ГОСТ Р МЭК 60318-4-2017 ЭЛЕКТРОАКУСТИКА. ИМИТАТОРЫ ЧЕЛОВЕЧЕСКОЙ ГОЛОВЫ И УХА. Часть 4. ИМИТАТОРЫ ВНУТРЕННЕГО УХА ДЛЯ ИЗМЕРЕНИЯ ХАРАКТЕРИСТИК ТЕЛЕФОНОВ, СОЕДИНЯЕМЫХ С УХОМ ПОСРЕДСТВОМ УШНЫХ ВКЛАДЫШЕЙ
Electroacoustics. Simulators of human head and ear. Part 4. Occluded-ear simulators for the measurement of earphones coupled to the ear by means of ear inserts
ОКС 11.180.15
Р29
ОКПД 2 26.30.23
Дата введения - 1 января 2019 г.
Взамен ГОСТ Р МЭК 60711-2001
Предисловие
1 Подготовлен Федеральным государственным унитарным предприятием "Российский научно-технический центр информации по стандартизации, метрологии и оценке соответствия" (ФГУП "СТАНДАРТИНФОРМ") на основе собственного перевода на русский язык англоязычной версии стандарта, указанного в пункте 4
2 Внесен Техническим комитетом по стандартизации ТК 381 "Технические средства и услуги для инвалидов и других маломобильных групп населения"
3 Утвержден и введен в действие Приказом Федерального агентства по техническому регулированию и метрологии от 31 октября 2017 г. N 1619-ст
4 Настоящий стандарт идентичен международному стандарту МЭК 60318-4:2010 "Электроакустика. Имитаторы человеческой головы и уха. Часть 4. Имитаторы внутреннего уха для измерения характеристик телефонов, соединяемых с ухом посредством ушных вкладышей" ("Electroacoustics - Simulators of human head and ear - Part 4: Occluded-ear simulator for the measurement of earphones coupled to the ear by means of ear inserts", IDT).
При применении настоящего стандарта рекомендуется использовать вместо ссылочных международных стандартов соответствующие им национальные стандарты Российской Федерации, сведения о которых приведены в дополнительном приложении ДА
5 Взамен ГОСТ Р МЭК 60711-2001
Введение
1) Международная электротехническая комиссия (МЭК) является всемирной организацией по стандартизации, включающей все национальные электротехнические комитеты (МЭК национальные комитеты). Объектом МЭК является содействие международному сотрудничеству по всем вопросам, касающимся стандартизации в области электрических и электронных полей. С этой целью и в дополнение к другим мероприятиям, МЭК публикует международные стандарты, технические спецификации, технические отчеты, общедоступные спецификации (PAS) и направляющие (далее именуемые "публикации МЭК (ы)"). Их подготовка возложена на технические комитеты; любой национальный комитет МЭК, заинтересованный в этой теме, рассматривается, может участвовать в этой подготовительной работе. Международные, правительственные и неправительственные организации поддерживают связь с МЭК, также участвуют в этой работе. МЭК тесно сотрудничает с Международной организацией по стандартизации (ИСО) в соответствии с условиями, определенными соглашением между этими двумя организациями.
2) Официальные решения или соглашения МЭК по техническим вопросам выражают, насколько это возможно, международный консенсус мнений по соответствующим вопросам, так как каждый технический комитет имеет представителей от всех заинтересованных национальных комитетов МЭК.
3) МЭК публикации имеют форму рекомендаций для международного использования и принимаются национальными комитетами МЭК в этом смысле. В то время как все усилия предпринимаются для того, чтобы техническое содержание публикаций МЭК являлось точным, МЭК не может нести ответственность за то, каким образом они используются, или за любое неверное толкование любым конечным пользователем.
4) В целях содействия международной унификации национальные комитеты МЭК обязуются применять МЭК публикации прозрачно в максимально возможной степени в их национальных и региональных изданиях. Любое расхождение между любой публикацией МЭК и соответствующими национальными или региональными публикациями должно быть четко указано в последнем.
5) МЭК не обеспечивает подтверждения соответствия.
6) Все пользователи должны убедиться в том, что они имеют последнее издание данной публикации.
7) Никакая ответственность не возлагается на МЭК или его директоров, сотрудников, служащих или агентов, включая отдельных экспертов и членов его технических комитетов и национальных комитетов МЭК, на какие-либо телесные повреждения, повреждения имущества или иной ущерб любого характера, будь то прямые или косвенные расходы (включая судебные издержки), а также расходы, вытекающие из публикации, использование или ссылки на данные публикации МЭК или другие публикации МЭК.
8) Следует обратить внимание на нормативные ссылки, приведенные в данной публикации. Использование ссылочных публикаций необходимо для правильного применения данной публикации.
9) Следует обратить внимание на возможность того, что некоторые из элементов этой публикации МЭК могут быть объектом патентных прав. МЭК не несет ответственности за идентификацию любого или всех таких патентных прав.
Международный стандарт МЭК 60318-4 был подготовлен Техническим комитетом МЭК N 29 "Электроакустика"; МЭК 60318-4 аннулирует и заменяет МЭК 60711, опубликованный в 1981 г., и содержит техническую ревизию.
Основные изменения по отношению к предыдущему изданию представлены ниже:
- расширение в используемом частотном диапазоне до 100 Гц - 16000 Гц;
- добавление величин максимально разрешенных погрешностей ко всем допускам.
Текст этого стандарта базируется на следующих документах:
|
Запрос проекта |
Отчет о голосовании |
|
29/662/CDV |
29/685/RVC |
Полную информацию о голосовании для утверждения этого стандарта можно найти в отчете о голосовании, указанном в приведенной выше таблице.
Эта публикация была подготовлена в соответствии с Директивами ИСО/МЭК, Часть 2.
Список всех частей серии МЭК 60318 можно найти на веб-сайте МЭК под названием: Электроакустика - Имитаторы человеческой головы и уха.
Настоящий стандарт распространяется на имитатор внутреннего уха, предназначенный для измерения головных телефонов с ушным вкладышем (вставляемый телефон или выносной телефон) в диапазоне частот от 100 до 10000 Гц. Он подходит для слуховых аппаратов воздушного звукопроведения и телефонов, подсоединяемых к уху посредством ушных вкладышей, например ушных форм (ушных вкладышей) и аналогичных устройств. Имитатор внутреннего уха также пригоден как база для расширителя (удлинителя), предназначенного для имитации комплекта ушного канала (прохода) и внешнего уха (например в имитаторе головы).
Имитатор внутреннего уха имитирует акустическое передаточное сопротивление для внутреннего нормального человеческого уха взрослого человека. Однако он не имитирует протекание между ушной формой и воздушным каналом (проходом) человека; следовательно результаты, полученные с имитатором внутреннего уха, могут отклоняться от характеристик головного телефона с ушным вкладышем (вставляемого телефона или выносного телефона) в реальном ухе, особенно при малых частотах. Более того, может иметь место большая вариация характеристик среди индивидуальных ушей, которая должна рассматриваться при использовании ушных имитаторов.
Свыше 10 кГц устройство не имитирует человеческое ухо, но может использоваться как акустическое устройство связи при повышенных частотах вплоть до 16 кГц. Ниже 100 Гц устройство не может проверяться для имитации человеческого уха, но может использоваться как акустическое устройство связи при пониженных частотах вплоть до 20 Гц.
Примечание - Из-за резонансов в акустическом передаточном сопротивлении имитатора внутреннего уха при частотах выше 10 кГц в частотных характеристиках телефона может иметь место большая погрешность измерения, например порядка 10 дБ. Повторяемые результаты получены главным образом для головных телефонов с ушным вкладышем (вставляемый телефон или выносной телефон) с высоким акустическим демпфированием (используемые, например в развитой высокочастотной аудиометрии; см. телефоны, приведенные в ИСО 389-6), подсоединяемые к имитатору внутреннего уха посредством простого, симметрично сконструированного воздухонепроницаемого соединительного устройства.
В настоящем стандарте использованы нормативные ссылки на следующие стандарты:
IEC 61094-4, Measurement microphones - Part 4: Specifications for working standard microphones (Микрофоны для измерения. Часть 4. Спецификации для рабочих стандартных микрофонов)
ISO/IEC Guide 98-3, Uncertainty of measurement - Part 3: Guide to the expression of uncertainty in measurement (GUM:1995) [Неопределенность измерений. Часть 3. Руководство по выражению неопределенности измерений (GUM:1995)]
ISO 389-2, Acoustics - Reference zero for the calibration of audiometric equipment - Part 2: Reference equivalent threshold sound pressure levels for pure tones and insert earphones (Акустика. Эталонный нуль для калибровки аудиометрической аппаратуры. Часть 2. Эталонные эквивалентные пороговые уровни акустического давления для чистого тона и головных телефонов с ушным вкладышем (вставляемый телефон или выносной телефон)
ISO 389-5, Acoustics - Reference zero for the calibration of audiometric equipment. Part 5. Reference equivalent threshold sound pressure levels for pure tones in the frequency range 8 kHz to 16 kHz (Акустика. Эталонный нуль для калибровки аудиометрической аппаратуры. Часть 5. Эталонные эквивалентные пороговые уровни акустического давления для чистого тона в диапазоне частот от 8 кГц до 16 кГц)
ISO 389-6, Acoustics - Reference zero for the calibration of audiometric equipment - Part 6: Reference threshold of hearing for test signals of short duration (Акустика. Эталонный нуль для калибровки аудиометрической аппаратуры. Часть 6. Эталонный порог слуха для испытательных сигналов короткой длительности)
В настоящем стандарте применены следующие термины с соответствующими определениями:
3.1 ушной вкладыш (ear insert): Устройство, применяемое для обеспечения акустической связи между слуховым аппаратом (телефоном) и слуховым проходом (каналом) (например, ушная форма или аналогичное устройство с соединительной трубкой или без нее).
3.2 выносной (вставляемый) телефон (insert earphone): Небольшой телефон, подсоединенный к слуховому проходу посредством ушного вкладыша или прикрепленный к соединительному элементу, который вставляется в слуховой проход.
Примечание - Этот ушной вкладыш может быть частью выносного телефона.
3.3 имитатор ушного вкладыша (ушной формы) (ear-mould simulator): Вкладыш, который устанавливается на входе в имитатор уха и который обеспечивает прохождение звука в имитатор внутреннего уха через отверстие на его оси.
3.4 имитатор уха (ear simulator): Устройство для измерения акустического выхода со звукового источника, где звуковое давление измеряется откалиброванным микрофоном, подсоединенным к источнику таким образом, что полное акустическое сопротивление устройства приблизительно соответствует сопротивлению нормального человеческого уха при данном расположении и в данном частотном диапазоне.
3.5 имитатор внутреннего уха (occluded-ear simulator): Имитатор уха, который приблизительно соответствует акустическому передаточному полному сопротивлению внутренней части слухового прохода от конца ушного вкладыша до барабанной перепонки.
3.6 акустический соединитель (acoustic coupler): Устройство для измерения акустического выхода со звукового источника, где звуковое давление измеряется откалиброванным микрофоном, подсоединенным к источнику полостью, определенной формы и объема, которое не обязательно соответствует акустическому сопротивлению нормального человеческого уха.
3.7 опорная плоскость имитатора внутреннего уха (reference plane of the occluded-ear simulator): Плоскость, перпендикулярная к оси полости имитатора, выбранная для пропуска позиции, нормально занимаемой наконечником ушного вкладыша в человеческом ухе.
3.8 акустическое передаточное сопротивление имитатора внутреннего уха (acoustic transfer impedance of the occluded-ear simulator): Часть звукового давления на диафрагме его микрофона на объемную скорость через опорную плоскость; единица измерения Па·с·м-3.
3.9 уровень акустического передаточного сопротивления имитатора внутреннего уха (acoustic transfer impedance level of the occluded-ear simulator): Десятикратный десятичный логарифм части абсолютной величины (модуля) квадрата акустического передаточного сопротивления имитатора внутреннего уха на квадрат эталонного акустического передаточного сопротивления одного паскаля в секунду на метр в кубе (Па·с·м-3); единица измерения дБ.
3.10 эффективный объем (effective volume): Эквивалентный объем воздуха, акустически соответствующего имитатору уха, формируемого полостью и микрофоном при частоте 500 Гц; единица измерения мм3.
4.1 Общие положения
Имитатор внутреннего уха должен быть изготовлен из твердого, стабильного по размерам, непористого и немагнитного материала. Общая конструкция имитатора внутреннего уха и смонтированного микрофона должны иметь цель минимизировать реакцию микрофона на вибрацию (например, от наушника) или на внешний звук, возникающий снаружи полости.
Примечание 1 - Внешний диаметр имитатора внутреннего уха должен быть как можно меньше, чтобы минимизировать дифракционные ошибки, которые могут оказывать влияние на измерения, когда имитатор внутреннего уха должен размещаться в свободном акустическом поле.
Примечание 2 - Чтобы избежать возможное ослабление звука, вызванное пылезащитным приспособлением (см. рисунок А.1), калибровка слухового аппарата должна выполняться на частоте выше 10 кГц, по крайней мере, каждые два года с имитатором внутреннего уха, оборудованным пылезащитным приспособлением, или без него. Два результата не должны отличаться более, чем на 0,2 дБ на частоте до 16 кГц. Если разница больше на некоторых частотах, измерения слухового аппарата на этих частотах должны выполняться без пылезащитного приспособления.
Конструкция имитатора внутреннего уха должна позволять размещение датчика на опорной плоскости для калибровки имитатора.
Допуски, определенные в этой части МЭК 60318, должны быть уменьшены на величину, равную фактической погрешности измерения испытательной лабораторией, перед принятием решения, соответствует ли устройство заявленным требованиям.
4.2 Размеры главной полости
Диаметр главной полости должен быть равен (7,50 ± 0,04) мм.
Длина главной полости должна быть такой, чтобы производить полуволновой резонанс звукового давления при (13,5 ± 1,5) кГц.
4.3 Калибровка микрофона по давлению
Откалиброванный микрофон размещается в основании главной полости имитатора внутреннего уха. Акустическое сопротивление диафрагмы микрофона должно быть большим, так чтобы эквивалентный объем был меньше, чем 20 мм3, по всему определенному диапазону частот. Микрофон должен соответствовать требованиям МЭК 61094-4 для микрофона типа WS2P. Микрофон должен подсоединяться к главной полости с уплотнением, чтобы предотвращать акустические утечки.
В диапазоне частот от 20 Гц до 10 кГц уровень чувствительности полного звукового давления микрофона и связанной с ним измерительной системы должен быть известным с погрешностью, не превышающей 0,3 дБ при уровне достоверности 95 %. Для измерений в диапазоне выше 10 кГц уровень чувствительности полного звукового давления микрофона и связанной с ним измерительной системы по всему определенному диапазону частот должен быть известным с погрешностью, не превышающей 0,5 дБ при уровне достоверности 95 %.
Конструкция и модель микрофона должна определяться производителем имитатора внутреннего уха.
Примечание - Акустическое сопротивление микрофона оказывает влияние на общее акустическое сопротивление имитатора внутреннего уха.
4.4 Выравнивание давления
Отверстие должно быть предусмотрено для выравнивания статистического давления в полости имитатора внутреннего уха. Отверстие должно иметь акустическое сопротивление, равное (7,0 ± 5,5) ГПа·с·м-3.
4.5 Уровень акустического передаточного сопротивления
Уровень модуля акустического передаточного сопротивления имитатора внутреннего уха и соответствующие допуски должны быть такими, как представлено в таблице 1.
Примечание 1 - При 500 Гц указанный уровень передаточного сопротивления соответствует величине акустического передаточного сопротивления 35,9 МПа·с·м-3 и также величине эффективного объема 1260 мм3 ушного имитатора.
Примечание 2 - Допуски имеют минимальные значения при частоте 500 Гц, где влияние утечек и волновых колебаний небольшое.
4.6 Пример конструкции
Пример одной характерной конструкции имитатора внутреннего уха представлен в приложении А.
Примечание 1 - Используя метод измерения, описанный в приложении В, нелегко измерять уровень акустического передаточного сопротивления при частоте ниже 100 Гц из-за влияния недостаточно герметизированной конфигурации измерения. Однако, акустическое передаточное сопротивление между 20 Гц и 100 Гц определяется предпочтительно объемными элементами имитатора внутреннего уха, и их влияние (вклад) на общее акустическое передаточное сопротивление может быть оценено измерениями при более высоких частотах.
Примечание 2 - Величины в таблице 1 действительны для точной одной трети октавы частот, рассчитанных от 1000·10n/10, где n - положительное или отрицательное число, или нуль.
|
Номинальная частота, Гц |
Уровень акустического передаточного сопротивления, 1 МПа·с·м-3, дБ | |
|
Уровень |
Допуски | |
|
100 |
44,8 |
± 0,7 |
|
125 |
42,9 |
± 0,7 |
|
160 |
40,8 |
± 0,7 |
|
200 |
39,0 |
± 0,6 |
|
250 |
37,0 |
± 0,6 |
|
315 |
35,0 |
± 0,6 |
|
400 |
33,0 |
± 0,6 |
|
500 |
31,1 |
± 0,3 |
|
630 |
29,2 |
± 0,6 |
|
800 |
27,2 |
± 0,6 |
|
1000 |
26,7 |
± 0,7 |
|
1250 |
26,4 |
± 0,7 |
|
1600 |
25,5 |
± 0,7 |
|
2000 |
24,2 |
± 0,8 |
|
2500 |
23,1 |
± 0,8 |
|
3150 |
22,0 |
± 0,9 |
|
4000 |
21,1 |
± 1,0 |
|
5000 |
20,4 |
± 1,2 |
|
6300 |
20,5 |
± 1,2 |
|
8000 |
20,8 |
± 1,7 |
|
10000 |
23,1 |
± 2,2 |
5.1 Эталонные атмосферные условия
Эталонное давление окружающей среды: 101,325 кПа
Эталонная температура: 23 °С
Эталонная относительная влажность: 50 %
5.2 Метод калибровки
Производитель в руководстве должен описать метод (методы) определения калибровки и общей стабильности всего имитатора внутреннего уха, включая микрофон.
Метод должен включать определение эффективного объема при 500 Гц.
Принцип калибровки представлен в приложении В.
Калибровка должна выполняться при эталонных атмосферных условиях, представленных в 5.1, со следующими допусками:
Давление окружающей среды: ± 3 кПа
Температура: ± 3 °С
Относительная влажность: ± 20 %
Если невозможно выполнять калибровку при эталонных условиях, то калибровка должна быть выполнена при атмосферных условиях, указанных в 5.1, [5], [6].
6.1 Аудиометры с головным телефоном с ушным вкладышем (вставляемым телефоном или с выносным телефоном)
Головной телефон с ушным вкладышем (вставляемый телефон или выносной телефон) со стандартными эталонными эквивалентными порогами уровней акустического давления должен подсоединяться к имитатору внутреннего уха, как определено в соответствующих стандартах ИСО. Для других телефонов производитель аудиометра должен описывать метод подсоединения.
Примечание - Эталонные уровни слуховых порогов акустического давления головных телефонов с ушным вкладышем для аудиометров и их подсоединение к имитатору внутреннего типа стандартизованы в [1], [2] и [3].
6.2 Слуховые аппараты внутриушного типа (изготовленные по заказу)
Слуховой аппарат должен соединяться непосредственно с полостью имитатора внутреннего уха, как показано на рисунке 1. Соединение между слуховым аппаратом и имитатором внутреннего уха должно быть герметичным, с использованием подходящих уплотнений. При этом следует обращать внимание на недопустимость ввода (образования) дополнительного объема полости, что может оказывать влияние на измеряемые характеристики слухового аппарата.
Таким же образом может измеряться (испытываться) слуховой аппарат, оборудованный отдельным слуховым вкладышем.

1 - слуховой аппарат (изготовленный по заказу); 2 - герметизирующее уплотнение и опора для слухового аппарата; 3 - фиксирующий фланец (хомут); 4 - опорная плоскость; 5 - наконечник слухового аппарата или вкладыш должен лежать на опорной плоскости; 6 - имитатор внутреннего уха
Примечание 1 - Этот рисунок предназначен только для схематичного представления, показывающего принцип соединения слухового аппарата с имитатором внутреннего уха. Эффективные герметические уплотнения должны быть установлены во всех соединительных точках.
Примечание 2 - Таким же образом, слуховой аппарат с отдельным слуховым вкладышем может подсоединяться к имитатору внутреннего уха.
Рисунок 1 - Соединение слухового аппарата внутриушного типа с имитатором внутреннего уха
6.3 Слуховые аппараты с выносным (вставляемым) телефоном
Где возможно, ушной вкладыш, используемый с ухом человека, должен заменяться имитатором ушного вкладыша (ушной формы), состоящим по существу из жесткой трубки, соосной с полостью, которая имеет длину 18,0 мм ± 0,20 мм и внутренний диаметр 3,00 мм ± 0,06 мм, и представляющим собой трубчатую часть среднего ушного вкладыша.
Соединение между (nub) ступицей телефона и имитатором ушного вкладыша должно выполняться герметичным, путем использования подходящих уплотнений. При этом следует обращать внимание на недопустимость ввода (образования) дополнительного объема полости, что может оказывать влияние на измеряемые характеристики телефона.
Пример телефона, подсоединенного к имитатору внутреннего уха с имитатором ушного вкладыша (ушной формы), представлен на рисунке 2. Он иллюстрирует основные элементы данного метода соединения. Однако, могут использоваться другие формы, которые обеспечивают соответствие с вышеуказанными спецификациями.
Размеры в миллиметрах

1 - выносной (вставляемый) телефон; 2 - герметизирующее уплотнение и опора для втулки (ступицы) телефона; 3 - имитатор ушного вкладыша (ушной формы) для выносного телефона; 4 - фиксирующий фланец (хомут); 5 - опорная плоскость; 6 - имитатор внутреннего уха
Рисунок 2 - Соединение выносного (вставляемого) телефона с имитатором внутреннего уха
Примечание 1 - Этот рисунок предназначен только для схематичного представления, показывающего принцип соединения слухового аппарата с имитатором внутреннего уха. Эффективные герметические уплотнения должны быть установлены во всех соединительных точках.
Если неудобно отсоединять ушной вкладыш, используемый с ухом человека, от приемника, ушной вкладыш должен подсоединяться непосредственно к входу цилиндрической полости и должен быть соосным с ней. При этом следует обращать внимание на недопустимость ввода (образования) дополнительного объема полости, что может оказывать влияние на измеряемые характеристики телефона.
6.4 Слуховые аппараты заушного типа и вмонтированные в оправу очков
Слуховой аппарат с таким акустическим выходным устройством (например, крюк и гибкая соединительная трубка слухового аппарата заушного типа или nub (hub - ступица, кольцо) и гибкая соединительная трубка слухового аппарата, вмонтированного в оправу очков) должен подсоединяться к имитатору внутреннего уха с имитатором ушного вкладыша (имитатором ушной формы), как описано в 6.3. Это должно выполняться с помощью небольшого соединительного устройства из жесткого материала, который имеет внутренний диаметр такой же, как номинальный диаметр на конце акустического выходного приспособления ± 0,06 мм и длину 5,0 мм ± 0,1 мм.
Соединение между небольшим соединительным устройством и имитатором ушного вкладыша должно выполняться герметичным, путем использования подходящих уплотнений. При этом следует обращать внимание на недопустимость ввода (образования) дополнительного объема полости, что может оказывать влияние на измеряемые характеристики слухового аппарата.
Материал, длина и внутренний диаметр соединительной трубки между слуховым аппаратом и небольшим устройством связи должны соответствовать спецификациям производителя слухового аппарата. В частности, соединительная трубка может быть изготовлена из гибкого или жесткого материала. Эта соединительная трубка между слуховым аппаратом и небольшим устройством связи должна быть подсоединена к ступице (кольцу) слухового аппарата, вмонтированного в оправу очков или в крюк слухового аппарата заушного типа (что из них имеется). Соединительная трубка не должна подсоединяться непосредственно к слуховому аппарату заушного типа, если этот аппарат предназначен для использования с крюком.
Если иначе не определено, длина соединительной трубки, измеренная от конца крюка или от конца nub (ступицы) до входа жесткой трубки, диаметром 3 мм, имитатора ушного вкладыша должна быть равной 25 мм ± 1 мм.
Основные элементы имитатора внутреннего уха с имитатором ушного вкладыша (имитатором ушной формы) и небольшого устройства связи, показывающие соединительное приспособление для слухового аппарата заушного типа, представлены на рисунке 3. Как пример, внутренний диаметр небольшого устройства связи был выбран, равным 2 мм, в соответствии с наиболее часто используемыми трубками. Могут быть использованы формы, отличные от представленной формы, с условием, что они соответствуют вышеприведенным спецификациям.
Размеры в миллиметрах

1 - слуховой аппарат заушного типа; 2 - акустический выход слухового аппарата (крючок); 3 - гибкая соединительная трубка, обычное внутренним диаметром 2 мм; 4 - небольшое трубчатое соединительное устройство, имеющее тот же внутренний диаметр, как и номинальный диаметр акустического выходного приспособления слухового аппарата, обычно диаметром 2 мм; 5 - имитатор ушного вкладыша для слуховых аппаратов; 6 - опорная плоскость; 7 - фиксирующий фланец (хомут); 8 - имитатор внутреннего уха
Рисунок 3 - Подсоединение слухового аппарата заушного типа к имитатору внутреннего уха
Примечание 1 - Спецификации производителя для размеров трубок должны соответствовать средним условиям, встречающимся в практическом применении слухового аппарата. Если по исключительной причине невозможно имитировать средние условия практического применения с имитатором ушного вкладыша (имитатором ушной формы), оговоренные выше для имитатора внутреннего уха, могут использоваться подходящие другие системы, если они полностью описываются.
Примечание 2 - Длина трубок и внутренние диаметры как трубчатого, так и соединительного устройства (которые должны быть равными) должны быть такими, как показаны и заявлены выше, если иначе не определены производителем, чтобы отвечать условиям, находящимся в практическом применении индивидуального слухового аппарата.
Примечание 3 - Этот рисунок предназначен только для схематичного представления, показывающего принцип соединения слухового аппарата с имитатором внутреннего уха. Эффективные герметические уплотнения должны быть установлены во всех соединительных точках.
6.5 Модульные слуховые аппараты внутриушного типа
Модульная версия слухового аппарата должна подсоединяться непосредственно к полости имитатора внутреннего уха, как показано на рисунке 4. Это должно выполняться с помощью трубчатого соединительного устройства из жесткого материала, который имеет внутренний диаметр, такой же как номинальный диаметр на конце акустического выходного приспособления ± 0,06 мм, и длину 5,0 мм ± 0,1 мм.
Соединение между трубчатым соединительным устройством и имитатором ушного вкладыша должно выполняться герметичным, путем использования подходящих уплотнений. При этом следует обращать внимание на недопустимость ввода (образования) дополнительного объема полости, что может оказывать влияние на измеряемые характеристики слухового аппарата.
Если иначе не определено, длина соединительной трубки, измеренная от выхода слухового аппарата до входа (касания) опорной плоскости имитатора внутреннего уха, должна быть равной 8,0 мм ± 0,7 мм.
Размеры в миллиметрах

1 - слуховой аппарат (модульного типа); 2 - гибкая соединительная трубка, обычно с внутренним диаметром 2 мм; 3 - фиксирующий фланец (хомут); 4 - трубчатое соединительное устройство, обычно с внутренним диаметром 2 мм; 5 - опорная плоскость; 6 - имитатор внутреннего уха
Рисунок 4 - Подсоединение слухового аппарата внутриушного типа (модульного типа) к имитатору внутреннего уха
Примечание 1 - Длина трубок и внутренние диаметры как трубок, так и трубчатого соединительного устройства (которые должны быть равными), должны быть такими, как показаны и заявлены выше, если иначе не определены производителем, чтобы отвечать средним условиям, находящимся в практическом применении индивидуального слухового аппарата.
Примечание 2 - Этот рисунок предназначен только для схематичного представления, показывающего принцип соединения слухового аппарата с имитатором внутреннего уха. Эффективные герметические уплотнения должны быть установлены во всех соединительных точках.
Таблица 2 определяет максимально допустимую расширенную погрешность Umax с вероятностью приблизительно 95 %, эквивалентную коэффициенту охвата k = 2, относящуюся к измерениям, предпринимаемым в этой части МЭК 60318 (см. ИСО/МЭК Руководство 98-3). Один набор значений Umax предоставлен для утвержденных измерений базового типа.
Расширенные погрешности измерений, представленные в таблице 2, являются максимально допустимыми для демонстрации соответствия требованиям этой части МЭК 60318. Если фактическая расширенная погрешность измерения, выполненная испытательной лабораторией, превышает максимально допустимое значение таблицы 2, измерение не должно использоваться для демонстрации соответствия требованиям этой части МЭК 60318.
|
Измеряемый параметр |
Номер соответствующего подпункта |
Базовая Umax (k = 2) |
|
Диаметр основной полости |
4.2 |
0,02 мм |
|
Резонансная частота основной полости |
4.2 |
0,3 кГц |
|
Уровень чувствительности давления микрофона (< 10 кГц) |
4.3 |
0,3 дБ |
|
Уровень чувствительности давления микрофона (> 10 кГц) |
4.3 |
0,5 дБ |
|
Эквивалентный объем микрофона |
4.3 |
2 мм3 |
|
Акустическое сопротивление выходного отверстия |
4.4 |
0,5 ГПа·с·м-3 |
|
Уровень акустического передаточного сопротивления при 500 Гц |
4.5 |
0,1 дБ |
|
Уровень акустического передаточного сопротивления (< 500 Гц и > 500 Гц) |
4.5 |
0,3 дБ |
|
Окружающее давление |
5.2 |
0,1 кПа |
|
Температура |
5.2 |
0,5 °С |
|
Относительная влажность |
5.2 |
5 % |
|
Эффективный объем имитатора внутреннего уха при 500 Гц |
5.2 |
15 мм3 |
|
Внутренний диаметр имитатора ушного вкладыша или небольшого связывающего устройства |
6.3, 6.4 |
0,02 мм |
|
Длина имитатора ушного вкладыша или небольшого связывающего устройства |
6.3, 6.4 |
0,02 мм |
Приложение А
(справочное)
Размеры в миллиметрах

1 - имитатор наружного уха; 2 - фиксирующее кольцо (хомут); 3 - опорная плоскость; 4 - пылезащитный элемент; 5 - кольцевая канавка; 6 - кольцевая канавка; 7 - основной корпус; 8 - отверстия для уравновешивания давления; 9 - микрофон давления; 10 - предварительный усилитель микрофона
Рисунок А.1 - Пример одной характерной конструкции имитатора внутреннего уха
Примечание - Нижняя часть рисунка показывает пример одной характерной конструкции имитатора внутреннего уха, соответствующей этому стандарту.
Приложение В
(справочное)
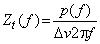
Акустическое передаточное сопротивление Zt(f) имитатора внутреннего уха может быть определено как отношение между акустическим давлением p(f) на мембране микрофона и объемной скоростью на опорной плоскости имитатора уха
,
(В.1)
где объемная скорость - это объемное смещение ΔV, умноженное на угловую частоту 2πf.
Величина акустического передаточного сопротивления Zt(f) относительно величины при эталонной частоте 500 Гц может быть определена с использованием в качестве акустического источника преобразователя, производящего постоянное объемное смещение на опорной плоскости.
В этом случае при 500 Гц
.
(В.2)
Деля равенство (В.1) на равенство (В.2) и принимая во внимание, что номинальный эффективный объем полости имитатора уха равен 1260 мм3, соответствующей величине акустического передаточного сопротивления 35,9 МПа·с·м-3 (см.4.5)
.
(В.3)
Таким образом акустическое передаточное сопротивление имитатора уха на частоте f может быть рассчитано из отношения акустического давления на этой частоте и на частоте 500 Гц.
Так, используя логарифмические величины, уровень акустического передаточного сопротивления LZt(f) может быть рассчитан из уровней акустического давления на этой частоте и на эталонной частоте 500 Гц
LZt(f)=10lgZt(f)2=20lg(35,9·500)-20lgf+(Lp(f)-Lp(500)),
(B.4)
где (Lp(f) - Lp(500)) может быть найдено в таблице В.1.
Пример
Согласно таблице В.1 относительный уровень акустического давления при 100 Гц равен -0,3 дБ. Используя равенство (В.4) получаем
LZt(100)=85,08-40-0,3=44,78 дБ.
(В.5)
Для номинального эффективного объема полости 1260 мм3 при 500 Гц уровень акустического давления при частоте f минус уровень акустического давления при частоте 500 Гц (Lp(f) - Lр(500)) - и соответствующие допуски - будет, как дано в таблице В.1. Если фактический эффективный объем V в кубических миллиметрах при частоте 500 Гц отличается от 1260 мм3, 0 lg(V2/12602) дБ будет добавлен к величине уровня относительного акустического давления, данного в таблице В.1.
Примечание 1 - Микрофон WS3P, питаемый от постоянного напряжения, может использоваться как акустический источник с постоянным объемным смещением.
Примечание 2 - Эффективный объем может быть измерен, используя эталонный объем около 1260 мм3. Для цилиндрического эталонного объема и частоты 500 Гц диаметр должен быть больше, чем 0,6 его длины (см. [7]).
Примечание 3 - Величины в таблице В.1 действительны для точной одной трети октавы частот, рассчитанных от 1000·10n/10, где n - положительное или отрицательное число, или нуль.
Примечание 4 - При высоких частотах электрически измеренная частотная характеристика имитатора внутреннего уха должна быть скорректирована для амплитудно-частотных характеристик микрофона и акустического источника.
|
Номинальная частота, Гц |
Относительный уровень акустического давления, дБ | |
|
Величина |
Допуски | |
|
100 |
-0,3 |
± 0,7 |
|
125 |
-0,2 |
± 0,7 |
|
160 |
-0,2 |
± 0,7 |
|
200 |
-0,1 |
± 0,6 |
|
250 |
-0,1 |
± 0,6 |
|
315 |
-0,1 |
± 0,6 |
|
400 |
0 |
± 0,6 |
|
630 |
0,1 |
± 0,6 |
|
800 |
0,2 |
± 0,6 |
|
1000 |
1,6 |
± 0,7 |
|
1250 |
3,3 |
± 0,7 |
|
1600 |
4,5 |
± 0,7 |
|
2000 |
5,2 |
± 0,7 |
|
2500 |
6,0 |
± 0,8 |
|
3150 |
6,9 |
± 0,9 |
|
4000 |
8,0 |
± 1,0 |
|
5000 |
9,3 |
± 1,2 |
|
6300 |
11,4 |
± 1,2 |
|
8000 |
13,7 |
± 1,7 |
|
10 000 |
18,0 |
± 2,2 |
|
Примечание - Уровни акустического давления в этой таблице действительны для ввода с постоянным объемным смещением. | ||
Приложение ДА
(справочное)
Таблица ДА.1
|
Обозначение ссылочного международного стандарта |
Степень соответствия |
Обозначение и наименование соответствующего национального стандарта |
|
IEC 61094-4 |
- |
* |
|
ISO/IEC Guide 98-3 |
IDT |
ГОСТ 34100.3.1-2017 "Неопределенность измерения. Часть 3. Руководство по выражению неопределенности измерения. Дополнение 1. Трансформирование распределений с использованием метода Монте-Карло" |
|
ISO 389-2 |
IDT |
ГОСТ Р ИСО 389-2-2011 "Государственная система обеспечения единства измерений. Акустика. Опорный нуль для калибровки аудиометрической аппаратуры. Часть 2. Опорные эквивалентные пороговые уровни звукового давления чистых тонов для вставных телефонов" |
|
ISO 389-5 |
IDT |
ГОСТ Р ИСО 389-5-2011 "Государственная система обеспечения единства измерений. Акустика. Опорный нуль для калибровки аудиометрической аппаратуры. Часть 5. Опорные эквивалентные пороговые уровни звукового давления чистых тонов в диапазоне частот от 8 до 16 кГц" |
|
ISO 389-6 |
IDT |
ГОСТ Р ИСО 389-6-2011 "Государственная система обеспечения единства измерений. Акустика. Опорный нуль для калибровки аудиометрической аппаратуры. Часть 6. Опорный порог слышимости тестовых сигналов малой длительности" |
|
* Соответствующий национальный стандарт отсутствует. До его утверждения рекомендуется использовать перевод на русский язык данного международного стандарта. Перевод данного международного стандарта находится в Федеральном информационном фонде стандартов. Примечание - В настоящей таблице использовано следующее условное обозначение степени соответствия стандартов: - IDT - идентичные стандарты. | ||
Библиография
|
[1] |
Bruel, P.V., Frederiksen, E., Mathiasen, H., Rasmussen, G., Sigh, E., Tarnow, V.: Impedance of real and artificial ears. Copenhagen, Denmark, 1976, Literature number Bruel&Kjaer BN0221 Брюель П.В., Фредериксен Е., Мэзиэсен Х., Расмуссен, Г., Сай Е., Тарнув В. Сопротивление реальных и искусственных ушей. - Копенгаген (Дания), 1976, Bruel & Kjaer BN0221 |
|
[2] |
ANSI S 3.7:1995 (R2003) Methods for coupler calibration of earphones (Методы калибровки устройств связи телефонов) |
|
[3] |
Richter, U.: Characteristic data of different kinds of earphones used in the extended high-frequency range for pure-tone audiometry. PTB report MA-72, 2003 Рихтер Ю.: Характеристические данные различных типов телефонов, используемых в расширенном высокочастотном диапазоне для аудиометрии чистого тона. РТВ доклад МА-72, 2003 |
|
[4] |
Daniels F.B.: Acoustical impedances of enclosures. J Acoust Soc Am, 1947, Vol 19, 569-571 Дэниэлс Ф.Б. Акустические сопротивления ограждений//J Acoust Soc Am, 1947. - Том 19, с. 569-571 |
|
[5] |
Jonsson, S.: Modelling of the Bruel & Kjaer Type 4157 occluded ear simulators at different ambient conditions. Copenhagen, Denmark 2009, Bruel & Kjaer report number BN0583 Джонссон С. Моделирование имитаторов внутреннего уха Bruel и Kjaer, Тип 4157 при различных условиях окружающей среды. Копенгаген (Дания), 2009, Bruel & Kjaer, номер доклада BN0583 |
|
[6] |
Heeren, W., Rasmussen, P.: RA 0045 (IEC 711 coupler), different ambient conditions. Copenhagen, Denmark 2008, G.R.A.S. Sound & Vibration, Internal Report Хирен В., Расмуссен P.: RA 0045 (МЭК 711 coupler), различные условия окружающей среды. Копенгаген (Дания), 2008, G.R.A.S. Звуки вибрации, Внутренний доклад |
|
[7] |
Jonsson, S., Liu, B., Schuhmacher, A, Nielsen, L: Simulation of the IEC 711 occluded ear simulator. Audio Engineering Society 2004, Berlin Джонссон С., Лю Б., Schuhmacher А, Нильсен Л.: Моделирование МЭК 711 имитатора внутреннего уха. Общество аудиоинженеров 2004, Берлин |
|
[8] |
Zhang, Bin L, Jonsson, S., Schuhmacher, A., Nielsen. L: A combined BEM/FEM Acoustic Model of an Occluded Ear Simulator. Internoise 2004, Prague Чжан, Бин Л., Джонссон C., Schuhmacher А, Нильсен Л. Объединенная BEM/FEM акустическая модель имитатора внутреннего уха//Интерноиз, 2004, Прага |


