ГОСТ Р 71242-2024 ТЕЛЕВИДЕНИЕ ВЕЩАТЕЛЬНОЕ ЦИФРОВОЕ. СИСТЕМА ЦИФРОВОГО ТЕЛЕВИЗИОННОГО ВЕЩАНИЯ ДЛЯ ПОРТАТИВНЫХ УСТРОЙСТВ ПОСЛЕДУЮЩЕГО ПОКОЛЕНИЯ (DVB-NGH), СПЕЦИФИКАЦИЯ ФИЗИЧЕСКОГО УРОВНЯ. ГИБРИДНЫЙ ПРОФИЛЬ MIMO
Утв. и введен в действие Приказом Федерального агентства по техническому регулированию и метрологии от 23 августа 2024 г. N 1108-ст
Национальный стандарт РФ ГОСТ Р 71242-2024
"ТЕЛЕВИДЕНИЕ ВЕЩАТЕЛЬНОЕ ЦИФРОВОЕ. СИСТЕМА ЦИФРОВОГО ТЕЛЕВИЗИОННОГО ВЕЩАНИЯ ДЛЯ ПОРТАТИВНЫХ УСТРОЙСТВ ПОСЛЕДУЮЩЕГО ПОКОЛЕНИЯ (DVB-NGH), СПЕЦИФИКАЦИЯ ФИЗИЧЕСКОГО УРОВНЯ. ГИБРИДНЫЙ ПРОФИЛЬ MIMO"
Digital video broadcasting. Digital television broadcasting system for next generation handheld (DVB-NGH), physical layer specification. Hybrid MIMO profile
ОКС 33.170
Дата введения - 1 марта 2025 года
Введен впервые
Предисловие
1 РАЗРАБОТАН Автономной некоммерческой организацией "Научно-технический центр информатики" (АНО "НТЦИ")
2 ВНЕСЕН Техническим комитетом по стандартизации ТК 480 "Связь"
3 УТВЕРЖДЕН И ВВЕДЕН В ДЕЙСТВИЕ Приказом Федерального агентства по техническому регулированию и метрологии от 23 августа 2024 г. N 1108-ст
4 ВВЕДЕН ВПЕРВЫЕ
Правила применения настоящего стандарта установлены в статье 26 Федерального закона от 29 июня 2015 г. N 162-ФЗ "О стандартизации в Российской Федерации". Информация об изменениях к настоящему стандарту публикуется в ежегодном (по состоянию на 1 января текущего года) информационном указателе "Национальные стандарты", а официальный текст изменений и поправок - в ежемесячном информационном указателе "Национальные стандарты". В случае пересмотра (замены) или отмены настоящего стандарта соответствующее уведомление будет опубликовано в ближайшем выпуске ежемесячного информационного указателя "Национальные стандарты". Соответствующая информация, уведомление и тексты размещаются также в информационной системе общего пользования - на официальном сайте Федерального агентства по техническому регулированию и метрологии в сети Интернет (www.rst.gov.ru)
1 Область применения
Настоящий стандарт распространяется на систему цифрового телевизионного вещания (DVB) для портативных устройств (терминалов) последующего поколения (NGH) (далее - DVB-NGH) и устанавливает набор требований, описывающих всю часть физического уровня от входных потоков до передаваемого в эфир сигнала, когда передача данных и прием данных осуществляются совместно по наземному и спутниковому каналам с использованием технологии MIMO (далее - гибридный профиль MIMO).
Система DVB-NGH предназначена для доставки транспортных потоков или потоков данных общего назначения на линейные и нелинейные приложения, такие как телевидение, радио, сервисы данных.
Терминалы DVB-NGH также могут обрабатывать сигналы DVB-T2-lite.
Настоящий стандарт следует применять при разработке, изготовлении и эксплуатации DVB-NGH, а также при разработке, проектировании и эксплуатации программного обеспечения сетей DVB-NGH.
2 Нормативные ссылки
В настоящем стандарте использована нормативная ссылка на следующий стандарт:
ГОСТ Р 52210 Телевидение вещательное цифровое. Термины и определения
Примечание - При пользовании настоящим стандартом целесообразно проверить действие ссылочных стандартов в информационной системе общего пользования - на официальном сайте Федерального агентства по техническому регулированию и метрологии в сети Интернет или по ежегодному информационному указателю "Национальные стандарты", который опубликован по состоянию на 1 января текущего года, и по выпускам ежемесячного информационного указателя "Национальные стандарты" за текущий год. Если заменен ссылочный стандарт, на который дана недатированная ссылка, то рекомендуется использовать действующую версию этого стандарта с учетом всех внесенных в данную версию изменений. Если заменен ссылочный стандарт, на который дана датированная ссылка, то рекомендуется использовать версию этого стандарта с указанным выше годом утверждения (принятия). Если после утверждения настоящего стандарта в ссылочный стандарт, на который дана датированная ссылка, внесено изменение, затрагивающее положение, на которое дана ссылка, то это положение рекомендуется применять без учета данного изменения. Если ссылочный стандарт отменен без замены, то положение, в котором дана ссылка на него, рекомендуется применять в части, не затрагивающей эту ссылку.
3 Термины, определения, сокращения и обозначения
3.1 Термины и определения
В настоящем стандарте применены термины по ГОСТ Р 52210, а также следующие термины с соответствующими определениями:
3.1.1
|
базовый профиль (basic profile): Набор требований к системе DVB-NGH, описывающих всю часть физического уровня от входных потоков до передаваемого в эфир сигнала, за исключением требований, специфичных для профиля MIMO, гибридного профиля и гибридного профиля MIMO. [ГОСТ Р 71241-2024, пункт 3.1.1] |
3.1.2
|
гибридный профиль (hybrid profile): Набор требований к системе DVB-NGH, описывающих всю часть физического уровня от входных потоков до передаваемого в эфир сигнала, когда передача и прием данных осуществляются совместно по наземному и спутниковому каналам. Примечание - Допускается применение технологии MISO при модуляции OFDM. [ГОСТ Р 71241-2024, пункт 3.1.2] |
3.1.3
|
гибридный профиль MIMO (hybrid profile MIMO): Набор требований к системе DVB-NGH, описывающих всю часть физического уровня от входных потоков до передаваемого в эфир сигнала, когда передача и прием данных осуществляются совместно по наземному и спутниковому каналам с использованием метода MIMO. [ГОСТ Р 71241-2024, пункт 3.1.3] |
3.1.4
|
канал физического уровня; PLP (physical layer pipe; PLP): Канал с установленными неизменными параметрами передачи (включая вид модуляции, кодовую скорость, глубину перемежения во времени), передаваемый в заданных подсегментах с использованием мультиплексирования с временным разделением. Примечание - PLP может переносить одну или несколько служб. [ГОСТ Р 71241-2024, пункт 3.1.4] |
3.1.5
|
профиль MIMO (profile MIMO): Набор требований к системе DVB-NGH, описывающих всю часть физического уровня от входных потоков до передаваемого в эфир сигнала, когда передача данных и прием данных осуществляются системами из нескольких наземных антенн. [ГОСТ Р 71241-2024, пункт 3.1.5] |
3.1.6
|
сигнализация L1-PRE (signaling L1-PRE): Сигнализация, передаваемая символами P2, имеющими фиксированный размер, кодирование и модуляцию, включающая основную информацию о системе NGH и информацию, необходимую для декодирования сигнализации L1-POST. [ГОСТ Р 71241-2024, пункт 3.1.6] |
3.1.7
|
сигнализация L1-POST (signaling L1-POST): Сигнализация, передаваемая в начале логического кадра и предоставляющая подробную информацию уровня L1 о системе NGH и PLP, состоящая из конфигурируемой и динамической частей. [ГОСТ Р 71241-2024, пункт 3.1.7] |
3.1.8
|
символ aP1 (symbol additional P1; aP1): Дополнительный символ P1, несущий сигнальные поля S3 и S4 и расположенный сразу после символа P1. [ГОСТ Р 71241-2024, пункт 3.1.8] |
3.1.9
|
символ P1 (symbol P1): Символ пилот-сигнала постоянной длины, переносящий информацию сигнализации в полях S1 и S2 и находящийся в начале каждого NGH-кадра, передаваемого по радиочастотному каналу. Примечание - Основное назначение символа P1 - это быстрое первоначальное сканирование полосы радиоканала для обнаружения сигнала NGH, установления временной синхронизации, определения смещения частоты и размера быстрого преобразования Фурье. [ГОСТ Р 71241-2024, пункт 3.1.9] |
3.1.10
|
символ P2 (symbol P2): Символ пилот-сигнала, расположенный сразу после символа P1 или aP1 (если он присутствует), с тем же размером быстрого преобразования Фурье и защитным интервалом, как у символов данных. Примечание - Число символов P2 зависит от размера быстрого преобразования Фурье. Символы P2 используют для точной временной и частотной синхронизации, а также для первоначальной оценки канала. Символы P2 несут информацию сигнализации L1 и L2, а также могут переносить данные. [ГОСТ Р 71241-2024, пункт 3.1.10] |
3.1.11
|
суб-блок (sub-slice): Группа ячеек из одного PLP, которые перед частотным перемежением размещаются на OFDM-ячейках данных с последовательными адресами на одном радиоканале. [ГОСТ Р 71241-2024, пункт 3.1.11] |
3.2 Сокращения и обозначения
В настоящем стандарте применены следующие сокращения и обозначения:
БПФ - быстрое преобразование Фурье;
ВП - вертикальная поляризация;
ГП - горизонтальная поляризация;
ЛКП - левая круговая поляризация;
МЧС - многочастотная сеть;
ОЧС - одночастотная сеть;
ПКП - правая круговая поляризация;
ПМ - пространственное мультиплексирование;
рОЧС - расширенная одночастотная сеть;
рПМ - расширенное пространственное мультиплексирование;
СПФ - скачкообразная перестройка фазы;
BICM - кодирование с перемежением битов и модуляция (bit interleaved coding and modulation);
DVB - цифровое телевизионное вещание (digital video broadcasting);
ESC - общий код выхода (general escape code);
FEC - прямое упреждающее исправление ошибок (forward error correction);
GSE - инкапсулированный поток общего назначения (общий инкапсулированный поток) (generic stream encapsulation);
IU - блок перемежения (interleaving unit);
I/Q - синфазный и квадратурный компоненты сигнала (imaginary/quadrature);
L1 - первый (физический) уровень (layer 1);
MIMO - "множественный вход, множественный выход" - метод пространственно-временного кодирования с множеством антенн на передачу и множеством антенн на прием (multiple input, multiple output);
MISO - "множественный вход, одиночный выход" - метод пространственно-временного кодирования с множеством антенн на передачу и одной антенной на прием (multiple input, single output);
MIXO - MISO или MIMO;
MU-блок - блок памяти (memory unit);
NGH - портативное устройство последующего поколения (next generation handheld);
NUM_ADD_IUS_PER_LATE_FRAME - число дополнительных IU на логический кадр в поздней части кадра временного перемежения;
OFDM - многочастотная схема модуляции с ортогональным частотным распределением несущих в полосе канала вещания (orthogonal frequency-division multiplexing);
PLP - канал физического уровня (physical layer pipe);
PP1...PP9 - шаблоны пилот-сигналов;
RBM - модель буфера приемника (receiver buffer model);
SC-OFDM - одночастотное мультиплексирование с ортогональным частотным разделением каналов (single carrier orthogonal frequency-division multiplexing);
SISO - "одиночный вход, одиночный выход" - система с одной передающей и одной приемной антенной (single input, single output);
TS - транспортный поток (transport stream);
QAM - квадратурная амплитудная модуляция (quadrature amplitude modulation);
QPSK - квадратурная относительная фазовая модуляция (quadrature phase shift keying);
VMIMO - виртуальное MIMO (virtual MIMO);
f2i, f2i+1 - пара ячеек, передаваемая парой передатчиков Tx1 и Tx2 соответственно в одном символе OFDM или SC-OFDM, где i - индекс пары;
Nbpcu - число используемых битов на канал (number of bits per channel use);
Ncells - число ячеек данных в блоке FEC (number of data cells per FEC block);
Nldpc - число битов в LDPC-кодированном блоке (number of bits of LDPC-coded block);
NMUs - число MU-блоков (number of memory units);
NMUs,PLP - число MU-блоков для отдельного PLP (number of memory units for one PLP);
NMUs,PLP,1 frame - число MU-блоков для отдельного PLP в пределах одного NGH-кадра (number of memory units for one PLP, 1 frame);
PI - длина временного перемежителя;
Plate - длина поздней части перемежения по времени, выраженная в количестве числе логических кадров на длину полного временного перемежителя PI (допустимый диапазон значений от 0 до 7);
TxN - идентификатор передатчика номер N, работающего по методу MIXO.
4 Определение и архитектура системы DVB-NGH гибридного профиля MIMO
4.1 Общие положения
Гибридный профиль MIMO представляет собой дополнительный профиль, обеспечивающий упрощенное использование MIMO на наземных и/или спутниковых компонентах в гибридном сценарии передачи.
В гибридном профиле MIMO метод снижения пик-фактора путем активного расширения сигнального созвездия не допускается применять к кадрам с форматом преамбулы "NGH-MIMO".
В гибридном профиле MIMO доступны два режима, описанные в следующих пунктах.
4.2 ОЧС гибридного профиля MIMO
ОЧС гибридного профиля MIMO представляет собой вариант, когда спутниковая и наземная части передачи используют одну и ту же несущую частоту и излучают синхронизированные сигналы, предназначенные для создания эффективной ОЧС. В ОЧС SISO, охватываемой гибридным профилем, сигналы номинально идентичны (за исключением возможного применения рОЧС). В ОЧС гибридного профиля MIMO предварительное кодирование MIMO может осуществляться в сочетании с предварительной обработкой рОЧС. Режимом ОЧС гибридного профиля MIMO определены случаи, когда предварительное кодирование MIXO применяется внутри или между спутниковым и наземным компонентами передачи. При смешанной передаче SISO/MIXO предварительное кодирование MIXO применяется только при передаче кадров MIXO; при передаче гибридных кадров SISO может применяться рОЧС.
4.3 МЧС гибридного профиля MIMO
МЧС гибридного профиля MIMO представляет собой вариант, когда спутниковая и наземная части передачи используют разные несущие частоты и не обязательно совместно используют какую-либо общую синхронизацию кадров или символов на физическом уровне; при этом они могут иметь общий контент данных полезной нагрузки. По крайней мере один из компонентов передачи, наземный или спутниковый, должен быть сконфигурирован для использования нескольких антенн. В противном случае форма передачи относится к гибридному профилю, а не гибридному профилю MIMO, требования к которому установлены в настоящем стандарте.
На рисунке 1 представлена структурная схема физического уровня гибридного профиля MIMO NGH. Блоки, имеющие функциональные отличия от базового профиля, показаны серым цветом. Данная структурная схема является общей для ОЧС и МЧС гибридного профиля MIMO. Один из каналов, наземный или спутниковый, использует две передающие антенны.

Рисунок 1 - Структурная схема физического уровня гибридного профиля MIMO NGH
4.4 Перемежение во времени
Для схем гибридного профиля MIMO с удвоенной скоростью передачи обе ветви MIMO, т.е. сигналы, формируемые для двух передающих антенн, должны использовать одну и ту же конфигурацию временного перемежителя. Требуемые объемы памяти обратного временного перемежителя NMUs,PLP и NMUs,PLP,1 frame на ветвь MIMO рассчитывают так же, как для схемы SISO гибридного профиля, когда один MU-блок соответствует одной ячейке. Общий требуемый объем памяти обратного перемежения для обеих ветвей MIMO должен быть в два раза больше этого объема. Ограничение памяти для гибридного профиля MIMO составляет ∑2NMus,PLP ≤ 221 и ∑2NMus,PLP,1frame ≤ 218, где сумму получают по всем PLP в текущем кластере PLP, а коэффициент 2 введен потому, что размер для обеих ветвей MIMO вдвое больше, чем размер одной ветви MIMO.
Если передаются два сигнала, которые должны быть гибридно объединены в приемнике, то сумма требуемых размеров памяти обратных временных перемежителей (в единицах MU-блоков) для обоих сигналов не должна превышать вышеуказанных пределов.
RBM, используемая для гибридного профиля MIMO, должна соответствовать RBM гибридного профиля.
5 Одночастотная сеть гибридного профиля MIMO
5.1 Совместимость системы приема/передачи
Чтобы использовать ОЧС гибридного профиля MIMO, передающее оборудование должно включать наземные и спутниковые передатчики с соответствующими антеннами для передачи сигнала OFDM в наземный и спутниковый каналы. Применяют варианты с одной или двумя (кроссполяризационными с линейной поляризацией) наземными антеннами в комбинации с одной или двумя (кроссполяризационными с круговой поляризацией) спутниковыми антеннами. При передаче MIMO с удвоенной скоростью (например, при рПМ) со спутника или наземного оборудования приемник должен быть оборудован двумя антеннами с двойной поляризацией (линейной или круговой). Для передачи со стандартной скоростью (например, при кодировании Аламоути или рОЧС) достаточно использовать одну приемную антенну. Для этих целей также допускается применять кроссполяризационную приемную антенну.
Для всех ОЧС спутниковая передача выглядит "прозрачной" для приемника, который воспринимает эквивалентную передачу наземного сигнала по расширенному каналу, частично обеспечиваемому спутниковой передачей. Шаблоны пилот-сигналов для SISO/MIXO применимы как при наземной, так и при спутниковой передачах (см. приложение А).
SC-OFDM не применяют для ОЧС гибридного профиля MIMO.
5.2 Рабочие режимы ОЧС
Комбинации рабочих режимов ОЧС для стандартной и удвоенной скоростей передачи приведены в таблицах 1 и 2 соответственно.
Примечания
1 Если модуляция представлена как А + Б, то "А" относится к наземной части, "Б" - к спутниковой части.
2 Режим рОЧС может опционально применяться к любому компоненту передачи, в котором он еще не присутствует.
3 Идентификатор передатчика Tx, указанный в таблице 1, должен применяться в соответствии с базовым профилем.
Таблица 1 - Схемы со стандартной скоростью передачи ОЧС гибридного профиля MIMO
|
Наземная передача |
Спутниковая передача |
Схема(ы) MIXO |
|
Одиночная поляризация (ВП или ГП) |
Одиночная поляризация (ПКП или ЛКП) |
рОЧС: наземный и спутниковый компоненты с двумя различными идентификаторами Tx (в кадрах SISO) |
|
Код Аламоути (в кадрах MIXO) | ||
|
Двойная поляризация (ВП или ГП) |
Одиночная поляризация (ПКП или ЛКП) |
рОЧС: два наземных компонента и один спутниковый с тремя различными идентификаторами Tx (в кадрах SISO) |
|
Код Аламоути + QAM (в кадрах MIXO) | ||
|
Одиночная поляризация (ВП или ГП) |
Двойная поляризация (ПКП или ЛКП) |
рОЧС: один наземный и два спутниковых компонента с тремя различными идентификаторами Tx (в кадрах SISO) |
|
Код Аламоути + QAM (в кадрах MIXO) | ||
|
Двойная поляризация (ВП или ГП) |
Двойная поляризация (ПКП или ЛКП) |
рОЧС: два наземных и два спутниковых компонента с четырьмя различными идентификаторами Tx (в кадрах SISO) |
|
Двойная поляризация (ВП или ГП) |
Двойная поляризация (ПКП или ЛКП) |
Код Аламоути + Код Аламоути (в кадрах MIXO) |
Таблица 2 - Схемы с удвоенной скоростью передачи ОЧС гибридного профиля MIMO
|
Наземная передача |
Спутниковая передача |
Схема(-ы) MIXO |
|
Двойная поляризация (ВП или ГП) |
Двойная поляризация (ПКП или ЛКП) |
рПМ + СПФ наземного компонента + рПМ + СПФ + рОЧС спутникового компонента (в кадрах MIMO) |
5.3 Варианты соотношения мощностей
При дисбалансе мощностей наземных компонентов спутниковые компоненты поддерживает фиксированный дисбаланс 0 дБ, но принимают те же значения параметров θ и α, что и у наземной передачи для выбранного дисбаланса. В таблице 3 приведен набор параметров рПМ спутникового компонента в ОЧС.
Таблица 3 - Параметры рПМ спутникового компонента в ОЧС
|
Соотношение мощностей между двумя наземными передающими антеннами |
0 дБ |
3 дБ |
6 дБ | ||||||||
|
Nbpcu |
Модуляция |
β |
θ |
α |
β |
θ |
α |
β |
θ |
α | |
|
6 |
f2i(Tx1) |
QPSK |
0,50 |
45° |
0,44 |
0,50 |
0° |
0,50 |
0,50 |
0° |
0,50 |
|
f2i+1(Tx2) |
16-QAM | ||||||||||
|
8 |
f2i(Tx1) |
16-QAM |
0,50 |
|
0,50 |
0,50 |
25° |
0,50 |
0,50 |
0° |
0,50 |
|
f2i+1(Tx2) |
16-QAM | ||||||||||
|
10 |
f2i(Tx1) |
16-QAM |
0,50 |
22° |
0,50 |
0,50 |
15° |
0,50 |
0,50 |
0° |
0,50 |
|
f2i+1(Tx2) |
64-QAM | ||||||||||
6 Многочастотная сеть гибридного профиля MIMO
6.1 Совместимость системы приема/передачи
Чтобы использовать МЧС гибридного профиля MIMO, передающее оборудование должно включать наземные и спутниковые передатчики с соответствующими антеннами, передающими наземный сигнал OFDM и спутниковый сигнал OFDM или SC-OFDM. Применяют варианты с одной или двумя (кроссполяризационными с линейной поляризацией) наземными антеннами в комбинации с одной или двумя (кроссполяризационными с круговой поляризацией) спутниковыми антеннами. При передаче MIMO с удвоенной скоростью (например, при рПМ) со спутника и/или наземного оборудования приемник должен быть оборудован двумя антеннами с двойной поляризацией (линейной или круговой) с соответствующей(ими) полосой(ами) частот. Для передачи со стандартной скоростью (например, при кодировании Аламоути или рОЧС) достаточно использовать одну приемную антенну для соответствующей спутниковой или наземной полосы частот. Для этих целей также допускается применять кроссполяризационную приемную антенну.
6.2 Рабочие режимы МЧС
Любой наземный режим SISO или MIMO (из базового профиля или профиля MIMO соответственно) допускается использовать в сочетании с любым спутниковым режимом SISO (из гибридного профиля) или режимами MIMO, определенными в таблицах 1 и 2, с учетом того, что режимы MIMO с удвоенной скоростью передачи могут использовать пару модуляций QPSK (2·QPSK), при этом не допускается любое использование модуляции 64-QAM.
Результирующие параметры рПМ для спутникового компонента с модуляцией OFDM приведены в таблице 4.
Таблица 4 - Параметры рПМ спутникового компонента с модуляцией OFDM в МЧС
|
Nbpcu |
Модуляция |
β |
θ |
α | |
|
4 |
f2i(Tx1) |
QPSK |
0,50 |
arctg(√2 + 1) |
0,50 |
|
f2i+1(Tx2) |
QPSK | ||||
|
6 |
f2i(Tx1) |
QPSK |
0,50 |
45° |
0,44 |
|
f2i+1(Tx2) |
16-QAM | ||||
|
8 |
f2i(Tx1) |
16-QAM |
0,50 |
|
0,50 |
|
f2i+1(Tx2) |
16-QAM | ||||
Примечания
1 При применении для спутникового компонента модуляции SC-OFDM с удвоенной скоростью передачи вместо рПМ используют простое ПМ согласно профилю MIMO.
2 Все параметры приведены для дисбаланса мощностей 0 дБ между передающими спутниковыми антеннами.
Для того, чтобы профиль был квалифицирован как гибридный MIMO, по крайней мере один компонент должен передаваться в режиме MIXO, иначе профиль является гибридным.
6.3 Кодирование пространственного мультиплексирования спутникового сигнала MIMO с модуляцией SC-OFDM при удвоенной скорости передачи
Кодирование пространственного мультиплексирования спутникового сигнала с модуляцией SC-OFDM аналогично наземной схеме MIMO с удвоенной скоростью передачи за исключением того, что ни прекодирование MIMO (рПМ), ни СПФ не применяют.
Для наземного сигнала обработку MIMO не применяют к символам преамбулы P1, aP1 и P2.
Обработка MIMO должна применяться на уровне PLP, которая состоит в передаче пар ячеек (f2i, f2i+1) в одном и том же символе SC-OFDM, на одной несущей с двух передатчиков Tx1 и Tx2 соответственно и представлена выражением
, i = 0, 1, ..., Ncells/2 - 1, (1)
где i - индекс пары ячеек в блоке FEC;
Ncells - число ячеек в блоке FEC;
(g2i, g2i+1) - пары закодированных ячеек.
Шаблоны пилот-сигнала для двух передающих антенн получают из одного из сигналов SC-OFDM SISO:
- Tx1 передает тот же шаблон пилот-сигнала, что и сигнал SC-OFDM SISO гибридного профиля;
- Tx2 передает тот же шаблон пилот-сигнала, что и Tx1, при этом фаза опорной последовательности инвертируется в пилот-сигнале для каждой второй несущей.
Для передатчиков Tx1 и Tx2 допускается применять пары модуляций QPSK (2·QPSK) и пары модуляций 16-QAM (2·16-QAM).
7 Особенности данных сигнализации L1 для гибридного профиля MIMO
7.1 Данные сигнализации P1 и aP1
Гибридный профиль MIMO должен сигнализироваться в преамбуле P1 значениями поля S1 = 111 (код ESC) и поля 1 поля S2 (первые три бита поля S2) = 011, что указывает на гибридный MIMO сигнал.
За преамбулой P1 должен следовать дополнительный символ P1 (aP1). Символ aP1 должен содержать 7 бит для сигнализации согласно таблице 5.
Таблица 5 - Формат символа aP1 в гибридном профиле MIMO
|
Поле |
Длина поля, бит |
Назначение |
|
S3 |
3 |
Модуляция |
|
S4, поле 1 |
4 |
Размерность БПФ/защитный интервал |
|
S4, поле 2 |
1 |
Зарезервировано |
Поле S3 (3 бита) указывает вид модуляции согласно таблице 6.
Таблица 6 - Значение поля S3
|
Значение поля S3 |
Модуляция |
Описание |
|
000 |
OFDM |
Символ P2 и символы данных в кадре NGH используют модуляцию OFDM |
|
001 |
SC-OFDM |
Символ P2 и символы данных в кадре NGH используют модуляцию SC-OFDM |
|
010 - 111 |
Зарезервировано |
Зарезервировано |
Комбинации S1 = 111, S2 = 011x и S3 = 001 не применяют.
Поле 1 поля S4 (3 бита) указывает размерность БПФ и значение защитного интервала. Для остальных символов в кадре NGH размерность - по таблицам 7 и 8 для модуляций OFDM и SC-OFDM соответственно.
Таблица 7 - Значение поля 1 поля S4 (модуляция OFDM, S3 = 000)
|
S4, поле 1 |
Размерность БПФ/защитный интервал |
Описание |
|
000 |
Размерность БПФ: 1к, защитный интервал 1/32 |
Указывает размерность БПФ и значение защитного интервала символов OFDM в кадре NGH |
|
001 |
Размерность БПФ: 1к, защитный интервал 1/16 | |
|
010 |
Размерность БПФ: 2к, защитный интервал 1/32 | |
|
011 |
Размерность БПФ: 2к, защитный интервал 1/16 | |
|
1XX |
Зарезервировано |
Таблица 8 - Значение поля 1 поля S4 (модуляция SC-OFDM, S3 = 001)
|
S4, поле 1 |
Размерность БПФ/защитный интервал |
Описание |
|
000 |
Размерность БПФ: 0,5к, защитный интервал 1/32 |
Указывает размерность БПФ и значение защитного интервала символов SC-OFDM в кадре NGH |
|
001 |
Размерность БПФ: 0,5к, защитный интервал 1/16 | |
|
010 |
Размерность БПФ: 1к, защитный интервал 1/32 | |
|
011 |
Размерность БПФ: 1к, защитный интервал 1/16 | |
|
100 |
Размерность БПФ: 2к, защитный интервал 1/32 | |
|
101 |
Размерность БПФ: 2к, защитный интервал 1/16 | |
|
110 - 111 |
Зарезервировано |
Последний 1 бит поля S4 (называют полем 2 поля S4) зарезервирован для будущих применений.
Модуляция и состав символа aP1 гибридного профиля должны соответствовать модуляции и составу символа aP1 базового профиля.
7.2 Данные сигнализации L1-PRE
В таблице 9 приведена сигнализация L1-PRE, специфичная для гибридного профиля MIMO.
Таблица 9 - Сигнализация L1-PRE, специфичная для гибридного профиля MIMO
|
Поле |
Длина |
|
HYBRID_MIMO_PH_FLAG |
1 бит |
|
... |
4 бита |
|
L1_POST_MIMO |
3 бита |
|
L1_POST_NUM_BITS_PER_CHANNEL_USE | |
|
... |
Поле HYBRID_MIMO_PH_FLAG (1 бит) указывает, что используется опция СПФ. Если поле равно 0, то СПФ не применяется. Если поле равно 1, то СПФ применяется. При использовании VMIMO (см. приложение Б) это поле устанавливается в "0", поскольку СПФ несовместима с VMIMO.
Поле L1-POST_MIMO (4 бита) указывает схему MIMO блока данных сигнализации L1-POST. Схема MIMO должна сигнализироваться согласно таблице 10.
Таблица 10 - Формат сигнализации схемы MIMO блока данных сигнализации L1-POST
|
Значение |
Сигнальное созвездие |
|
0000 |
Аламоути |
|
0001 |
рПМ/СПФ |
|
0010 |
ПМ |
|
0011 - 1111 |
Зарезервировано |
Поле L1_POST_NUM_BITS_PER_CHANNEL_USE (3 бита) устанавливает число битов на канал для схемы MIMO, используемой сигнализацией L1-POST. Значение этого поля определено в таблице 13.
7.3 Данные сигнализации L1-POST
7.3.1 Конфигурируемые данные сигнализации L1-POST
В таблице 11 приведена семантика конфигурируемых полей сигнализации L1-POST, характерных для гибридного профиля MIMO.
Таблица 11 - Семантика конфигурируемых полей сигнализации L1-POST, характерных для гибридного профиля MIMO
|
Поле |
Длина |
|
IF S1 = "111" and S2 = "000x" or "011x" { | |
|
PLP_MIMO_TYPE |
4 бита |
|
IF PLP_MIMO_TYPE = "0001" or "0010" { | |
|
PLP_NUM_BITS_PER_CHANNEL_USE |
3 бита |
|
} | |
|
ELSE { | |
|
PLP_MOD |
3 бита |
|
} | |
|
} | |
|
ELSE { | |
|
PLP_MOD |
3 бита |
|
} | |
|
... | |
|
IF S1 = "111" and S2 = "001x" or "0x0x" { | |
|
TIME_IL_LATE_LENGTH |
3 бита |
|
NUM_ADD_IUS_PER_LATE_FRAME |
4 бита |
|
} | |
|
... |
Поле PLP_MIMO_TYPE (4 бита) указывает схему MIMO, используемую текущим PLP. Схема MIMO должна сигнализироваться согласно таблице 12.
Таблица 12 - Формат сигнализации схемы MIMO в поле PLP_MIMO_TYPE
|
Значение |
Схема MIMO текущего PLP |
|
0000 |
Аламоути |
|
0001 |
рПМ/СПФ |
|
0010 |
ПМ |
|
0011 - 1111 |
Зарезервировано |
Следующее поле присутствует, только если PLP_MIMO_TYPE = 0001 или 0010 (рПМ/СПФ или ПМ).
Поле PLP_NUM_BITS_PER_CHANNEL_USE (3 бита) указывает число битов на канал Nbpcu для схемы MIMO, используемой текущим PLP. Значение этого поля определяется в соответствии с таблицей 13.
Таблица 13 - Формат сигнализации поля PLP_NUM_BITS_PER_CHANNEL_USE
|
Значение |
Nbpcu |
Модуляция | |
|
000 |
4 |
f2i(Tx1) |
QPSK |
|
f2i+1(Tx2) |
QPSK | ||
|
001 |
6 |
f2i(Tx1) |
QPSK |
|
f2i+1(Tx2) |
16-QAM | ||
|
010 |
8 |
f2i(Tx1) |
16-QAM |
|
f2i+1(Tx2) |
16-QAM | ||
|
011 - 111 |
Зарезервировано |
Зарезервировано | |
Следующее поле присутствует, только если PLP_MIMO_TYPE не равно 0001 и не равно 0010 (т.е. равно 0000, схема Аламоути).
Поле PLP_MOD (3 бита) указывает модуляцию, используемую текущим PLP. Модуляция должна сигнализироваться согласно таблице 14.
Таблица 14 - Модуляция, используемая текущим PLP
|
Значение поля PLP_MOD |
Модуляция |
|
000 |
QPSK |
|
001 |
16-QAM |
|
010 - 111 |
Зарезервировано |
Поле TIME_IL_LATE_LENGTH (3 бита) представляет длину Plate поздней части, выраженную в логических кадрах. Поздняя часть - это последняя часть полной длины временного перемежителя, которая сигнализируется в TIME_IL_LENGTH.
Поле NUM_ADD_IUS_PER_LATE_FRAME (4 бита) указывает число NADD_IU_PER_LATE блоков перемежения IU в поздней части, в дополнение к одному IU, присутствующему в каждом логическом кадре.
7.3.2 Динамические данные сигнализации L1-POST
В гибридном профиле MIMO динамическая сигнализация L1-POST должна соответствовать сигнализации базового профиля.
7.3.3 Внутриполосная сигнализация типа A
В гибридном профиле MIMO внутриполосная сигнализация типа A должна соответствовать сигнализации базового профиля.
Приложение А
(справочное)
Шаблон рассредоточенного пилот-сигнала для модуляции SC-OFDM
В настоящем приложении на рисунке А.1 показан шаблон рассредоточенного пилот-сигнала PP9 для модуляции SC-OFDM, который используется для спутникового тракта гибридного профиля MIMO. Пилот-сигналы в режимах SISO и MIMO передаются на одних и тех же позициях.
При использовании гибридного профиля MIMO с первой антенны Tx1 передается пилот-сигнал того же шаблона, как при использовании гибридного профиля SISO. Со второй антенны Tx2 пилот-сигнал передается на тех же позициях, что и Tx1, но с другими фазами, как описано в пункте 6.3.
Непрерывные пилот-сигналы в данном профиле отсутствуют.

- рассредоточенный пилот-сигнал;
- ячейка данных
Рисунок А.1 - Шаблон рассредоточенного пилот-сигнала PP9 для модуляции SC-OFDM (гибридный профиль MIMO)
Приложение Б
(справочное)
Удвоенная скорость передачи при одной передающей антенне
Б.1 Общие положения
Варианты передачи MIMO включены в дополнительный профиль MIMO, чтобы использовать преимущества разнесенной передачи и пропускной способности, полученные благодаря применению нескольких передающих элементов в передатчике и приемнике. В ОЧС некоторые наземные передатчики могут быть оснащены только одной передающей антенной, в то время как другие наземные передатчики и спутниковый передатчик оснащены двумя передающими антеннами. В такой ситуации передатчики с одной антенной просто передают сигнал, передаваемый одной из антенн передатчиков с двумя антеннами. С целью обеспечения оптимизации производительности рекомендуется настроить схему виртуального MIMO (VMIMO), то есть эмулировать на стороне передатчика оптимизированный канал 2 x 1. Это позволяет передавать единый сигнал, который представляет собой два нормальных сигнала с удвоенной скоростью передачи. При этом оптимизируется производительность. Дополнительным преимуществом является то, что никаких изменений в конструкции приемника не требуется.
Б.2 Структурная схема
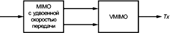
Структурная схема VMIMO приведена на рисунке Б.1

Рисунок Б.1 - Структурная схема VMIMO
Б.3 Обработка VMIMO
Схема VMIMO состоит из обработки оптимизированного виртуального канала 2 x 1 MISO перед передачей. Этот виртуальный канал может обрабатываться для всех входных потоков. Также его ограничивают до MISO и MIMO частей мультиплекса и не применяют обработку к символам синхронизации P1, aP1 и P2.
Канал 2 x 1 VMIMO характеризуется двумя коэффициентами: a1 и a2. Процесс обработки VMIMO приведен в таблице Б.1, где pn - пилот-сигнал, излучаемый антенной n; dn - данные, излучаемые антенной n, Sig - сигналы синхронизации, заголовки, сигнализация на нормальной скорости передачи.
Таблица Б.1 - Процесс обработки VMIMO
|
Антенна передатчика с двумя антеннами 1 |
Антенна передатчика с двумя антеннами 2 |
Сигнал передатчика с одной антенной (VMIMO) | |
|
Пилот-сигнал |
p1 |
p2 |
a1p1 + a2p2 |
|
Данные |
d1 |
d2 |
a1d1 + a2d2 |
|
Сигналы синхронизации, заголовки, сигнализация на нормальной скорости передачи |
Sig |
Sig |
Sig |
Б.4 Установка параметров
Допускается не определять для приемников параметры a1 и a2. Процессор оценки канала будет оценивать общий канал, состоящий из комбинации канала VMIMO и реального многолучевого канала. Поэтому параметры a1 и a2 не нормируют. В таблице Б.2 приведены оптимизированные значения для различных сигнальных созвездий и в зависимости от применения рПМ при дисбалансе мощностей 0 дБ (т.е. для α = β = 0,5).
Таблица Б.2 - Параметры VMIMO при дисбалансе мощностей 0 дБ
|
Модуляция |
Параметры VMIMO | ||||
|
без рПМ |
с рПМ | ||||
|
a1 |
a2 |
θ |
a1 |
a2 | |
|
2 x QPSK |
|
|
arctg(√2 + 1) = 67,5° |
0,99748 |
0,0708 |
|
2 x 16-QAM |
|
|
|
0,95 |
-0,312 |
Б.5 СПФ
СПФ несовместима с VMIMO, поэтому ее не применяют.
Б.6 Дополнительные сведения
Для обеспечения наилучшей производительности при работе с одной передающей антенной декодер MIMO должен быть оптимальным (максимального правдоподобия) или квазиоптимальным, независимо от коэффициентов a1 и a2.
Выбор a1 = 1 и a2 = 0 соответствует случаю, когда передатчик, оснащенный одной антенной, передает один из сигналов схемы MIMO с удвоенной скоростью передачи.




