
x |
|
i) Номинальная световая отдача, лм/Вт (см. примечание 2) |
- |
- |
x |
|
j) Размеры с допусками |
- |
- |
x |
|
k) Коэффициент смещения (см. примечание 3 и приложение D) |
- |
- |
x |
|
Это минимальные требования. Они могут быть исключены или дополнены региональными требованиями к маркировке. Примечания 1 Для СД-ламп направленного света осевую силу света и угол излучения измеряют согласно IEC/TR 61341. 2 Световую эффективность СД-ламп направленного света классифицируют по световому потоку в конусе с углом 120° (π, ср) или в конусе с углом 90° (0,6 π, ср), см. А.3.2. 3 В Японии применяют коэффициент мощности вместо коэффициента смещения. "х" - требуется; "-" - не требуется. | |||
Размеры СД-ламп должны соответствовать указанным изготовителем или ответственным поставщиком. Если применяют контуры по IEC 60630, то максимальные контуры не должны быть превышены.
Если светильник или любое покрытие на нем (если имеется) не искажают размеры СД-ламп, то такие СД-лампы также считают пригодными для замены.
Проверку проводят внешним осмотром.
Длительность испытания составляет 25 % номинального срока службы, но не более 6000 ч.
Дополнительные СД-лампы одного семейства (см. 3.13) могут быть подвергнуты уменьшенной продолжительности испытания. Идентификация семейства приведена в таблице 2, подробности по объему выборки для испытания СД-ламп семейства приведены в таблице 6.
Условия испытаний электрических и фотометрических параметров, стабильности светового потока и срока службы приведены в приложении А.
Испытания проводят на "n" СД-лампах одного типа. Число "n" - это минимальное число изделий, приведенное в таблице 6. СД-лампы, испытанные на долговечность, не используют для других испытаний.
СД-лампы с диммированием устанавливают на максимальный световой поток при всех испытаниях.
СД-лампы с изменяемой КЦТ устанавливают на одно фиксированное значение, указанное изготовителем или ответственным поставщиком.
Семейства СД-ламп создают с целью стимулирования изготовителей СД-ламп к расчету программы и таким образом дают возможность использовать данные по имеющимся базовым изделиям, которые уже испытаны в течение времени, указанного в 7.1. Базовым изделием считают первую СД-лампу, удовлетворяющую требованиям настоящего стандарта и являющуюся частью семейства.
Каждое семейство СД-ламп требует рассмотрения в каждом конкретном случае. В семейство могут быть включены СД-лампы только одного изготовителя с аттестованной системой менеджмента качества. Виды разбросов в ряду (например, КЦТ) (см. 10.1) должны быть идентичны по отношению к использованным материалам, компонентам и примененной конструкции. Образцы для испытания типа выбирают по согласованию между изготовителем и испытательным органом.
Требования для идентификации семейства СД-ламп для испытания типа приведены в определении 3.13 и применены в таблице 2.
Время испытания для семейства СД-ламп может быть уменьшено до 1 000 ч 1) в том случае, если разброс частных характеристик соответствует условиям приемки, указанным в таблице 2.
──────────────────────────────
1) В стадии рассмотрения.
──────────────────────────────
|
Частная характеристика, для которой допускается разброс (см. примечание 2) |
Условия для приемки |
|
Корпус/рама, радиатор/управление нагревом |
tLED (размещение и значение дает поставщик) и других компонентов остаются при том же или более низком значении, если номинальный срок службы тот же или больший, чем у базового изделия, указанного и определенного изготовителем или ответственным поставщиком (см. также примечание 1) |
|
Оптика (см. примечание 1) |
Результаты испытаний, показывающие влияние изменения оптического материала, должны быть приведены в техническом файле изготовителя |
|
Корпусированный СД |
tLED имеет то же или более низкое значение, если номинальный срок службы тот же или больший, чем у базового изделия, указанного и определенного изготовителем или ответственным поставщиком |
|
Устройство управления |
tLED имеет то же или более низкое значение, если номинальный срок службы тот же или больший, чем у базового изделия, указанного и определенного изготовителем или ответственным поставщиком. Подсчитанная изготовителем на основе средней наработки на отказ скорость отказов должна быть равна или менее скорости отказов устройства управления |
|
Примечания 1 К оптике относят, например, вторичную оптику (линзы), отражатели, оправки, прокладки и их взаимосвязь. Результатами являются изменения светового потока, пиковой силы света, распределения силы света, угла излучения, смещения координат цветности, КЦТ (см.10.1) и индекса цветопередачи (ИЦ) (см.10.2). 2 Любое изменение частных допусков указывает изготовитель в техническом файле. 3 Примеры в стадии рассмотрения. | |
Эксплуатационные характеристики семейства СД-ламп, приведенные ниже, в начале испытания и по истечении уменьшенного времени испытания должны соответствовать значениям, заявленным изготовителем или ответственным поставщиком:
- координаты цветности;
- индекс цветопередачи;
- код стабильности светового потока;
- результаты ускоренных испытаний на срок службы.
Документация с данными должна быть предоставлена испытательному центру изготовителем в техническом файле.
Соответствие:
Для всех испытанных СД-ламп в выборке измеренные значения СД-ламп (начальные и сохраненные) не должны выходить за пределы значений, указанных изготовителем или ответственным поставщиком. Измеренные значения должны быть той же категории или кода, что и представленные значения, или лучше. Все СД-лампы в выборке должны пройти испытание.
Условия см. в приложении А.
Соответствие:
Начальная мощность, потребляемая каждой СД-лампой в измеряемом образце, не должна превышать номинальную мощность более чем на 10 %.
Средняя начальная мощность, потребляемая СД-лампами в измеряемых образцах, не должна превышать номинальную мощность более чем на 7,5 %.
Коэффициент смещения СД-ламп со встроенными УУ измеряют в соответствии с приложением С. СД-лампы с диммированием должны быть отрегулированы на максимальный световой поток.
Примечания
1 В Японии вместо коэффициента смещения применяют коэффициент мощности.
2 В приложении D приведены объяснение и зависимость коэффициента смещения, коэффициента искажения и коэффициента мощности.
3 Коэффициент искажения приведен по IEC 61000-3-2, в котором установлены ограничения гармонических составляющих тока, вводимых в общедоступную систему электропитания.
Соответствие:
Измеренный коэффициент смещения для каждой СД-лампы выборки не должен быть менее маркированного значения более чем на 0,05.
Для СД-ламп ненаправленного света номинальный световой поток рекомендуется устанавливать из ряда значений:
100 лм, 150 лм, 250 лм, 350 лм, 500 лм, 800 лм, 1000 лм, 1500 лм, 2000 лм, 3000 лм.
Примечание - В Японии категории светового потока определены в JIS C 8158:2012.
Световой поток измеряют в соответствии с приложением А.
Соответствие:
Начальный световой поток каждой СД-лампы в измеренной выборке не должен быть менее номинального светового потока более чем на 10 %.
Средний световой поток СД-ламп в измеренной выборке не должен быть менее номинального светового потока более чем на 7,5 %.
Требования 9.2.4 и 9.2.5 применимы к СД-лампам направленного (точечного) распределения силы света.
Для конкретного применения СД-ламп может быть задано определенное распределение силы света.
Силу света СД-ламп в разных направлениях измеряют гониофотометром. Все фотометрические параметры должны быть установлены для СД-ламп, работающих при температуре, приведенной в А.1.
Допускаемый разброс фотометрических параметров, детализированный в последующих пунктах, учитывают при изготовлении.
Начальное распределение силы света должно соответствовать установленным изготовителем.
Соответствие в стадии рассмотрения.
──────────────────────────────
1) Критерий соответствия по среднему значению пиковой силы света в стадии рассмотрения.
──────────────────────────────
Если значение пиковой силы света устанавливает изготовитель или ответственный поставщик, то начальная пиковая сила света каждой СД-лампы в измеренной выборке должна быть не менее 75 % номинальной силы света.
Проверку проводят согласно приложению А.
──────────────────────────────
2) Критерий соответствия по среднему значению угла излучения в стадии рассмотрения.
──────────────────────────────
Если значение угла излучения устанавливает изготовитель или ответственный поставщик, то начальное значение угла излучения каждой СД-лампы в измеренной выборке не должно отклоняться от номинального значения более чем на 25 %.
Проверку проводят согласно приложению А.
Световую отдачу СД-лампы рассчитывают путем деления измеренного начального светового потока на измеренную начальную входную мощность той же СД-лампы. Измерение светового потока приведено в А.3.3.
Соответствие:
Для всех испытанных СД-ламп в выборке световая отдача СД-лампы должна быть не менее 80 % номинальной световой отдачи, заявленной изготовителем или ответственным поставщиком.
В соответствии с приложением D IEC 60081 предпочтительно, чтобы номинальным цветом СД-лампы было одно из следующих значений:
F 2700, Р 2700, F 3000, F 3500, F 4000, F 5000 или F 6500.
Стандартные координаты цветности и соответствующие им значения КЦТ (см. CIE S 017/Е:2011) приведены в таблице 3 для справки (IEC 60081, D.2, измененное):
|
Маркировка цвета |
КЦТ, Тс |
Координаты цветности | |
|
x |
y | ||
|
F 6500 |
6400 |
0,313 |
0,337 |
|
F 5000 |
5000 |
0,346 |
0,359 |
|
F 4000 |
4040 |
0,380 |
0,380 |
|
F 3500 |
3450 |
0,409 |
0,394 |
|
F 3000 |
2940 |
0,440 |
0,403 |
|
F 2700 |
2720 |
0,463 |
0,420 |
|
Р 2700 |
2700 |
0,458 |
0,410 |
|
Буквы в маркировке цвета обозначают следующее: F - значения по IEC 60081, приложение D; Р - значение, близкое к кривой Планка. | |||
Измеряют начальные координаты цветности. Второе измерение сохраненных координат цветности проводят по истечении рабочего времени, указанного в 7.1. Измеренные фактические координаты цветности (начальные и сохраненные) должны подпадать под категории 1-4 (см. таблицу 4), которые соответствуют частным эллипсам МакАдама, основанным на номинальных значениях координат цветности, в то время как размер эллипса (выраженный n-шагами) - это мера допуска или отклонения для каждой СД-лампы.
Соответствие:
Для всех испытанных СД-ламп в выборке измеренные значения координат цветности (начальные и сохраненные) не должны выходить за допускаемую категорию координат цветности, указанную изготовителем или ответственным поставщиком (см. таблицу 1). Измеренные значения должны быть той же категории, что и номинальные, или лучше. Образцы СД-ламп в выборку для измерения координат цветности отбирают из четырех разных партий 1).
──────────────────────────────
1) Разброс цвета между СД-лампами в выборке от разных изготовителей имеет сходство с разбросом в течение длительных периодов производства.
──────────────────────────────
КЦТ и координаты цветности измеряют согласно приложению А.
|
Размер эллипса МакАдама с расчетной цветовой задачей в центре |
Категория по разбросу цвета | |
|
начальный |
сохраненный | |
|
3-шаговый |
3 |
3 |
|
5-шаговый |
5 |
5 |
|
7-шаговый |
7 |
7 |
|
> 7-шагового эллипса |
7+ |
7+ |
|
Примечание - Поведение координат цветности устанавливают по результатам двух измерений: начальных и сохраненных координат цветности. Пример приведен в приложении В. Настоящий стандарт применим в основном к заменяющим СД-лампам, для которых необходимо, чтобы координаты цветности как можно ближе соответствовали координатам цветности заменяемых СД-ламп. Допускаемые зоны основаны на эллипсах МакАдама, опубликованных в журнале оптического общества Америки, 1943 г., обычно применяемых к (компактным) люминесцентным и другим разрядным СД-лампам. | ||
Измеряют начальный ИЦ СД-ламп. Второе измерение делают по истечении рабочего времени, указанного в 7.1.
Подробности приведены в А.3.6.
Соответствие:
Для всех испытанных СД-ламп в выборке измеренные значения ИЦ не должны быть ниже более чем на:
- 3 единицы от номинального значения ИЦ (см. таблицу 1) для начальных значений ИЦ;
- 5 единиц от номинального значения ИЦ (см. таблицу 1) для сохраненных значений ИЦ.
Срок службы СД-лампы (3.6) определяют совместно: постепенным уменьшением светового потока, вызванного в основном деградацией материала (см. 11.2), и резким падением светового потока, вызванного в основном отказом электрического компонента (см. 11.3, испытания на долговечность, характеризующую надежность и срок службы). Испытывают на соответствие обоих условий.
Доля испытанных СД-ламп выборки (Fy), которые могут не удовлетворять требованиям испытания по 11.2 и 11.3, приведена в 3.3 и 3.8.
По требованию протоколы испытаний выборки по уменьшению светового потока могут быть оформлены отдельно из-за уменьшения светового потока до нулевого значения и из-за ухудшения СД-материала.
Значение стабильности светового потока зависит от применения СД-ламп. Настоящий стандарт устанавливает наименьшее значение 70 %. Информация по выбранному проценту должна быть предоставлена изготовителем.
Примечания
1 В связи с тем что срок службы СД-ламп большой, его считают непрактичным и трудоемким, и необходимо время для измерения фактического уменьшения светового потока в течение срока службы (например, L70). По этой причине настоящий стандарт по результатам испытания определяет код стабильности светового потока любой СД-лампы.
2 Фактическое поведение СД в части стабильности светового потока может значительно отличаться от его типа и изготовителя. Невозможно выразить стабильность светового потока всех СД простыми математическими уравнениями. Быстрое начальное уменьшение светового потока не означает, что конкретный СД не будет работать в течение номинального срока службы.
3 Другие методы, обеспечивающие более улучшенное представление по уменьшению светового потока в течение срока службы СД-ламп, - в стадии рассмотрения.
В настоящем стандарте установлены коды стабильности светового потока (см. рисунок 1), которые охватывают начальное уменьшение светового потока за время, указанное в 7.1. Существуют три кода стабильности светового потока по сравнению с начальным световым потоком (см. таблицу 5).
|
Стабильность светового потока, % |
Код |
|
≥ 90 |
9 |
|
≥ 80 |
8 |
|
≥ 70 |
7 |
Измеряют начальный световой поток. Измерение повторяют по истечении времени работы, указанного в 7.1. Значение начального светового потока принимают за 100 %, его используют как начальную точку для определения срока службы СД-лампы. Измеренный световой поток по истечении времени, указанного в 7.1, определяют как сохраненное значение (равен процентам от начального значения).
Рекомендуется измерять световые потоки (выраженные в процентах от начального значения) через каждые 1000 ч работы до времени, указанного в 7.1.
Примечание - Это обеспечит дополнительное подтверждение надежности измеренных значений, но установление кода не является прогнозом достигаемого срока службы. Код 9 может быть лучше или хуже кода 7.
Маркировку стабильности светового потока (х) и кода стабильности светового потока см. в таблице 1.
Соответствие при испытании в течение 25 % номинального срока службы, но не более 6000 ч.
Соответствие семейства СД-ламп см. в 7.2.3.
Каждую СД-лампу считают удовлетворяющей испытанию, если соблюдаются следующие критерии:
a) значение светового потока, измеренное при 25 % номинального срока службы, но не более 6000 ч, не должно быть ниже светового потока, соответствующего максимальному значению стабильности светового потока, определяющего номинальный срок службы, определенный и установленный изготовителем или ответственным поставщиком.
b) рассчитанная стабильность светового потока должна соответствовать коду стабильности светового потока, определенного и установленного изготовителем или поставщиком.
Данную выборку из n (отдельных) СД-ламп в соответствии с таблицей 6, подвергнутую испытанию в течение 6000 ч (или 25 % номинального срока службы), считают удовлетворяющей испытанию, если в конце испытания число отказавших СД-ламп будет менее или равно числу, установленному изготовителем. Настоящий стандарт устанавливает следующее руководство для расчета:
если указано F50, то должно удовлетворять не менее n-2 отдельных СД-ламп;
если указано F10, то должно удовлетворять не менее n отдельных СД-ламп.
Примечание - Расчет, основанный на 25 % 1) при установленной доле отказов Fy:
──────────────────────────────
1) Время испытания менее установленного срока службы, поэтому предполагается, что доля отказов в конце испытания будет менее доли отказов при номинальном сроке службы. Нет общей зависимости между долями отказов в конце испытания и декларируемой долей отказов.
──────────────────────────────
Например, при установленной доле отказов F50 и числе испытуемых СД-ламп n = 20 получаем:
0,25·0,50·20 = 2,5.
При округлении до ближайшего меньшего целого числа допускается отказ двух СД-ламп.
При установленной доле отказов F10 и числе испытуемых СД-ламп n = 20 получаем:
0,25·0,10· 20 = 0,5.
При округлении до ближайшего меньшего целого числа отказ СД-ламп не допускается.
Для установления критерия "соответствует/не соответствует" приемлемого качества настоящий стандарт устанавливает линейную зависимость заявленной доли отказов от времени испытаний, равного 25 % номинального срока службы (но не более 6000 ч).

1 - значение светового потока, измеренное по истечении времени работы, указанного в 7.1; 2 - код 7; 3 - код 8; 4 - код 9; 5 - линия наименьшего значения: установленное уменьшение светового потока в течение номинального срока службы
Рисунок 1 - Уменьшение светового потока в течение времени испытания
СД-лампы должны быть подвергнуты испытаниям по 11.3.2-11.3.4.
Примечание - Допускается выполнять все испытания параллельно на разных СД-лампах.
Испытание на циклическую температуру - по IEC 60068-2-14 с заданной скоростью изменения.
СД-лампу помещают в испытательную камеру, в которой температуру изменяют от минус 10 °С до плюс 40 °С в течение 4-часового периода, а длительность испытания составляет 250 периодов (1000 ч). 4-часовой период состоит из выдержки по 1 ч при каждой экстремальной температуре и времени перехода в течение 1 ч (1 °С/мин) между экстремальными температурами. СД-лампу включают при испытательном напряжении на 34 мин и выключают на 34 мин.
Если поставщик заявляет о пригодности работы при расширенных условиях (напряжение или температура вне нормальных условий, включая высокую влажность), то СД-лампы:
a) испытывают при заявленных расширенных условиях;
b) должны зажигаться и удовлетворительно работать при установленных расширенных условиях;
c) должны удовлетворять всем параметрам, заявленным для работы в расширенных условиях, которые могут отличаться от параметров, установленных для общих условий измерения по приложению А.
Соответствие:
В конце испытания все СД-лампы должны работать в течение не менее 15 мин и иметь световой поток, соответствующий заявленному коду стабильности светового потока и не иметь таких дефектов от воздействия циклической температуры, как растрескивание или отслаивание этикетки.
Примечание - Период переключения 68 мин выбран для получения смещения фазы между температурой и периодом переключения.
Требования к температуре по А.1 не применяют.
Примечание - Целью этого испытания является проверка механической прочности сборки.
При испытательном напряжении СД-лампу включают и выключают с продолжительностью каждого состояния 30 с. Цикл повторяют до достижения времени, равного половине расчетного срока службы СД-лампы в часах (например, 10 000 циклов при расчетном сроке службы 20 000 ч).
Требования к температуре по А.1 приложения А.
Примечание - Целью этого испытания является проверка долговечности встроенных электронных компонентов.
Соответствие:
В конце испытания все СД-лампы должны работать в течение не менее 15 мин и иметь световой поток, соответствующий установленному коду стабильности светового потока.
СД-лампа должна непрерывно работать без переключения при испытательном напряжении и температуре на 10 °С выше максимальной заданной рабочей температуры (см. последний абзац и примечание), если это установлено изготовителем и более рабочего времени 1000 ч. Если значение не установлено, то испытание проводят при 50 °С. Любые теплозащитные приборы, которые будут отключать СД-лампу или уменьшать световой поток, должны быть зашунтированы.
Соответствие:
Соответствие семейства см. в 7.2.3.
В конце испытания и после охлаждения до комнатной температуры и достижения стабилизации все СД-лампы должны иметь допустимое уменьшение светового потока максимум на 20 % по сравнению с начальным значением в течение не менее 15 мин.
Требования к температуре по А.1 не применяют.
Ускоренное испытание не должно вызывать виды или механизмы отказов, которые не связаны с нормальным сроком службы. Например, слишком высокое повышение температуры приведет к химическим или физическим явлениям, из которых нельзя будет делать заключение о реальном сроке службы.
Примечание - Это испытание для проверки внезапных отказов.
Минимальный объем выдержки для испытания типа приведен в таблице 6. Выборка должна быть представительной для продукции изготовителя.
|
Пункт |
Испытание |
Минимальное число единиц в выборке для времени работы по 7.1 |
Минимальное число единиц в выборке для испытания семейства при уменьшенной длительности испытания после изменения свойств изделия по 7.2 |
|
7.2 1) |
Точка tLED |
Одни и те же пять единиц для всех испытаний |
Одни и те же пять единиц для всех испытаний |
|
6 |
Размеры | ||
|
9.2.3 |
Распределение силы света | ||
|
9.2.4 |
Значение пиковой силы света | ||
|
9.2.5 |
Значение угла излучения | ||
|
8.1 |
Мощность СД-лампы |
Одни и те же 20 единиц для всех испытаний |
Одни и те же пять единиц для всех испытаний |
|
8.2 |
Коэффициент смещения (см. примечание) | ||
|
9.1 |
Световой поток | ||
|
9.3 |
Световая отдача | ||
|
10.1 |
Допуск на цветность | ||
|
10.2 |
КЦТ | ||
|
10.3 |
Индекс цветопередачи | ||
|
11.2 |
Стабильность светового потока | ||
|
11.3.2 |
Циклическая температура, под напряжением |
10 |
5 |
|
11.3.3 |
Переключение напряжения источника питания |
10 |
5 |
|
11.3.4 |
Ускоренное испытание рабочего срока службы |
10 |
5 |
|
1) Измерение температуры только для испытания семейства на соответствие. Примечание - В Японии применяют коэффициент мощности вместо коэффициента смещения. | |||
Приложение А
(обязательное)
А.1 Общие положения
Если не указано иное, то все испытания проводят в помещении при отсутствии сквозняков, температуре окружающей среды (25 ± 1) °С и относительной влажности не более 65 % и устойчивом состоянии работы СД-лампы.
Требования к движению воздуха приведены в CIE 121 (4.3.2).
СД-лампы должны работать в свободном пространстве в вертикальном положении цоколем вверх. Если это не отменяется другим разделом и иное не указано изготовителем или ответственным поставщиком, то:
a) во время работы СД-лампы фиксируют значения светового потока или силы света и мощности в зависимости от изменения температуры/времени;
b) измерение светового потока или силы света и мощности СД-лампы проводят после стабилизации, равной не менее 1 мин. После работы в течение не менее 30 мин СД-лампу считают стабильной и готовой к испытанию, если относительная разница между показаниями максимальных и минимальных значений светового потока и мощности, наблюдаемыми в течение последних 15 мин, будет менее 0,5 % минимального показания. Если СД-лампа предварительно горела, то она не должна работать 30 мин, и ее считают стабильной, если показания в течение последних 15 мин удовлетворяют вышеприведенному требованию;
c) если СД-лампа проявляет неустойчивость и условия стабилизации не достигнуты в течение 45 мин работы из-за отклонений, то измерения начинают, а обнаруженные отклонения записывают. Однако, если вместо случайных отклонений продолжает наблюдаться медленное уменьшение перепада измеренных значений, то измерения начинают только при условии критерия стабилизации.
Примечание - Наблюдаемый процесс стабилизации - это медленное уменьшение светового потока до достижения тепловой стабильности. Однако из-за электроники могут происходить отклонения вблизи тепловой стабильности;
d) стабилизация связана с тепловым равновесием компонентов. Для уменьшения времени стабилизации в измерительной системе СД-лампа может быть подвержена предварительному горению (работе до установки в измерительную систему). Например, для измерения СД-ламп одного типа время измерения может быть сокращено, если метод предварительного горения дает то же стабилизированное условие, что и при использовании нормальной процедуры.
Примечания
1 Наблюдаемый процесс стабилизации - это медленное уменьшение светового потока или силы света до тепловой стабильности. Однако из-за электроники могут происходить отклонения вблизи тепловой стабильности и критерий стабилизации не будет соблюден.
2 Условия стабилизации могут быть изменены в соответствии с требованиями соответствующего стандарта МКО.
А.2 Испытательное напряжение
А.2.1 Общие положения
Испытательное напряжение должно быть стабильным в пределах ± 0,5 % в периоды стабилизации. Этот допуск должен быть ± 0,2 % в момент измерений. При отжиге и испытании на стабильность светового потока допуск равен 2 %. Полная гармоническая составляющая питающего напряжения не должна превышать 3 %. Гармоническую составляющую определяют как среднеквадратичную сумму отдельных гармонических составляющих, принимая основную за 100 %.
Методика применения испытательного напряжения и испытательной частоты совместно с видами испытаний приведены на рисунках А.1 - А.3.
Примечание - Дополнительные региональные требования могут применяться или не применяться.

Рисунок А.1 - Зависимость номинального напряжения от испытательного

Рисунок А.2 - Зависимость номинальной частоты от испытательной

Рисунок А.3 - Зависимость вида испытаний от испытательного напряжения и испытательной частоты
А.2.2 Зависимость номинального напряжения от испытательного напряжения
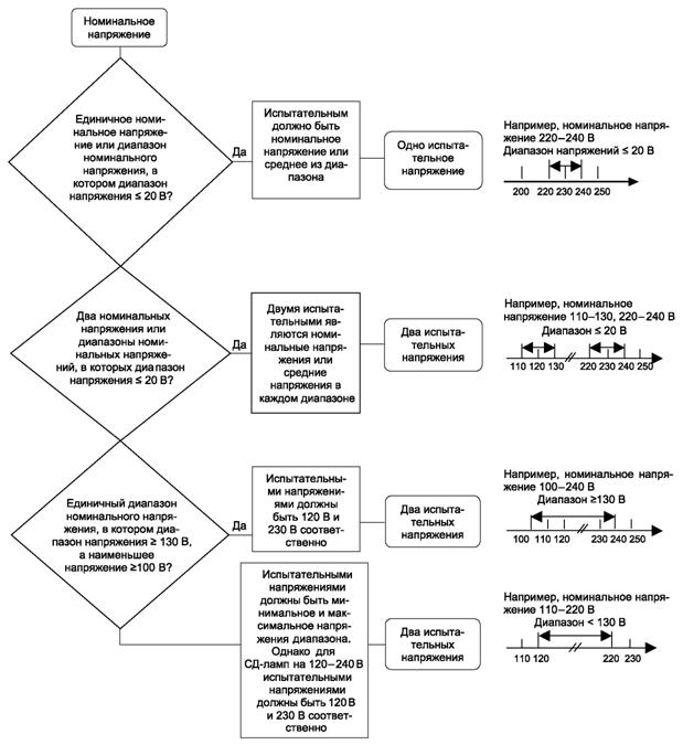
А.2.2.1 СД-лампы с единичным номинальным напряжением или диапазоном расчетного напряжения, в котором диапазон напряжения ≤ 20 В
Для этих СД-ламп испытательным напряжением должно быть номинальное напряжение и среднее значение из диапазона.
Для СД-ламп с двумя номинальными частотами (например, 50/60 Гц) или с диапазоном частоты (например, 50-60 Гц) испытательными частотами должны быть крайние значения частоты, например 50 и 60 Гц.
Примечание - Примеры приведены в таблице А.1.
|
Номинальный параметр |
Uисп, В |
fисп, Гц |
|
230 В, 50 Гц |
230 |
50 |
|
120 В, 60 Гц |
120 |
60 |
|
220-240 В, 50 Гц |
230 |
50 |
|
110-130 В, 60 Гц |
120 |
60 |
|
220-240 В, 50-60 Гц |
230 |
50 |
|
230 |
60 |
А.2.2.2 СД-лампы с двумя номинальными напряжениями или номинальными диапазонами, в которых диапазон напряжения ≤ 20 В
Для этих СД-ламп (например, 120/230 В или 110-130 В и 220-240 В) должно быть два испытательных напряжения, которыми должны быть номинальные напряжения или средние значения напряжения из каждого диапазона.
Для СД-ламп с двумя номинальными частотами (например, 50/60 Гц) или диапазоном частоты (например, 50-60 Гц) испытательными частотами должны быть крайние значения диапазона частоты, например 50 и 60 Гц.
Примечание - Пример номинальных параметров: 110-130 В/220-240 В, 50-60 Гц.
Испытательные значения напряжения и частоты:
1) Uисп = 120 B, fисп = 50 Гц;
2) Uисп = 120 B, fисп = 60 Гц;
3) Uисп = 230 В, fисп = 50 Гц;
4) Uисп = 230 В, fисп = 60 Гц.
А.2.2.3 СД-лампы с одним диапазоном номинального напряжения, в котором диапазон напряжения от ≥ 130 В и от ≥ 100 В
Для этих СД-ламп (например, 100-240 В) должно быть два испытательных напряжения - 120 и 230 В соответственно.
Для СД-ламп с двумя номинальными частотами (например, 50/60 Гц) или диапазоном частоты (например, 50-60 Гц) испытательными частотами должны быть крайние значения диапазона частоты, например 50 и 60 Гц.
Примечание - Пример номинальных значений: 100-240 В, 50-60 Гц.
Испытательные значения напряжения и частоты:
1) Uисп = 120 B, fисп = 50 Гц;
2) Uисп = 120 B, fисп = 60 Гц;
3) Uисп = 230 В, fисп = 50 Гц;
4) Uисп = 230 В, fисп = 60 Гц.
А.2.2.4 СД-лампы с другими диапазонами номинальных напряжений
Для СД-ламп с диапазоном напряжения, не включенного в А.2.2.1 - А.2.2.3, испытательными напряжениями должны быть минимальное и максимальное напряжения диапазона. Однако для СД-ламп с диапазоном 120-240 В применяют напряжение по А.2.3.
Для СД-ламп с двумя номинальными частотами (например, 50/60 Гц) или с диапазоном частоты испытательными частотами должны быть крайние значения, например 50 и 60 Гц.
Примечание - Пример номинальных значений: 120-220 В, 50-60 Гц.
Испытательные значения напряжения и частоты:
1) Uисп = 120 B, fисп = 50 Гц;
2) Uисп = 120 B, fисп = 60 Гц;
3) Uисп = 220 В, fисп = 50 Гц;
4) Uисп = 220 В, fисп = 60 Гц.
А.2.3 Испытания
А.2.3.1 Начальные испытания
Для настоящего стандарта начальные испытания приведены в таблице А.2.
|
Пункт |
Испытание |
|
8.1 |
Мощность СД-лампы |
|
8.2 |
Коэффициент смещения |
|
9.1 |
Световой поток |
|
9.2.3 |
Распределение силы света |
|
9.2.4 |
Значение пиковой силы света |
|
9.2.5 |
Значение угла излучения |
|
9.3 |
Световая отдача |
|
10.1 |
Допуск на цветность (начальный) |
|
10.1 |
Коррелированная цветовая температура (начальная) |
|
10.2 |
Индекс цветопередачи (начальный) |
|
Примечание - В Японии применяют коэффициент мощности вместо коэффициента смещения. | |
А.2.3.2 Испытания на срок службы и долговечность
Для настоящего стандарта испытания на срок службы и долговечность приведены в таблице А.3.
|
Пункт |
Испытание |
|
10.1 |
Допуск на цветность (сохраненный) |
|
10.1 |
Коррелированная цветовая температура (сохраненная) |
|
10.2 |
Индекс цветопередачи (сохраненный) |
|
11.2 |
Стабильность светового потока |
|
11.3.2 |
Циклическая температура, под напряжением |
|
11.3.3 |
Переключение напряжения источника питания |
|
11.3.4 |
Ускоренное испытание на срок службы |
А.2.4 Требования
А.2.4.1 СД-лампы с одним номинальным напряжением или диапазоном напряжения, в котором диапазон напряжения ≤ 20 В
Испытания по таблице А.2 следует выполнять при всех комбинациях испытательных значений напряжения и частоты, установленных в А.2.2.1.
Отжиг и измерение для испытаний по таблице А.3 следует выполнять при испытательном напряжении по А.2.2.1. Испытательной частотой должна быть или номинальная частота, или выбранная из крайних значений диапазона (например, 50 или 60 Гц); одну и ту же частоту следует использовать и для отжига, и для измерения. Допускается испытание при обоих крайних значениях частоты в одной выборке.
А.2.4.2 СД-лампы с двумя номинальными напряжениями и диапазонами частот, в которых диапазон напряжения ≤ 20 В
Испытания по таблице А.2 следует выполнять при всех комбинациях испытательных напряжений и испытательных частот, как указано в А.2.2.2.
Отжиг и измерение при испытаниях по таблице А.3 следует выполнять при испытательном напряжении по А.2.2.2, соответствующем наибольшей мощности, потребляемой СД-лампой. Испытательной частотой должна быть или номинальная частота, или выбранная из крайних значений диапазона (например, 50 или 60 Гц); одну и ту же частоту следует использовать и для отжига, и для измерения. Допускается испытание при обоих крайних значениях частоты в одной выборке.
А.2.4.3 СД-лампы с единичным диапазоном номинального напряжения, в котором диапазон напряжения ≥ 130 В, а наименьшее напряжение ≥ 100 В
Испытания по таблице А.2 следует выполнять при всех комбинациях испытательных напряжений и испытательных частот, установленных в А.2.2.3.
Отжиг и измерение при испытаниях по таблице А.3 следует выполнять при испытательном напряжении по А.2.2.3, соответствующем наибольшей мощности, потребляемой СД-лампой. Испытательной частотой должна быть или номинальная частота, или выбранная из крайних значений диапазона (например, 50 или 60 Гц); одну и ту же частоту следует использовать и для отжига, и для измерения. Допускается испытание при обоих крайних значениях частоты в одной выборке.
А.2.4.4 СД-лампы с другими диапазонами номинальных напряжений
Испытания по таблице А.2 следует выполнять при всех комбинациях испытательных напряжений и испытательных частот, установленных в А.2.2.4.
Отжиг и измерение при испытаниях по таблице А.3 следует выполнять при испытательном напряжении А.2.2.4, соответствующем наибольшей мощности, потребляемой СД-лампой. Испытательной частотой должна быть или номинальная частота, или выбранная из крайних значений диапазона (например, 50 или 60 Гц); одну и ту же частоту следует использовать и для отжига, и для измерения. Допускается испытание при обоих крайних значениях частоты в одной выборке.
А.3 Электрические и фотометрические параметры
А.3.1 Испытательное напряжение
Испытательным должно быть напряжение, определенное в А.2.4.
А.3.2 Отжиг
Обычно СД-лампы не требуют отжига до испытания. Однако изготовитель может определить период отжига до 1000 ч включительно.
А.3.3 Световой поток
Начальный и сохраненный световые потоки измеряют после стабилизации СД-лампы.
В случае СД-ламп направленного света световой поток измеряют в телесном углу 90° (0,6 π, ср). В случае СД-ламп направленного света с углом излучения более 90° световой поток измеряют в телесном углу 120° (π, ср).
Примечания
1 Метод измерения светового потока СД-ламп в стадии рассмотрения.
2 Документ CIE 84. IES LM-79-08, на который сделана ссылка, а также приложение В JIS C 8155:2010 содержат в себе информацию по измерению светового потока.
А.3.4 Распределение силы света
Распределение силы света измеряют в соответствии с CIE 121 и IEC/TR 61341.
Данные по распределению силы света должны быть приведены для всех комбинаций СД-ламп с любыми оптическими приспособлениями. Данные по распределению силы света должны быть представлены для СД-ламп согласно установленным международным или региональным форматам 1).
──────────────────────────────
1) Информация по приемлемым региональным стандартам на форматы для данных световых параметров в стадии рассмотрения.
──────────────────────────────
А.3.5 Пиковая сила света
Пиковую силу света измеряют согласно IEC/TR 61341.
А.3.6 Угол излучения
Угол излучения измеряют согласно IEC/TR 61341.
Угол излучения определяют не половиной пиковой силы света, а половиной осевой силы света.
А.3.7 Цветопередача
Измерение индекса цветопередачи проводят в соответствии с CIE 13.3 и CIE 177.
А.3.8 Значения координат цветности
В соответствии с IEC 60081, приложение D.
Если цветность относят только к заданному направлению, то угол излучения устанавливает изготовитель.
Если угол излучения не указывают, то цветность считают пространственной в углу 4 π (2 π для рефлекторных СД-ламп).
Изготовитель должен предоставить информацию по используемому методу.
Приложение В
(обязательное)
Пример фотометрического кода 830/359 означает следующее:

Примечания
1 В Японии требования по классификации цвета установлены в JIS Z9112.
2 В США требования по классификации цвета установлены в ANSI С78.377.
Приложение С
(обязательное)
С.1 Общие положения
Фазный угол (φ1) коэффициента смещения cos(φ1) в 8.2 измеряют согласно определению, приведенному в С.2, методами измерения по С.3.
Примечание - В Японии применяют коэффициент мощности вместо коэффициента смещения.
С.2 Определение фазного угла
Фазный угол φ1 между основной гармонической составляющей тока (I1) и сетевым напряжением (Uсети) определяют по рисункам С.1 и С.2.

Рисунок С.1 - Определение 1-й гармонической составляющей тока при фазном угле (φ1)
(I1 опережает Uсети, φ1 > 0)

Рисунок С.2 - Определение 1-й гармонической составляющей тока при фазном угле (φ1)
(I1 отстает от Uсети, φ1 < 0)
С.3 Требования к измерениям
С.3.1 Цепь измерения и источник питания
Цепь измерения и источник питания приведены в приложении A IEC 61000-3-2:2005.
С.3.2 Требования к измерительному оборудованию
Требования к измерительному оборудованию приведены в IEC 61000-4-7.
С.3.3 Условия испытаний
Условия испытаний для измерения смещения/фазного угла, связанного с некоторыми типами оборудования, приведены в разделах С.5 IEC 61000-3-2:2005, изменение 2:2009.
Примечание - Условия испытаний СД-источников света по С.5 IEC 61000-3-2:2005, изменение 2:2009 в стадии рассмотрения.
Приложение D
(справочное)
D.1 Общие положения
Метрический коэффициент мощности (λ) - это сложная метрика, состоящая из первичных метрик коэффициента смещения (ксмещения) и коэффициента искажения (кискажения).
Зависимость между сложной метрикой λ и ее первичными метриками ксмещения и кискажения следующая:
λ=Ксмещения·Кискажения,
где
Ксмещения=cosφ1;
.
В результате чего получают:
.
Угол φ1 - фазный угол между основной составляющей напряжения источника питания и основной составляющей сетевого тока. Полное гармоническое искажение (THD) определяют по гармоникам сетевого тока в соответствии с IEC 61000-3-2. Зависимость между отдельными гармониками сетевого тока и THD определяют следующим уравнением:
,
где In - амплитуда n-й гармоники сетевого тока.
D.2 Рекомендуемые значения для коэффициента смещения
Негативные влияния на мощность не ожидаются от СД-ламп с УУ, когда они удовлетворяют рекомендуемым предельным значениям по таблице D.1.
|
Метрика |
Значение мощности Р, Вт | |||
|
Р ≤ 2 |
2 < Р ≤ 5 |
5 < Р ≤ 25 |
Р > 25 | |
|
ксмещения (cosφ1) |
Не ограничен |
≥ 0,4 |
≥ 0,7 |
≥ 0,9 |
|
Примечание - Эти значения являются практическими примерами и приведены для руководства. | ||||
Приложение Е
(справочное)
Е.1 Введение
Срок службы СД-ламп может быть намного больше практически подтвержденного при испытании. Кроме того, уменьшение светового потока отличается у различных изготовителей, что делает методики общего прогнозирования затруднительными. В настоящем стандарте установлены категории сохранения светового потока, которые охватывают его диапазон от начального падения светового потока до рабочего времени по 7.1. Благодаря этому ограниченному времени испытания установленный срок службы СД-ламп в большинстве случаев не может быть ни подтвержден, ни отклонен. Рекомендуемые метрические системы для определения срока службы СД-ламп объяснены ниже и отличаются от критерия "удовлетворяет/не удовлетворяет" при испытании на срок службы по 11.2.
Е.2 Требования к сроку службы
Рекомендуется для СД-ламп устанавливать стабильность светового потока отдельно от прекращения свечения стандартным путем, дающую более наглядное представление о поведении светового потока (см. раздел 5).
Е.3 Требования к сроку службы при постепенном снижении светового потока
Пример - Под выражением времени L70B50 понимают срок службы, при котором световой поток ≥ 70 % для 50 % образцов.
Доля отказов для Ву выражает только постепенное уменьшение светового потока в процентах от у СД-ламп одного типа, что при номинальном сроке службы обозначает процент (долю) отказов. Резкое уменьшение светового потока исключают. Пороговый уровень светового потока для L и долю отказов Ву устанавливает изготовитель. См. Е.6 для рекомендуемых значений долей для Ву.

1 - для всех заданных СД-ламп; 2 - кривая проекции каждой СД-лампы (в зависимости от изготовителя); 3 - φотн; 4 - pdfy; 5 - pdfx; 6 - кривая стабильности светового потока, соединяющая точки В50 (В50 - медианная точка, более или менее соответствующая среднему значению); 7 - измеренные данные; 8 - время, при котором зона ниже кривой pdf составляет 10 %; 9 - время (1 000 ч), рабочие часы; pdf - функция вероятности плотности
Рисунок Е.1 - Требования к сроку службы при постепенном уменьшении светового потока
Форма функции вероятности плотности (pdf) и форма кривой проекции на рисунке Е.1 приведены только для иллюстрации. Функция вероятности плотности может быть представлена по Вейбуллу, нормально логарифмической, экспоненциальной или нормальной в зависимости от даты измерения и от используемого метода проекции.
Функция отказов F(t) или функция совокупного распределения [CDF(t)] - это процент отказов в функции времени. Математически она выражается следующим образом:
.
По определению F (t = бесконечности) - это 1 (100 %). Другими словами, вся зона ниже кривой pdf от времени, равного нулю, до времени, равному бесконечности, это единица, означающая отказ всех образцов.
Объяснение доли отказов для В:
Пример - Пороговый уровень стабильности светового потока 70 %, 10 % образцов, отказавших во время L70B10, указанные на рисунке Е.1 серой зоной, математически выражают следующим образом:
.
Функция выражения надежности равна R(t) = 1 - F(t).
Е.4 Требования к сроку службы при резком падении светового потока
Пример - Под выражением времени L0C10 понимают срок службы, при котором световой поток составляет 0 % для 10 % образцов.
Долю отказов для Су выражают только для резкого падения светового потока (см. рисунок Е.2) в у процентах СД-ламп одного типа, что при номинальном сроке службы означает процент (долю) отказов.
Долю отказов для Су устанавливает изготовитель. См. Е.6 для рекомендуемых значений долей для Су.

1 - для всех заданных СД-ламп; 2 - неожиданный отказ СД-лампы (в зависимости от изготовителя); 3 – φотн; 4 - pdfz; 5 - измеренные данные; 6 - время, при котором зона ниже кривой pdf составляет 10 %; 7 - время (1000 ч), рабочие часы
Рисунок Е.2 - Требования к сроку службы при резком падении светового потока
Е.5 Совместное постепенное уменьшение и резкое падение светового потока
Пример - Под выражением времени L70F50 понимают срок службы, при котором световой поток ≥ 70 % для 50 % образцов.
Доля отказов для F выражается постепенным уменьшением светового потока, включая резкое падение светового потока. Пороговый уровень светового потока L и функцию отказов для F устанавливает изготовитель.
Совместное постепенное уменьшение (В) и резкое падение (С) светового потока может быть объединено из двух вышеприведенных требований по кривым надежности в три этапа.
Этап 1 - Кривая надежности для постепенного уменьшения светового потока (см. рисунок Е.3)

1 - R(t); 2 - 10 % отказов; 3 - 50 % отказов; 4 - 90 % отказов; 5 - pdfx; 6 - Rпостепенное @ Lx; 7 - время (1 000 ч), рабочие часы
Рисунок Е.3 - Кривая надежности Rпостепенное для постепенного уменьшения светового потока
Этап 2 - Кривая надежности для резкого падения светового потока (см. рисунок Е.4)

1 - R(t); 2 - 10 % отказов; 3 - 50 % отказов; 4 - 90 % отказов; 5 - pdfz; 6 - Rрезкое; 7 - время (1000 ч), рабочие часы
Рисунок Е.4 - Кривая надежности Rрезкое для резкого падения светового потока
Вышеприведенная кривая надежности выражает также число еще работающих СД-ламп.
Этап 3 - Кривая надежности для совместного уменьшения (см. рисунок Е.5)

1 - R(t); 2 - Fy; 3 - Rпостепенное @ Lx; 4 - Rрезкое; 5 - Rполное = Rпостепенное· Rрезкое; 6 - время (1000 ч), рабочие часы; 7 - F. Доля отказов для F выражает общее влияние на световой поток всех компонентов СД-лампы, включая механические, электрические и т.д. Для СД это может выражаться либо уменьшением света, либо полным отсутствием света
Рисунок Е.5 - Совместное уменьшение Rпостепенное и Rрезкое
Е.6 Рекомендуемый срок службы
Для обеспечения различимости и сопоставимости рекомендуется ограничивать использование значений для "х" и "у" в LxBy, LxCy и LxFy.
В таблице Е.1 приведены рекомендуемые значения для "х" и "у".
|
LxBy, % |
LxCy, % |
LxFy, % | ||||||||||||
|
x |
70 |
80 |
90 |
0 |
70 |
80 |
90 | |||||||
|
у |
10 |
50 |
10 |
50 |
10 |
50 |
10 |
50 |
10 |
50 |
10 |
50 |
10 |
50 |
|
Примечание - СД-лампы с постоянным световым потоком в стадии рассмотрения. | ||||||||||||||
Отдельные корпусированные СД или кристаллы внутри СД-лампы не рассматриваются.
Приложение F
(справочное)
F.1 СД-кристапл
Схематические примеры СД-кристаллов приведены на рисунке F.1.

1 - активная зона многоквантовой скважины; 2 - шероховатая n-GaN; 3 - металлические контакты анод/катод; 4 - сапфир; 5 - проволочное соединение; 6 - эталонный n-контакт; 7 - подложка/корпус; 8 - корпус; 9 - промежуточная проводящая основа/подложка
Рисунок F.1 - Схематические рисунки СД-кристаллов
F.2 Корпусированный СД
Схематические примеры корпусированных СД приведены на рисунке F.2.

а) Поверхностный монтаж корпусированного СД с вводами

b) Поверхностный монтаж корпусированного СД без выводов
1 - корпусированный СД; 2 - печатная плата; 3 - СД-кристалл; 4 - прикрепление кристалла; 5 - формовочный компаунд; 6 - радиатор; 7 - выводы; 8 - медные пластины; 9 - силиконовые линзы; 10 - керамическая основа; 11 - тепловая прокладка; 12 - электрический контакт
Рисунок F.2 - Схематические рисунки корпусированных СД
Приложение ДА
(справочное)
Таблица ДА.1
|
Обозначение международного стандарта, документа |
Степень соответствия |
Обозначение и наименование соответствующего межгосударственного стандарта |
|
IEC 60050-845:1987 |
IDT |
* |
|
IEC 60068-2-14 |
NEQ |
ГОСТ 30630.2.1-2013 "Методы испытаний на стойкость к климатическим внешним воздействующим факторам машин, приборов и других технических изделий. Испытания на устойчивость к воздействию температуры" |
|
IEC 60081 |
- |
*, 1) |
|
IEC 60630 |
- |
* |
|
IEC 61000-3-2:2005 |
IDT |
ГОСТ IEC 61000-3-2-2017 "Электромагнитная совместимость (ЭМС). Часть 3-2. Нормы эмиссии гармонических составляющих тока (оборудование с входным током не более 16 А в одной фазе)" |
|
IEC 61000-4-7:2009 |
MOD |
ГОСТ 30804.4.7-2013 (IEC 61000-4-7:2009) "Совместимость технических средств электромагнитная. Общее руководство по средствам измерений и измерениям гармоник и интергармоник для систем электроснабжения и подключаемых к ним технических средств" |
|
IEC/TR 61341 |
- |
* |
|
IEC/TS 62504 |
- |
*, 2) |
|
IEC 62560 |
- |
*, 3) |
|
IEC/TR 62732 |
- |
* |
|
* Соответствующий межгосударственный стандарт отсутствует. До его принятия рекомендуется использовать перевод на русский язык данного международного стандарта. Примечание - В настоящей таблице использованы следующие условные обозначения степени соответствия стандартов: - IDT - идентичные стандарты; - MOD - модифицированные стандарты; - NEQ - неэквивалентные стандарты. | ||
──────────────────────────────
1) В Российской Федерации действует ГОСТ Р МЭК 60081-99 "Лампы люминесцентные двухцокольные. Эксплуатационные требования".
2) В Российской Федерации действует ГОСТ Р 54814-2018 "Светодиоды и светодиодные модули для общего освещения и связанное с ними оборудование. Термины и определения".
3) В Российской Федерации действует ГОСТ Р МЭК 62560-2011 "Лампы светодиодные со встроенным устройством управления для общего освещения на напряжения свыше 50 В. Требования безопасности".
──────────────────────────────
Библиография
|
IEC 60598-1 |
Luminaires - Part 1: General requirements and tests (Светильники. Часть 1. Общие требования и испытания) |
|
IEC 60901 |
Single-capped fluorescent lamps - Performance specifications (Лампы люминесцентные одноцокольные. Эксплуатационные требования) |
|
IEC 61547 |
Equipment for general lighting purposes - EMC immunity requirements (Оборудование для общего освещения. Совместимость электромагнитная. Требования к помехоустойчивости) |
|
IEC/PAS 62717 |
LED modules for general lighting - Performance requirements (Модули светодиодные для общего освещения. Эксплуатационные требования) |
|
CISPR 15:2005 |
Limits and methods of measurement of radio disturbance characteristics of electrical lighting and similar equipment (Предельные значения и методы измерений радиопомех от электрического осветительного и подобного оборудования) |
|
ANSI C78.377:2008 |
Specifications for the Chromaticity of Solid State Lighting Products (Технические требования на цветность твердотельных осветительных изделий) |
|
CIE 84:1989 |
Measurement of luminous flux (Измерение светового потока) |
|
IES LM-79-08 |
IES Approved Method: Electrical and Photometric Measurements of Solid-State Lighting Products (Одобренный метод МКО. Измерения электрических и фотометрических параметров твердотельных осветительных изделий) |
|
JIS С 8155:2010 |
LED modules for general lighting service - Performance requirements (Модули светодиодные для общего освещения. Эксплуатационные требования) |
|
JIS С 8158:2012 |
Self-ballasted LED-lamps for general lighting services by voltage > 50 V (Лампы светодиодные со встроенными устройствами управления для общего освещения на напряжения > 50 В) |
|
JIS Z 9112:2004 |
Classification of fluorescent lamps by chromaticity and colour rendering property (Лампы люминесцентные. Классификация по цветности и цветопередаче) |
|
JIS Z 9112:2012 1) |
Classification of fluorescent lamps and solid state lighting products by hromaticity and colour rendering property (Лампы люминесцентные. Классификация по цветности и цветопередаче) |
|
D.L.MacAdam |
Journal of the Optical Society of America, Volume 1, No. 1, Jan. 1943 (Журнал оптического общества Америки, 1943 г.) |
──────────────────────────────
1) JIS Z 9112:2004 пересматривается и будет опубликован в 2012 г.


