ГОСТ IEC 62493-2014 ОЦЕНКА ОСВЕТИТЕЛЬНОГО ОБОРУДОВАНИЯ, СВЯЗАННОГО С ВЛИЯНИЕМ НА ЧЕЛОВЕКА ЭЛЕКТРОМАГНИТНЫХ ПОЛЕЙ
Assessment of lighting equipment related to human exposure to electromagnetic fields
Введен впервые
Дата введения - 1 октября 2015 г.
Предисловие
Цели, основные принципы и порядок проведения работ по межгосударственной стандартизации установлены ГОСТ 1.0-92 "Межгосударственная система стандартизации. Основные положения" и ГОСТ 1.2-2009 "Межгосударственная система стандартизации. Стандарты межгосударственные, правила и рекомендации по межгосударственной стандартизации. Правила разработки, принятия, применения, обновления и отмены"
Сведения о стандарте
1 Подготовлен Открытым акционерным обществом "Всероссийский научно-исследовательский институт сертификации" (ОАО "ВНИИС")
2 Внесен Федеральным агентством по техническому регулированию и метрологии
3 Принят Межгосударственным советом по стандартизации, метрологии и сертификации (протокол от 30 сентября 2014 г. N 70-П)
За принятие проголосовали:
|
Краткое наименование страны по МК (ИСО 3166) 004-97 |
Код страны по МК (ИСО 3166) 004-97 |
Сокращенное наименование национального органа по стандартизации |
|
Армения |
AM |
Минэкономики Республики Армения |
|
Беларусь |
BY |
Госстандарт Республики Беларусь |
|
Казахстан |
KZ |
Госстандарт Республики Казахстан |
|
Киргизия |
KG |
Кыргызстандарт |
|
Молдова |
MD |
Молдова-Стандарт |
|
Россия |
RU |
Росстандарт |
4 Приказом Федерального агентства по техническому регулированию и метрологии от 24 ноября 2014 г. N 1726-ст межгосударственный стандарт ГОСТ IEC 62493-2014 введен в действие в качестве национального стандарта Российской Федерации с 1 октября 2015 г.
5 Настоящий стандарт идентичен международному стандарту IEC 62493:2009 Assessment of lighting equipment related to human exposure to electromagnetic fields (Оценка осветительного оборудования в отношении воздействия на человека электромагнитных полей).
В настоящем стандарте применены следующие шрифтовые выделения:
- требования - светлый;
- термины - полужирный;
- методы испытаний - курсив;
- примечания - петит.
В разделе "Нормативные ссылки" и тексте настоящего стандарта ссылки на международные стандарты актуализированы.
Международный стандарт разработан техническим комитетом по стандартизации IEC/TC 34 "Лампы и связанное оборудование".
Перевод с английского языка (en).
Сведения о соответствии межгосударственных стандартов ссылочным международным стандартам приведены в дополнительном приложении ДА.
Степень соответствия - идентичная (IDT)
6 Введен впервые
Введение
Настоящий международный стандарт устанавливает подходящий метод оценки для определения электромагнитных полей вблизи аппаратуры, указанной в области применения, и определяет стандартизованные рабочие условия и расстояния для измерения.
Данный стандарт предназначается для оценки путем измерений и вычислений электромагнитных (ЕМ) полей и их потенциального воздействия на организм человека.
На основании рабочих свойств осветительной Fаппаратуры для частотного диапазона применимых базовых ограничений можно установить следующие пределы:
- плотность наведенного тока между 20 кГц и 10 МГц;
- удельный коэффициент поглощения (SAR) между 100 кГц и 300 МГц;
- плотность энерговыделения находится вне области применения.
Примечание - Рабочие частоты осветительной аппаратуры находятся выше 20 кГц, чтобы исключить акустический шум и инфракрасное излучение. Долей частот выше 300 МГц можно пренебречь.
Данный стандарт не предназначается для замены определений и процедур, установленных в стандартах на внешние воздействия, он направлен на дополнение уже установленной процедуры для соответствия с воздействием.
Пределы воздействий, приведенные в приложении С (информативном), даны только для информации, они не включают исчерпывающий список и справедливы только для некоторых регионов мира. Пользователи данного стандарта должны использовать текущую версию предельных величин воздействия, установленную соответствующими национальными органами.
Данный международный стандарт применим к оценке осветительного оборудования исходя из воздействия на человека электромагнитных полей. Оценка состоит из наведенной плотности тока для частот от 20 кГц до 10 МГц и удельного коэффициента поглощения (SAR) для частот от 100 кГц до 300 МГц поблизости от осветительной аппаратуры.
В область действия настоящего стандарта включаются:
- вся осветительная аппаратура для общего освещения с основной функцией генерации и распространения света в целях освещения, и предназначенная для подключения либо к низковольтному электроснабжению, либо для работы с батарейным питанием; используемая в помещении и/или вне помещения. Аппаратура общего освещения означает все промышленное, жилищное, уличное освещение и освещение общественных мест;
- осветительная часть общего освещения многофункционального оборудования, одной их основных функций которого является освещение;
- независимое вспомогательное оборудование, предназначенное исключительно с осветительной аппаратурой.
Из области действия данного стандарта исключаются:
- осветительная аппаратура для летательных аппаратов и аэродроидов;
- осветительная аппаратура для дорожных транспортных средств; (исключая освещение, используемое для освещения пассажирских салонов в общественном транспорте)
- осветительная аппаратура для сельского хозяйства;
- осветительная аппаратура для лодок/кораблей;
- фотокопировальные устройства, диаскопические проекторы;
- аппаратура, для которой требования по электромагнитным полям в явной форме формулируются в других стандартах IEC;
Примечание - Методы, описываемые в данном стандарте, не подходят для сравнения полей от другой осветительной аппаратуры.
Данный стандарт не применим к встроенным компонентам для светильников, таких как электронное управляющее устройство.
Следующие ссылочные документы обязательны для применения данного документа. В случае датированных ссылок действующим является только указанное издание. Применительно к недатированным ссылочным документам применяются их самые последние издания (включая все последующие изменения).
CISPR 15:2005* Limits and methods of measurement of radio disturbance characteristics of electrical lighting and similar equipment (Предельные значения и методы измерений характеристик радиопомех электроосветительного и аналогичного оборудования. Изменение 1 (2006), Изменение 2 (2008))
CISPR 16-1-1 Specification for radio disturbance and immunity measuring apparatus and methods - Part 1-1: Radio disturbance and immunity measuring apparatus - Measuring apparatus (Аппаратура для измерения радиопомех и помехозащищенности и методы измерений. Технические требования. Часть 1-1. Аппаратура для измерения радиопомех и помехозащищенности. Измерительная аппаратура)
CISPR 16-1-2 Specification for radio disturbance and immunity measuring apparatus and methods - Part 1-2; Radio disturbance and immunity measuring apparatus - Ancillary equipment - Conducted disturbances (Аппаратура для измерения радиопомех и помехозащищенности и методы измерений. Технические условия. Часть 1-2. Аппаратура для измерения радиопомех и помехозащищенности. Вспомогательное оборудование, наведенные помехи)
CISPR 16-4-2:2003 Specification for radio disturbance and immunity measuring apparatus and methods - Part 4-2: Uncertainties, statistics and limit modelling - Measurement instrumentation uncertainty (Аппаратура для измерения радиопомех и помехозащищенности и методы измерения. Технические условия. Часть 4-2. Моделирование погрешностей, статистики и предельных величин. Погрешности при измерениях электромагнитной совместимости (ЕМС))
IЕС 62311:2007 Assessment of electronic and electrical equipment related to human exposure restrictions for electromagnetic fields (0 Hz - 300 GHz) (Оценка электронного и электрического оборудования, связанного с ограничениями воздействия на человека электромагнитных полей (0 Гц - 300 ГГц))
IEEE Std С95.1-2005 Standard for Safety Levels With Respect to Human Exposure to Radio Frequency Electromagnetic Fields, 3 kHz to 300 GHz (Стандарт IEEE по безопасным уровням воздействия на человека радиочастотных электромагнитных полей, 3 кГц до 300 ГГц).
3.1 Термины и определения
В настоящем стандарте применены следующие термины с соответствующими определениями:
3.1.1 основное ограничение (basic restriction (basic limitations)): Ограничения на воздействие электрических, магнитных и электромагнитных полей, которое основано на биологическом действии и включает коэффициент безопасности. Основное ограничение является максимальным уровнем, который не должен превышаться ни при каких условиях.
3.1.2 воздействие (exposure): Воздействие происходит всегда и везде, когда человек подвергается действию электрических, магнитных или электромагнитных полей или контактных токов, отличных от возникающих при физиологических процессах и других явлениях природы.
3.1.3 расстояние измерения (measurement distance): Расстояние между осветительной аппаратурой и внешней поверхностью испытательной головки (см. приложение А).
3.1.4 точка измерения (measurement point): Расположение и местонахождение измерительной испытательной головки по отношению к осветительной аппаратуре.
3.1.5 управляющее устройство лампы (lamp control gear): Один или большее число компонентов между подводом питания и одной или несколькими лампами, которые могут служить для преобразования напряжения электропитания, ограничивать ток ламп(ы) до требуемого значения, обеспечивать пусковое напряжение и ток для предварительного нагрева, предотвращать холодный запуск, корректировать коэффициент мощности или уменьшать радиопомехи.
3.1.6 встроенное в лампу управляющее устройство (built-in lamp control gear): Управляющее устройство лампы обычно предназначается для встраивания в светильник, коробку, оболочку и не предназначается для установки вне светильника и др. без специальных мер предосторожности. Отсек для управляющего устройства в основании дорожного фонарного столба рассматривается как оболочка.
3.1.7 независимое устройство управления лампой (independent lamp control gear): Устройство управления лампой, состоящее из одного или большего числа элементов, спроектированное так, что оно может монтироваться отдельно вне светильника, с защитой в соответствии с маркировкой управляющего устройства лампы и без дополнительного ограждения. Оно может состоять из встроенного устройства управления лампой, помещенного в подходящую оболочку, которая обеспечивает всю необходимую защиту в соответствии с его маркировками.
3.1.8 неразъемное устройство управления лампой (integral lamp control gear): Устройство управления лампой, которое составляет несъемную часть светильника и которое не может испытываться отдельно от светильника.
3.1.9 дроссель стартера (ballast): Устройство, вставляемое между подводом электропитания и одной или многими разрядными лампами, которое посредством катушки индуктивности, емкости конденсатора или сочетания индуктивности и емкости служит, главным образом, для ограничения тока ламп(ы) до требуемой величины. Оно может включать также средства для преобразования напряжения питания и устройства, которые помогают обеспечить пусковое напряжение и ток предварительного нагрева.
3.1.10 лампа со встроенным пускорегулирующим аппаратом (self-ballasted lamp): Устройство, которое может разбираться без повреждения, снабженное цоколем лампы и включающее источник света и дополнительные элементы, необходимые для запуска и стабильной работы источника света.
3.1.11 электронное пускорегулирующее устройство с источником питания постоянного тока (d. с. supplied electronic ballast): Обратный преобразователь (инвертор) постоянного тока в пременный ток, использующий полупроводниковое устройство, которое может включать стабилизирующие элементы для снабжения электроэнергией одной или большего числа флуоресцентных ламп
3.1.12 независимый электронный преобразователь (independent electronic converter): Устройство управления лампой, состоящее из одного или большего числа отдельных элементов, спроектированное так, что оно может монтироваться отдельно вне осветительной аппаратуры с с защитой в соответствии с маркировкой управляющего устройства лампы и без какой-либо дополнительной оболочки. Оно может состоять из встроенного устройства управления лампой, помещенного в подходящую оболочку, которая обеспечивает всю необходимую защиту в соответствии с его маркировками.
3.2 Физические величины и единицы измерения
Физические величины и единицы измерения, используемые в данном стандарте, приведены в таблице 1.
|
Наименование показателя |
Символ |
Единица измерения |
Обозначение единицы измерения |
|
Проводимость |
а |
Сименс на метр |
См |
|
Плотность тока |
J |
Ампер на квадратный метр |
А/м2 |
|
Напряженность электрического поля |
E |
Вольт на метр |
В/м |
|
Частота |
f |
Герц |
ГЦ |
|
Напряженность магнитного поля |
Н |
Ампер на метр |
А/м |
|
Плотность магнитного потока |
В |
Тесла |
22 Т (Вб/м, В·с/м ) |
|
Мощность |
Р |
Ватт |
Вт |
|
Ток |
I |
Ампер |
А |
4.1 Общая информация
Используются базовые ограничения широкой публики либо по IEEE С95.1 2005, либо по ICNIRP 1998, см. приложение С.
4.2 Применение пределов
Осветительная аппаратура, описанная в области применения, соответствует данному стандарту, если удовлетворяет следующим требованиям:
- CISPR 15:2005:
- 4.3.1: основные выводы напряжении помех в диапазоне частот от 20 кГц до 30 МГц;
- 4.4: излучаемые электромагнитные возмущения в диапазоне частот от 100 кГц до 30 МГц;
- CISPR 15:2005, Изменение 1 (2006):
- 4.4.2: излучаемые электромагнитные возмущения в диапазоне частот от 30 МГц до 300 МГц;
- измеренная (взвешенная и суммарная) наведенная плотность тока из-за электрического поля в диапазоне частот от 20 кГц до 10 МГц не превышает коэффициент (F) 0,85, определенный приложении D.
4.3 Осветительная аппаратура, которая считается соответствующей без испытания
Осветительная аппаратура без электронного устройства управления считается соответствующей с требованиями стандарта без испытания.
Все виды запальных электродов, пускателей, переключателей, регуляторов света (включая устройства регулировки цветового тона, например, симистора, тиристорного выключателя (GTO)) и датчиков не рассматриваются как электронные устройства управления.
5.1 Напряжение источника питания
Измерения должны проводиться в пределах + 2% от максимального номинального напряжения питания. Аппаратура, которая может работать от источника питания переменного и/или постоянного тока должна измеряться от одного источника переменного тока и при одной частоте.
5.2 Диапазон частот измерения
Рассматриваемый диапазон измеряемых частот: от 20 до 10 МГц (см. приложение Е).
5.3 Температура окружающей среды
Измерения должны проводиться в диапазоне температур окружающей среды от 15 до 25°С.
5.4 Требования к измерительной аппаратуре
Необходим измерительный приемник или спектроанализатор электромагнитных помех (EMI) в соответствии с CISPR 16-1-1 с настройками, приведенными в таблице 2.
|
Диапазон частот |
B6 согласно CISPR 16-1-1 |
Время измерения |
fшага |
Детектор |
|
20 кГц - 150 кГц |
200 Гц |
100 мс |
220 Гц |
Пиковый |
|
150 кГц - 10 МГц |
9 кГц |
20 мс |
10 кГц |
Пиковый |
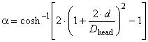
Испытательная головка "Ван-дер-Хуфдена / Van der Hoofden", показанная на рисунке 1, состоит из проводящей сферы с наружным диаметром Dhead = 210 мм + 5 мм, установленной на изолированном (например, деревянном, пластиковом) основании и подсоединенной через одинарный провод к защитному контуру.

Рисунок 1 - Испытательная головка "Ван-дер-Хуфдена"
Пример схемы защиты изображен на рисунке 2.
|
Пример
|
Рисунок 2 - Пример схемы защиты
Передаточная функция защитного контура задается уравнением (1)

(1)
Передаточная функция защитного контура не должна отклоняться более, чем на + 1 дБ/децибел от расчетной характеристики (см. приложение F по расчету). Калибровка защитного контура должна выполняться в соответствии с процедурой, детально описанной в приложении F.
Краткое описание измерительного оборудования приведено в 6.4
5.5 Неопределенность измерительной аппаратуры
Максимальная неопределенность измерительной аппаратуры (Ubasic) была оценена в 30%.
См. 5.7 по неопределенности измерения при оценке результатов измерения. Пример конкретного расчета см. в приложении G.
Примечание - Руководство по оценке неопределенности можно найти в IEC 61786:1998 [4].
5.6 Отчет об испытании
Отчет об испытании должен включать, по крайней мере, следующие пункты:
- идентификация осветительной аппаратуры;
- технические характеристики измерительного оборудования;
- рабочий режим, точка(и) измерения и расстояние(я);
- номинальное напряжение и частота;
- результат измерения;
- применяемый набор допустимых пределов.
5.7 Оценка результатов
Соответствие или несоответствие допустимому пределу должно определяться следующим образом.
Если неопределенность, рассчитанная по аппаратуре, фактически использованной при испытании (Uисп) меньше или равна неопределенности, установленной в 5.5 (Ubasic), то:
- соответствие признается, если результат измерения не превышает применяемый допустимый предел.
- признается, что имеет место несоответствие, если результат измерения превышает применяемый допустимый предел.
Если неопределенность, рассчитанная по аппаратуре, использованной при испытании (Uисп) выше неопределенности, установленной в 5.5 (Ubasic), то:
- признается, что имеет место соответствие, если результат измерения, увеличенный на (Uисп-Ubasic), не превышает применяемый допустимый предел.
- признается, что имеет место несоответствие, если результат измерения, увеличенный на (Uисп-Ubasic), превышает применяемый допустимый предел.
6.1 Общая информация
Метод оценки базируется на основных ограничениях, установленных как в ICNIRP 1998, так и в IEEE С95.1 2005. Используемая процедура измерения моделирует плотность тока в человеке вблизи осветительной аппаратуры. Измерения выполняются в рамках условий, указанных в таблице А.1 приложения А.
6.2 Рабочие условия
6.2.1 Рабочие условия для аппаратуры общего освещения
Измерения на осветительной аппаратуре должны выполняться в рабочих условиях, указанных изготовителем.
В случае осветительной аппаратуры, где можно заменять лампы различной номинальной мощности, необходимо замерять осветительную аппаратуру с лампой, которая имеет наибольшее номинальное напряжение.
Перед измерением лампа(ы) должна проработать, пока не наступит стабилизация. Если иное не указано изготовителем, должны соблюдаться следующие времена стабилизации:
- 15 мин для флуоресцентных ламп;
- 30 мин для других разрядных ламп.
Все измерения должны проводиться на лампах, проработавших 100 ч.
6.2.2 Рабочие условия для аппаратуры специального освещения
Осветительная аппаратура со многими лампами: Когда осветительная аппаратура содержит более одной лампы, все лампы должны работать одновременно.
Саморегулирующаяся аварийная аппаратура освещения: Если устройство может подключаться и работать от питающей сети, оно должно испытываться в этом режиме работы. Испытания не требуется в режиме аккумуляторного питания.
Осветительная аппаратура, способная регулировать освещенность, должна измеряться как при максимальном, так и при минимальном пределе регулировки освещенности.
Измерения должны проводиться в пределах + 2% от номинального напряжения источника питания. В случае диапазона напряжений, измерение должно проводиться в пределах + 2% от минимального и максимального номинального напряжения из этого диапазона.
6.3 Расстояние измерения
Осветительная аппаратура оценивается в соответствии с расстоянием измерения, приведенным в таблице А.1 приложения А, если иное не установлено изготовителем. Внешняя поверхность испытательной головки принимается в качестве контрольной точки при определении расстояния измерения. Допуски расстояний измерения составляют + 5%.
6.4 Измерительное оборудование
Измерительное оборудование показано на рисунке 3.

DUT - испытуемое устройство
Примечание - Приемник EMI или спектроанализатор должны снабжаться энергией от сетевого питания, включающего защитное заземление
Рисунок 3 - Измерительная установка
Если в осветительной аппаратуре предусматривается вывод заземления, то осветительная аппаратура должна подсоединяться к заземляющему проводу, содержащемуся в кабеле силовой сети, подводимому к осветительной аппаратуре.
Во время испытания никакая проводящая плоскость или объект, или человек не должны находиться ближе, чем 0,8 м, к осветительной аппаратуре.
Высота изолированного основания составляет минимум 0,8 м. Проводящая сфера подсоединяется к защитному контуру через одинарный провод длиной 30 + 3 см. Защитный контур затем подсоединяется к приемнику EMI или спектроанализатору с помощью коаксиального кабеля 50 Ом, имеющего потери в кабеле 0,2 дБ и сопротивление постоянного тока <10 Ом.
6.4.1 Измерительное оборудование для аппаратуры специального освещения
6.4.1.1 Лампа со встроенным пускорегулирующим аппаратом
Эти лампы должны вставляться непосредственно в патрон лампы, который монтируется на куске электроизоляционного материала. Измерительная испытательная головка располагается на расстоянии измерения, указанном в таблице А.1, от конца лампы.
6.4.1.2 Независимое электронное устройство управления
Независимое электронное устройство управления должно монтироваться на куске электроизоляционного материала вместе с подходящей лампой максимально разрешенной мощности. Нагрузочный кабель(и) между устройством управления и осветительной аппаратурой должно быть длиной 0,8 м с относительным допуском 20%, если иное не определено изготовителем. Конфигурация устройства управления, осветительная аппаратура и кабель(и) должны определяться в соответствии с рисунком В.2е.
6.5 Расположение измерительной испытательной головки
Положения для измерения должны выбираться в соответствии со следующими критериями.
Измерения должны проводиться только в направлении вероятного воздействия на широкую публику во время нормального использования.
В случае осветительной аппаратуры, включающей двухцокольные флуоресцентные лампы более 30 см, испытательная головка устанавливается, как показано на рисунке В.2а. Процедура измерения повторяется для обоих концов ламп, и в случае осветительной аппаратуры со многими лампами каждая лампа измеряется поочередно.
В случае осветительной аппаратуры с другими лампами, испытательная головка устанавливается на соответствующем расстоянии измерения, указанном в таблице А.1, в центральной точке предназначенного освещения.
Для той осветительной аппаратуры, где центральная точка освещения не может быть определена или где направление освещения не является направлением на широкую публику во время нормального использования, например, верхнее освещение, точка измерения выбирается на соответствующем испытательном расстоянии от осветительной аппаратуры вокруг ее периметра. Может выбираться более одной точки измерения для подтверждения характеристики осветительной аппаратуры.
На рисунках с В.2а до B2.f в приложении В представлены примеры расположения точки(чек) измерения для типичной осветительной аппаратуры.
6.6 Вычисление результатов
Результаты измерения вычисляются в соответствии с приложением Е.
_____________________________
* Существует консолидированное издание 7.2 (2009), включающее CISPR 15:2005 и его Изменение 1 и Изменение 2.
Приложение А
(справочное)
Расстояния измерения в таблице А.1 были определены на основе предполагаемого расположения широкой публики во время нормальной эксплуатации.
|
Тип осветительной аппаратуры |
Расстояние измерения (см) |
|
Переносная лампа(а) |
5(a) |
|
Настольное осветительное оборудование |
30 |
|
Настенное осветительное оборудование |
50 |
|
Верхнее освещение |
50 |
|
Подвесное осветительное оборудование |
50 |
|
Потолочное и/или утопленное осветительное оборудование для флуоресцентных ламп с входной мощностью(b) ≤ 180 Вт |
50 |
|
Потолочное и/или утопленное осветительное оборудование для флуоресцентных ламп с входной мощностью(b)> 180 Вт |
70 |
|
Потолочное и/или утопленное осветительное оборудование для разрядных ламп с входной мощностью(b) ≤ 180 Вт |
70 |
|
Потолочное и/или утопленное осветительное оборудование для разрядных ламп с входной мощностью(b)> 180 Вт |
100 |
|
Переносное осветительное оборудование |
50 |
|
Прожекторное освещение |
200 |
|
Осветительное оборудование для дорог и уличное освещение |
200 |
|
Осветительные гирлянды |
50 |
|
Осветительное оборудование для плавательных бассейнов и подобного применения |
50 |
|
Осветительное оборудование для сценического освещения, телевизионных и киностудий (вне и внутри помещений) |
100 |
|
Осветительное оборудование для использования в клинических блоках больниц и лечебных центров |
50 |
|
Наземное утопленное осветительное оборудование |
50 |
|
Аквариумное осветительное оборудование |
50 |
|
Встраиваемые ночные светильники |
50 |
|
Лампа со встроенным пускорегулирующим аппаратом |
30 |
|
Аппаратура ультрафиолетового (UV) и инфракрасного (IR) излучения |
50 |
|
Освещение в транспорте (установленное в салонах автобусов и поездов) |
50 |
|
Другое осветительное оборудование, не указанное в данной таблице |
50 |
|
(a) Расстояние измерения должно быть 30 см и измеренное значение должно рассчитываться по расстоянию 5 см (уравнение; 1/r3). (b) Общая номинальная мощность осветительной аппаратуры. | |
Приложение В
(справочное)

Рисунок В.1 - Типичное измерительное устройство

В.2а) Местоположение точки измерения для осветительной аппаратуры с двухцокольными флуоресцентными лампами(ой) (утопленными, установленными на поверхности или на фонарном столбе)

B.2b) Местоположение точки измерения для осветительной аппаратуры с одноцокольной флуоресцентной лампой(ами) (утопленными, установленными на поверхности или на фонарном столбе)

В.2с) Местоположение точки измерения для осветительной аппаратуры с одноцокольной лампой (освещение 360°)

В.2d) Местоположение точек измерения для осветительной аппаратуры с удаленной коробкой управления

Примечание - Длина кабеля 0,8 м, если иное не определенно в инструкциях по установке изготовителя.
В.2е) Местоположение точки измерения для осветительной аппаратуры с независимым электронным преобразователем

Примечание - В случае длинных флуоресцентных ламп испытательная головка располагается перпендикулярно к лампе(ам) в 15 см от конца ламп(ы).
B.2f) Местоположение точки(ек) измерения при верхнем освещении (напольном /подвесном)
Рисунок В.2 - Расположение испытательной головки при измерении
Приложение С
(справочное)
С.1 Общая информация
Пределы воздействия, установленные в данном информативном приложении, приводятся только для информации, они не включают исчерпывающий список и справедливы только в некоторых районах мира. Пользователи настоящего стандарта должны использовать текущую версию предельных величин, установленную соответствующими национальными органами.
С.2 ICNIRP
|
Диапазон частот |
Плотность тока (голова и туловище), мА/м2 (среднеквадратические) |
Средний SAR (все тело), Вт/кг |
Локализованный SAR (голова и туловище), Вт/кг |
Локализованный SAR (конечности), Вт/кг |
|
До 1 Гц |
8 | |||
|
1 Гц - 4 Гц |
8/f | |||
|
4 Гц - 1 000 Гц |
2 | |||
|
1 кГц - 100 кГц |
fl500 | |||
|
100 кГц - 10 Мгц |
fl500 |
0,08 |
2 |
4 |
|
10 Мгц - 10 ГГц |
0,08 |
2 |
4 | |
|
Примечание - f - это частота в герцах. | ||||
|
Уровень действия(а) |
Люди в контролируемых средах | ||
|
Подвергаемые воздействию ткани |
fe, Гц |
E0 (среднеквадратические), В/м |
E0 ((среднеквадратические), В/м |
|
Мозг |
20 |
5,89·10-3 |
1,77·10-3 |
|
Сердце |
167 |
0,943 |
0,943 |
|
Конечности |
3 350 |
2,10 |
2,10 |
|
Другие ткани |
3 350 |
0,701 |
2,10 |
|
E0 - реобаза в месте присутствия поля; fe - параметр частоты. (а) В рамках данного диапазона частот термин "уровень действия" эквивалентен термину "широкая публика" в IEEE С95.6-2002. | |||
Приложение D
(справочное)
D.1 Общая информация
Метод оценки соответствия воздействий, базирующийся на стандартах ICNIRP и IEEE, приведенный в данном приложении (см. рисунок D.1), состоит из оценки наведенного тока (см. раздел D.2) и оценки тепловых воздействий (см. раздел D.3).

Рисунок D.1 - Обзор метода измерения и оценки
D.2 Плотность наведенного тока
D.2.1 Общая информация
Исходя из основных ограничений, плотность наведенного тока в (манекене) человека должна удовлетворять требованию уравнения (D.1):

(D.1)
где: J(fi, d) - плотность тока при частоте i и при расстоянии измерения d в соответствии с приложением А;
JLim(fi) - основное ограничение плотности тока при частоте i по таблице С.1. Плотность наведенного тока в (манекене) человека i может наводиться:
- вихревыми токами в (манекене) человека, вызванными магнитным полем испытуемой осветительной аппаратуры, описанным в данном разделе.
- емкостными токами от испытуемой осветительной аппаратуры на (манекен) человека, вызванными электрическим полем, описанным в разделе D.3.
Поэтому уравнение (D.1) можно переписать в уравнение (D.2):

(D.2)
где: Jeddy(fi, d) - плотность тока, вызванная магнитным полем при частоте i и при расстоянии измерения d в соответствии с приложением А
Jcap(fi, d) - плотность тока, вызванная электрическим полем при частоте i и при расстоянии измерения d в соответствии с приложением А.
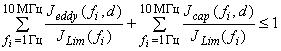
Частоты для силовых преобразователей в осветительной аппаратуре должны быть выше 20 кГц, чтобы исключить акустический шум и инфракрасные помехи. С учетом этого уравнение (D.2) можно переписать в уравнение (D.3):

(D.3)
Частота сети 50 Гц или 60 Гц является только соответствующим частотным компонентом в частотной области от 1 Гц до 20 кГц. Поэтому уравнение (D.3) можно переписать в уравнение (D.4)

(D.4)
D.2.2 Плотность наведенного тока, вызванного магнитным полем; Jeddy(fi, dloop)
D.2.2.1 Общая информация

Рисунок D.2 - Расстояния до головки, контура и измерительного оборудования
Наведенное напряжение в контуре в головке (см. рисунок D.2), вызванное магнитным полем можно вычислить по уравнению (D.5)
![]()
(D.5)
где: Vind(fi, dloop) - наведенное напряжение в контуре в головке при частоте fi и расстоянии dloop контура;
Dloop - диаметр контура в головке;
B(fi, dloop) - магнитное В-поле при частоте fi и при расстоянии dloop.
Наведенный ток в контуре головки, вызванный магнитным полем, можно вычислить по уравнению (D.6)

(D.6)
где: Ieddy(fi, dloop) - наведенный ток в контуре головки, вызванный магнитным полем при частоте fi и расстоянии dloop контура;
А - проводная составляющая в контуре головки;
σ(fi) - проводимость контура головки при частоте fi;
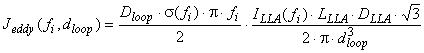
Плотность тока в контуре головки, вызванная магнитным полем при частоте fi и расстоянии dloop контура, можно вычислить по уравнению (D.7)

(D.7)
D.2.2.2 Вклад частоты fmains в плотность наведенного тока, вызванного магнитным полем:
Измеренное В-поле при частоте сети и при расстоянии d = 0,3 м от осветительного оборудования составляет приблизительно 60 нанотесла. При σ(fmains) ≤ 0,09 (значение для мозга согласно таблице С.1 IEC 62311) и Dloop = Dhead = 0,21 м следующие данные могут быть вычислены (см. таблицу D.1):
|
fi=fmains [Гц] |
Jeddy(fi, d) [нА/м2] @fmains и d = 0,3 м |
JLim(fi) [мА/м2] @fmains |
Jeddy(fi, d) JLim(fi) @fmains и d = 0,3 м |
|
50 |
89,1 |
2 |
45·10-6 |
|
60 |
107 |
2 |
53·10-6 |
Можно прийти к выводу, что вкладом в плотность тока в контуре головки из-за магнитного поля при частоте сети и расстоянии измерения d = 0,3 м можно пренебречь.
D.2.2.3 Вклад частот от 20 кГц до 10 МГц в плотность наведенного тока, вызванного магнитным полем
В наихудшем случае вклад в плотность тока в контуре головки, вызванного магнитным полем в области частот от 20 кГц до 10 МГц и при расстоянии измерения d можно определить при использовании магнитных излучений CISPR 15. Согласно CISPR 15 максимальный ток при частоте fi в 2 м большой рамочной антенны (LLA) приводится на рисунке 3.

Рисунок D.3 - Максимальный ток в 2 - метровой LLA как функция частоты
Максимальный ток при частоте fi в 2-метровой LLA рисунка D.3 может быть преобразован в максимальное B-поле при частоте fi и при произвольном расстоянии d.
Преобразование можно пояснить следующим образом:
Виртуальный магнитный диполь с площадью Adipole, расположенный в центре 2 - метровой LLA, имеет взаимную индуктивность с 2-метровой LLA:
,
(D.8)
где М - взаимная индуктивность между виртуальным магнитным диполем и 2 - метровой LLA;
Adipole - площадь виртуального магнитного диполя;
DLLA - диаметр 2 - метровой LLA, равный 2 м.
Импульс виртуального магнитного диполя равен Idipole(fi). Adipole,
где Idipole(fi) - виртуальный ток при частоте fi, в виртуальном магнитном диполе. Наведенное напряжения в LLA составляет:
Vind(fi)=2·π·fi·M·Idipole(fi)
(D.9)
Ток в LLA равен:
![]()
(D.10)
где LLLA - индуктивность 2 - метровой LLA, равная 9,65 мкГн.
Поэтому по пределу, установленному для тока в LLA, может быть вычислен импульс виртуального магнитного диполя Idipole(fi) Adipole. Из этого импульса виртуального магнитного диполя может быть вычислена напряженность магнитного поля в направлении, где оно максимально. Вычисления проводятся вплоть 10 МГц, поэтому наименьшая длина волны составляет 30 м и переход между полем в ближней зоне и полем в дальней зоне занимает 30/2 п = 4,8 м. Для EMF нас интересует плотность наведенного тока при меньшем расстоянии, поэтому все вычисления основываются на состоянии поля в ближней зоне, где Н ~ 1/d. Максимальная напряженность поля при расстоянии dloop может быть выражено следующим образом:

(D.11)
где: dloop=d+DheadI2
Исходя из этого уравнения, максимальное В-поле при частоте fi и произвольном расстоянии dloop определяется как:
![]()
(D.12)
В наихудшем случае В-поля в х-, у- и z-направлении все удовлетворяют этому максимальному значению. Результирующее В-поле может быть вычислено по уравнению (D.13):

(D.13)
Уравнение (D.7) можно сейчас переписать в уравнение (D.14):

(D.14)
В наихудшем случае вклад плотности тока в контур головки из-за действия магнитного поля в области частот от 20 кГц до 10 МГц и при расстоянии измерения d = 0,3 м можно сейчас вычислить следующим образом:

и результат должен быть <0,15
Заключение:
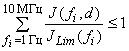
Если осветительная аппаратура соответствует CISPR 15, то уравнение (D.4) можно свести к уравнению (D.15):

(D.15)
D.2.3 Плотность наведенного тока, вызванного электрическим полем; Jcap(fi, d)
D.2.3.1 Общая информация
Вклад емкостного тока в плотность наведенного тока измеряется при использовании манекена человека вблизи осветительной аппаратуры с расстоянием измерения d в соответствии с таблицей А.1 и расположением в соответствии с приложением В. Используемый манекен человека является моделью однородного тела, описанного на рисунке С.3 IEC 62311.
Предполагается, что голова манекена человека находится ближе всего к осветительной аппаратуре и максимальная плотность тока наблюдается в шее. Поэтому только голова (а металлизированная сфера с наружным диаметром Dhead = 210 мм±5 мм) используется как "испытательная головка тока". Диаметр шеи Dneck = 110 мм используется при вычислении плотности тока. Детальные данные "испытательная головка тока", называемой испытательной головкой "Ван-дер-Хуфдена" можно найти в параграфе 5.4.
Примечание - Плотность тока в шее однородна, поскольку влиянием кожи вплоть до 10 МГц можно пренебречь

Рисунок D.4 - Расстояния до головы и измерительного оборудования
Паразитную емкость между большой плитой и сферой можно вычислить по формулам из W.R. Smythe/Смит, Static and Dynamic Electricity / Статическое и динамическое Электричество, McGraw-Hill, 1950 [3] (см. рисунок D.5):

(D.16)
![]()
(D.17)
Примечание - Для большинства практических ситуаций достаточно принять N = 50.
При d = 0,3 м: Csphere_plate = 3 пФ

Рисунок D.5 - График уравнений (D.16) и (D.17)
Плотность тока в шее, вызванного сетевым питанием, может быть вычислена по уравнению (D.18).

(D.18)
Вычисление вкладов часто встречающихся электрических сетей приведено в таблице D.2.
|
Umains [B] |
fmains [Гц] |
Jcap(fmains, d) [мА/м2] @fmains и d = 0,3 м |
JLim(fmains) [мА/м2] |
Jcap(fmains, d) JLim(fmains) @fmains и d=0,3 м |
|
230 |
50 |
22,8 |
2 |
0,011 |
|
120 |
60 |
14,6 |
2 |
0,007 |
|
277 |
60 |
33,6 |
2 |
0,017 |
Результаты вычислений, приведенные в последнем столбце таблицы D.2, показывают, что вкладом электрической сети можно пренебречь, и уравнение (D.15) можно упростить до уравнения (D.19)

(D.19)
D.2.3.3 Вклад диапазона частот от 20 кГц до 10 МГц в плотность наведенного тока, вызванного электрическим полем:
Вклад емкостного тока в плотность наведенного тока в диапазоне частот от 20 кГц до 10 МГц должен измеряться с помощью приемника - EMI в соответствии с рисунком 3 и уравнением (D.19).
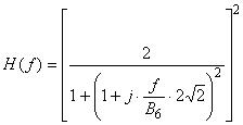
Шаг частоты суммирования определяется при CISPR 16-1-1. Согласно CISPR 16-1-1 IF-фильтр (фильтр промежуточной частоты) приемника имеет передаточную функцию уравнения (D.20):

(D.20)
Примечание B6 - это ширин полосы 6 дБ/децибел, установленная в CISPR 16-1-1.
Модуль (абсолютная величина) уравнения (D.20) выражается уравнением (D.21).

(D.21)
Шаг частоты при суммировании амплитуды определяется уравнением (D.22):

(D.22)
Решение уравнения (D.22) дает в результате шаг частоты при суммироваии амплитуды, который равняется 1,11, умноженной на B6, см. таблицу D.3.
|
Диапазон частот |
B6 согласно CISPR 16-1-1 |
fшага ампл. |
|
20 кГц - 150 кГц |
200 Гц |
220 Гц |
|
150 кГц - 10 МГц |
9 кГц |
10 кГц |
Уравнение (D.19) можно переписать в уравнение (D.23);

(D.23)
Практический метод измерения и оценки для вычисления уравнения (D.23) приводится в приложении Е.
D.3 Тепловые воздействия при частотах от 100 кГц до 300 ГГц
D.3.1 Общая информация
Считается, что тепловые воздействия удовлетворяют требованиям, если мощность излучения ≤20 мВт согласно ICNIRP. В данном параграфе будет показано, что мощность ≤20 мВт для любой осветительной аппаратуры, которая удовлетворяет CISPR 15.
Доказательство того, что излучаемая мощность ≤20 мВт, начинается с уравнения (D.24):
![]()
(D.24)
Частотный шаг суммирования определяется при использовании CISPR 16-1-1, как поясняется в подразделе D.2.3.3.
Частотный шаг при суммировании мощности может определяться уравнением (D.25):

(D.25)
Решение уравнения (D.25) дает в результате шаг частоты при суммировании мощности, который равняется 0,833, множенное на B6 см. таблицу D.4.
|
Диапазон частот |
B6 согласно CISPR 16-1-1 |
fшага мощн. |
|
100 кГц - 150 кГц |
200 Гц |
167 Гц |
|
150 кГц - 30 МГц |
9 кГц |
7,5 кГц |
|
30 МГц - 300 МГц |
120 кГц |
100 кГц |
D.3.2 Вклад частот от 100 кГц до 30 МГц в тепловое воздействие
Максимальное напряжение на выводах (TV) кондуктивного излучения устанавливается CISPR 15:2005. Излучение максимально, если TV наводится только синфазным током и если сетевой шнур действует как диполь полуволны при любой частоте. По диполю полуволны известно, что импеданс для излучения составляет 73 Ом. С учетом этого максимальная излучаемая мощность в этом диапазоне частот может быть вычислена при использовании уравнения (D.26).

(D.26)
где:
Prad,max (100 кГц до 30 МГц) - максимальная излучаемая мощность [Вт] между 100 кГц и 30 МГц;
Icm(fi) - синфазный ток [А] при частоте i.
Используя закон Кирхгофа, уравнение (D.26) можно переписать в уравнение (D.27):

(D.27)
где TVlim(fi) - пределы напряжения на выводах согласно CISPR 15 при частоте fi.
Решение уравнения (D.27) дает в результате:
Prad,max (100 кГц до 30 МГц) ≤ 5,98[мВт]
D.3.3 Вклад частот от 30 МГц до 300 МГц в тепловые эффекты:
Осветительная аппаратура удовлетворяет требованиям на излучение в соответствии с CISPR 15. В наихудшем случае при любой частоте осветительная аппаратура излучает как полуволновой диполь. Максимальная излучаемая мощность в главном направлении поля задается уравнением (D.28):

(D.28)
где Elim(f, r): предел напряженности поля [В/м] при частоте fi.
Согласно CISPR 15 пределы напряженности поля составляют:
|
Диапазон частот, МГц |
E(lim), [дБ мкВ/м] |
E(lim), мкВ/м |
r, м |
|
30 - 230 |
30 |
31,6 |
30 |
|
230 - 1000 |
37 |
70,8 |
30 |
Решение уравнения (D.28) дает в результате:
Prad,max(30 МГц до 300 МГц)≤0,10[мВт].
Заключение:
Считается, что любая осветительная аппаратура, которая соответствует CISPR 15 удовлетворяет требованиям к тепловым воздействиям согласно ICNIRP и IEEE.
Приложение Е
(справочное)
Е.1 Измерение плотности тока
Плотность тока должна измеряться диапазоне частот от 20 кГц до 10 МГц в соответствии с подразделом 5.2.
В данном приложении описывается пример, основанный на приемнике EMI, который генерирует выходные данные в виде матрицы, где частота, МГц, хранится в столбце 0, а измеренное напряжение, дБмкВ, в столбце 1. Эти выходные данные должны обрабатываться программой расчета, приведенной параграфе Е.2.
Е.2 Программа расчета
Измеренные данные - это матрица с частотой fn, МГц, хранимой столбце 0 и измеренное напряжение V(fn), дБмкВ, в столбце 1.
Измеренное напряжение V(fn), дБмкВ, столбца 1 должно быть преобразовано в V(fn), В, с использованием уравнения (Е.1).
![]()
(E.1)
Напряжение V(fn), B, должно быть преобразовано в ток Icap(fn),A, с использованием передаточной функции g(fn) [В/А], определенной защитным контуром параграфа 5.4 и заданной уравнением (Е.2)
,
(E.2)
Плотность тока Jcap(fn), A/м2, задается уравнением (Е.3)
,
(E.3)
,
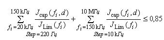
Плотность тока Jcap(fn) должна быть нормирована по предельной величине JLim(fn) и должна быть просуммирована для определения показателя F, заданного уравнением (Е.4)
![]()
(E.4)
, Гц
Размер шага определяется в таблице 2.
Е.3 Критерии соответствия:
Осветительная аппаратура, описанная в области применения, соответствует данному стандарту, если она удовлетворяет следующим требованиям:
- CISPR 15:2005:
- 4.3.1: Основные выводы возмущающего напряжения в области частот от 20 кГц до 30 МГц;
- 4.4: Излучаемые электромагнитные возмущения в диапазоне частот от 100 кГц до 30 МГц;
- CISPR 15:2005, Изменение 1 (2006):
- 4.4.2: Излучаемые электромагнитные возмущения в диапазоне частот от 30 МГц до 300 МГц;
- измеренная (взвешенная и просуммированная) плотность наведенного тока из-за электрического поля в диапазоне частот от 20 кГц до 10 МГц не превышает показатель (F) 0,85, определенный в приложении D.
Приложение F
(обязательное)
F.1 Калибровка защитного контура
Калибровка должна выполняться таким же образом, как и калибровка эквивалента сети электропитания (V-образного эквивалента сети), описанного в CISPR 16-1-2.
Входной и выходной порт защитного контура не согласованы с характеристическим импедансом 50 Ом сетевого анализатора (NWA). Из-за этого свойства калибровка должна проводиться в два шага:
Шаг 1:

Рисунок F.1 - Испытательное устройство для нормализации сетевого анализатора
После калибровки сетевого анализатора на испытательном устройств, показанном на рисунке F.1, схема должна быть изменена в новую конфигурацию, показанную на рисунке F.2.
Шаг 2:

Рисунок F.2 - Испытательное устройство для измерения коэффициента деления напряжения с использованием сетевого анализатора
После того, как передаточная функция измерена с помощью сетевого анализатора, ее необходимо сравнить с теоретической характеристикой.
F.2 Вычисление теоретической характеристики защитного контура
Передаточная функция, заданная уравнением (1) в 5.4 не может использоваться для калибровки. Поэтому здесь приводится теоретическая характеристика.
Теоретическая передаточная функция (см. рисунок F.3) защитного контура для калибровки с сетевым анализатором задается уравнением (F.1). Все значения, кроме RNWA (входной импеданс RNWA сетевого анализатора обычно равняется 50 Ом) могут быть взяты из рисунка 2.

(F.1)
R2NWA=R2+RNWA
(F.2)

(F.3)

(F.4)

Максимально допустимое отклонение на рисунке устанавливается ±1 дБ/децибел.
Рисунок F.3 - Вычисленная теоретическая характеристика для калибровки защитного контура
Приложение G
(справочное)
Основные компоненты каждого фактора неопределенности идентифицированы и оценены. Все сделанные предположения документируются в таблице G.2 и указываются как примечания при вычислении фактической неопределенности, приведенным в таблице G.1.
Измеренное напряжение V вычисляется как:
V=Vr+LC+δVsw+δVpa+δVpr+δVnf+δM+δg+δD+δd+δI
|
Входная величина |
Xi |
Неопределенность xi Функция распределения вероятности дБ/децибел |
u(xi), дБ |
ci |
ci u(xi), дБ | |
|
Показание приемника(1)(а) |
Vr |
±0,1 |
k = 1 |
0,10 |
1 |
0,10 |
|
Затухание: Защитный контур-приемник(2) |
Lc |
±0,1 |
k = 2 |
0,05 |
1 |
0,05 |
|
Фазирование приемника: Синусоидальное напряжение(3) Амплитудная характеристика импульсов(4) Скоростная характеристика повторения импульсов(5) Noise floor proximity(6) |
δVsw δVpa δVpr δVnf |
±1,0±0,0±0,0±0,0 |
k = 2 Прямоугольная Прямоугольная |
0,50 0,00 0,00 0,00 |
1 1 1 1 |
0,50 0,00 0,00 0,00 |
|
Несогласованность: Защитный контур-приемник(7) Передаточная функция защитного контура(8) |
δM δg |
±0,085 |
U-образная |
0,06 |
1 |
0,06 |
|
±1,0 |
Прямоугольная |
0,50 |
1 |
0,58 | ||
|
Расстояние между испытательной головкой и DUT(9) |
δD |
-0,367/ +0,352 |
k = 1 |
0,36 |
1 |
0,36 |
|
Диаметр испытательной головки(10) |
δd |
-0,423 / +0,365 |
k = 1 |
0,39 |
1 |
0,39 |
|
Длина одинарного кабеля(11) |
δI |
±0,0 |
0,00 |
0,00 | ||
|
Совместная неопределенность измерения: 0, uc = | ||||||
|
Расширенная неопределенность измерения: ± 1,88 2 uc (V) = | ||||||
|
(а) Цифры в верхних индексах относятся к комментариям, перечисленным в таблице G.2. | ||||||
|
Комментарии |
Ссылка на приложение А.5 CISPR 16-4-2 |
Использованные данные для вычислений / утверждения |
|
1) Случайное колебание показаний приемника |
Примечание 1 |
CISPR 16-4-2:2003, таблица А.1 |
|
2) Неопределенность измерения потерь в кабеле |
Примечание 2 |
CISPR 16-4-2:2003, таблица А.1 |
|
3) Неопределенность фазирования синусоиды приемника |
Примечание 4 |
CISPR 16-4-2:2003, таблица А.1 |
|
4) Неопределенность фазирования импульсной амплитудной характеристики приемника |
Поскольку существуют только синусоидальные сигналы и их гармоники, характеристикой амплитуды импульсов можно пренебречь | |
|
5) Неопределенность изменения скорости повторения импульсов приемника |
Поскольку существуют только синусоидальные сигналы и их гармоники, характеристикой амплитуды импульсов можно пренебречь | |
|
6) Неопределенность влияния собственных шумов приемника |
Примечание 6 |
CISPR 16-4-2:2003, таблица А.1 |
|
7) Неопределенность несогласованности между приемником и защитным контуром |
Примечание 7 |
CISPR 16-4-2:2003, таблица А.1 |
|
8) Допуск передаточной функции защитного контура, установленный как ±1 дБ от теоретической кривой |
- |
- |
|
9) Неопределенность из-за допуска расстояния между испытательной головкой и испытываемым устройством (DUT) |
6.3 Расстояние измерения | |
|
10) Неопределенность технологического допуска испытательной головки |
- |
5.4 Требования к измерительной аппаратуре |
|
11) Неопределенностью длины кабеля можно пренебречь |
Эксперимент показал, что ошибка между 0,2 м и 2,5 м меньше 0,8%. В соответствии с 6.4 (измерительное устройство) длина кабеля (0,3 м) может колебаться на ±0,03 м. Исходя из этой технической характеристики ошибка должна быть менее 0,2%. |
Приложение ДА
(справочное)
|
Обозначение и наименование международного стандарта |
Степень соответствия |
Обозначение и наименование межгосударственного стандарта |
|
CISPR 15:2005 Предельные значения и методы измерений характеристик радиопомех электроосветительного и аналогичного оборудования. Изменение 1 (2006), Изменение 2 (2008) |
- |
* |
|
CISPR 16-1-1:2006 Аппаратура для измерения радиопомех и помехозащищенности и методы измерений. Технические требования. Часть 1-1. Аппаратура для измерения радиопомех и помехозащищенности. Измерительная аппаратура. |
MOD |
ГОСТ 30805.16.1.1-2013 Совместимость технических средств электромагнитная. Требования к аппаратуре для измерения параметров индустриальных радиопомех и помехоустойчивости и методы измерений. Часть 1-1. Аппаратура для измерения параметров индустриальных радиопомех и помехоустойчивости. Приборы для измерения индустриальных радиопомех |
|
CISPR 16-1-2:2006 Аппаратура для измерения радиопомех и помехозащищенности и методы измерений. Технические условия. Часть 1-2. Аппаратура для измерения радиопомех и помехозащищенности. Вспомогательное оборудование, наведенные помехи. |
MOD |
ГОСТ 30805.16.1.2-2013 Совместимость технических средств электромагнитная. Требования к аппаратуре для измерения параметров индустриальных радиопомех и помехоустойчивости и методы измерений. Часть 1-2. Аппаратура для измерения параметров индустриальных радиопомех и помехоустойчивости. Устройства для измерения кондуктивных радиопомех и испытаний на устойчивость к кондуктивным радиопомехам |
|
CISPR 16-4-2:2003 Аппаратура для измерения радиопомех и помехозащищенности и методы измерения. Технические условия. Часть 4-2. Моделирование погрешностей, статистики и предельных величин. Погрешности при измерениях электромагнитной совместимости (ЕМС) |
MOD |
ГОСТ 30805.16.4.2-2013 Совместимость технических средств электромагнитная. Неопределенность измерений в области электромагнитной совместимости |
|
IEC 62311:2007 Оценка электронного и электрического оборудования, связанного с ограничениями воздействия на человека электромагнитных полей (0 Гц - 300 ГГц) |
- |
* |
|
IEEE Std С95.1-2005, Стандарт IEEE по безопасным уровням воздействия на человека радиочастотных электромагнитных полей, 3 кГц до 300 ГГц |
- |
* |
|
* Соответствующий межгосударственный стандарт отсутствует. До его утверждения рекомендуется использовать перевод на русский язык данного международного стандарта. Перевод данного международного стандарта находится в Федеральном информационном фонде технических регламентов и стандартов. Примечание - В настоящей таблице использовано следующее условное обозначение степени соответствия стандартов: - MOD - модифицированные стандарты. | ||
Библиография
|
[1] |
IGNIRP Руководящие указания по предельному воздействию изменяющихся во времени электрических, магнитных и электромагнитных полей (до 300 МГц). Health Phys., 1998, vol. 41, no. 4, pp. 449 - 522 |
|
[2] |
IEEE C95.6:2002 IEEE Standard for Safety Levels With Respect to Human Exposure to Electromagnetic Fields, 0 - 3 kHz (Стандарт IEEE по безопасным уровням воздействия на человека электромагнитных полей в диапазоне частот от 0 до 3 кГц) |
|
[3] |
SMYTHE W.R. Static and Dynamic Electricity (Статическое и Динамическое электричество. McGraw-Hill, 1950) |
|
[4] |
IEC 61786:1998 Measurement of low-frequency magnetic and electric fields with regard to exposure of human beings - Special requirements for instruments and guidance for measurements (Измерение низкочастотных магнитных и электрических полей в части воздействия на человека. Специальные требования к приборам и руководство по измерениям) |


