ГОСТ Р 54239-2018 (ИСО 23380:2013) ТОПЛИВО ТВЕРДОЕ МИНЕРАЛЬНОЕ. ВЫБОР МЕТОДОВ ОПРЕДЕЛЕНИЯ МИКРОЭЛЕМЕНТОВ
Solid mineral fuel. Selection of methods for the determination of trace elements
ОКС 75.160.10
Предисловие
1 Подготовлен Федеральным государственным унитарным предприятием "Всероссийский научно-исследовательский институт стандартизации материалов и технологий" (ФГУП "ВНИИ СМТ") на основе собственного перевода на русский язык англоязычной версии стандарта, указанного в пункте 4
2 Внесен Техническим комитетом по стандартизации ТК 179 "Твердое минеральное топливо"
3 Утвержден и введен в действие Приказом Федерального агентства по техническому регулированию и метрологии от 14 сентября 2018 г. N 606-ст
4 Настоящий стандарт является модифицированным по отношению к международному стандарту ИСО 23380:2013 "Выбор методов определения микроэлементов в угле" (ISO 23380:2013 "Selection of methods for the determination of trace elements in coal", MOD) путем изменения его структуры для приведения в соответствие с правилами, установленными в ГОСТ 1.5-2001 (подразделы 4.2 и 4.3); путем включения дополнительных положений, фраз, слов, ссылок для учета потребностей национальной экономики и/или особенностей национальной стандартизации, выделенных в тексте курсивом.
При этом потребности национальной экономики и/или особенности национальной стандартизации учтены в дополнительном разделе 4 и дополнительном подразделе 6.1, которые выделены путем их заключения в рамки из тонких линий, а информация с объяснением причин их включения приведена после соответствующих раздела и подраздела в виде примечаний.
Положения, дополняющие содержание примененного международного стандарта для учета потребностей национальных экономик и/или особенностей межгосударственной стандартизации, приведены в дополнительном приложении ДА. Более подробное обоснование необходимости включения этого приложения приведено в скобках после наименования данного приложения.
В настоящем стандарте для удобства пользователей положения раздела 4 примененного международного стандарта оформлены в виде таблицы 1.
Международный стандарт ИСО 23380:2013 разработан Техническим комитетом ISO/TC 27 "Твердые минеральные топлива", подкомитетом SC 5 "Методы анализа".
Наименование настоящего стандарта изменено относительно наименования указанного международного стандарта для приведения в соответствие с ГОСТ Р 1.5-2012 (пункт 3.5).
Сведения о соответствии ссылочных национальных стандартов международным стандартам, использованным в качестве ссылочных в примененном международном стандарте, приведены в дополнительном приложении ДБ.
Сопоставление структуры настоящего стандарта со структурой примененного в нем международного стандарта приведено в дополнительном приложении ДВ
5 Взамен ГОСТ Р 54239-2010 (ИСО 23380:2008)
Введение
Комплексное использование твердых горючих ископаемых, разработка экологически чистых и экономически выгодных процессов утилизации отходов добычи и переработки топлив и решение задач, связанных с охраной окружающей среды, сделали необходимым создание методов количественного определения микроэлементов, содержащихся в твердых топливах.
В настоящее время широкое распространение получили инструментальные методы определения микроэлементов, многие из которых стандартизованы и гармонизированы с требованиями международных стандартов. Данные стандартные методы доступны, основаны на надежных и хорошо воспроизводимых процедурах, с их помощью можно получить точные результаты определения микроэлементов.
Целью настоящего стандарта является оказание помощи в выборе методов, подходящих для определения содержания микроэлементов в твердых горючих ископаемых.
Настоящий стандарт распространяется на каменные и бурые угли, лигниты, антрациты, горючие сланцы, торф, кокс, брикеты, твердые продукты и отходы обогащения и переработки топлив (далее - твердое минеральное топливо) и устанавливает общие представления о выборе методов определения микроэлементов в твердом минеральном топливе. К микроэлементам, важным с точки зрения защиты окружающей среды, относят сурьму, мышьяк, бериллий, бор, кадмий, хлор, хром, кобальт, медь, фтор, свинец, марганец, ртуть, молибден, никель, селен, таллий, ванадий и цинк, а также радиоактивные микроэлементы торий и уран.
В настоящем стандарте не приведено описание процедур определения отдельных микроэлементов.
Примечание - Под микроэлементами понимают элементы, массовая доля которых в сухом твердом минеральном топливе составляет, как правило, не более 0, 1 % (1000 ppm*). Синонимы термина "микроэлементы" - "малые элементы", "следовые элементы".
──────────────────────────────
* Единица измерения ppm - "parts per millions (частей на миллион). 1 ppm = 1 г/т = 1 мг/кг = 1 мкг/г = 10-4 %.
В настоящем стандарте использованы нормативные ссылки на следующие стандарты:
ГОСТ 8.010 Государственная система обеспечения единства измерений. Методики выполнения измерений. Основные положения
ГОСТ 8.315 Государственная система обеспечения единства измерений. Стандартные образцы состава и свойств веществ и материалов. Основные положения
ГОСТ 1770 (ИСО 1042-83, ИСО 4788-80) Посуда мерная лабораторная стеклянная. Цилиндры, мензурки, колбы, пробирки. Общие технические условия
ГОСТ 6563 Изделия технические из благородных металлов и сплавов. Технические условия
ГОСТ 6709 Вода дистиллированная. Технические условия
ГОСТ 9147 Посуда и оборудование лабораторные фарфоровые. Технические условия
ГОСТ 9326 (ИСО 587-97) Топливо твердое минеральное. Методы определения хлора
ГОСТ 10478 (ИСО 601-81, ИСО 2590-73) Топливо твердое. Методы определения мышьяка
ГОСТ 10742 Угли бурые, каменные, антрацит, горючие сланцы и угольные брикеты. Методы отбора и подготовки проб для лабораторных испытаний
ГОСТ 11303 Торф и продукты его переработки. Метод приготовления аналитических проб
ГОСТ 11305 Торф и продукты его переработки. Методы определения влаги
ГОСТ 13867 Продукты химические. Обозначение чистоты
ГОСТ 17070 Угли. Термины и определения
ГОСТ 19908 Тигли, чаши, стаканы, колбы, воронки, пробирки и наконечники из прозрачного кварцевого стекла. Общие технические условия
ГОСТ 23083 Кокс каменноугольный, пековый и термоантрацит. Методы отбора и подготовки проб для испытаний
ГОСТ 25336 Посуда и оборудование лабораторные стеклянные. Типы, основные параметры и размеры
ГОСТ 27313 Топливо твердое минеральное. Обозначение показателей качества и формулы пересчета результатов анализа на различные состояния топлива
ГОСТ 27589 (ИСО 687-74) Кокс. Метод определения влаги в аналитической пробе
ГОСТ 32980 (ISO 15237:2003) Топливо твердое минеральное. Определение содержания общей ртути
ГОСТ 32981 (ISO 15238:2003) Топливо твердое минеральное. Определение содержания общего кадмия
ГОСТ 32982 (ISO 11724:2004) Топливо твердое минеральное. Определение содержания общего фтора
ГОСТ 33501 Топливо твердое минеральное. Определение содержания общего фтора сжиганием в калориметрической бомбе с последующим определением в растворе с помощью ион-селективного электрода
ГОСТ 33502 Топливо твердое минеральное. Определение содержания общего хлора сжиганием в калориметрической бомбе с последующим определением в растворе с помощью ион-селективного электрода
ГОСТ 33503 (ISO 11722:2013, ISO 5068-2:2007) Топливо твердое минеральное. Методы определения влаги в аналитической пробе
ГОСТ 33654 Угли бурые, каменные и антрацит. Общие требования к методам анализа
ГОСТ Р ИСО 5725-1 Точность (правильность и прецизионность) методов и результатов измерений. Часть 1. Основные положения и определения
ГОСТ Р ИСО 5725-2 Точность (правильность и прецизионность) методов и результатов измерений. Часть 2. Основной метод определения повторяемости и воспроизводимости стандартного метода измерений
ГОСТ Р ИСО 5725-3 Точность (правильность и прецизионность) методов и результатов измерений. Часть 3. Промежуточные показатели прецизионности стандартного метода измерений
ГОСТ Р ИСО 5725-4 Точность (правильность и прецизионность) методов и результатов измерений. Часть 4. Основные методы определения правильности стандартного метода измерений
ГОСТ Р ИСО 5725-5 Точность (правильность и прецизионность) методов и результатов измерений. Часть 5. Альтернативные методы определения прецизионности стандартного метода измерений
ГОСТ Р ИСО 5725-6 Точность (правильность и прецизионность) методов и результатов измерений. Часть 6. Использование значений точности на практике
ГОСТ Р 54242 (ИСО 11723:2004) Топливо твердое минеральное. Определение содержания общего мышьяка и селена
Примечание - При пользовании настоящим стандартом целесообразно проверить действие ссылочных стандартов в информационной системе общего пользования - на официальном сайте Федерального агентства по техническому регулированию и метрологии в сети Интернет или по ежегодному информационному указателю "Национальные стандарты", который опубликован по состоянию на 1 января текущего года, и по выпускам ежемесячного информационного указателя "Национальные стандарты" за текущий год. Если заменен ссылочный стандарт, на который дана недатированная ссылка, то рекомендуется использовать действующую версию этого документа с учетом всех внесенных в данную версию изменений. Если заменен ссылочный стандарт, на который дана датированная ссылка, то рекомендуется использовать версию этого стандарта с указанным выше годом утверждения (принятия). Если после утверждения настоящего стандарта в ссылочный стандарт, на который дана датированная ссылка, внесено изменение, затрагивающее положение, на которое дана ссылка, то это положение рекомендуется применять без учета данного изменения. Если ссылочный стандарт отменен без замены, то положение, в котором дана ссылка на него, рекомендуется применять в части, не затрагивающей эту ссылку.
В настоящем стандарте применены термины по ГОСТ 17070, а также обозначения показателей и индексов к ним по ГОСТ 27313.
В таблице 1 приведены полные наименования инструментальных методов, применяемых для определения микроэлементов в твердых топливах, и их сокращения (аббревиатуры) на русском и английском языках.
|
Аббревиатура |
Наименование метода | ||
|
на английском языке |
на русском языке |
на английском языке |
на русском языке |
|
AAS |
ААС |
atomic absorption spectrometry |
Атомно-абсорбционная спектрометрия |
|
AFS |
АФС |
atomic fluorescence spectrometry |
Атомно-флуоресцентная спектрометрия |
|
CV-AAS |
ААС-ХП |
cold-vapour atomic absorption spectrometry |
Атомно-абсорбционная спектрометрия с атомизацией методом холодного пара |
|
GF-AAS |
ААС-ГП (ААС-ЭТА) |
graphite-furnace atomic absorption spectrometry |
Атомно-абсорбционная спектрометрия с атомизацией в графитовой печи (с электротермической атомизацией) |
|
HG-AAS |
ААС-ГГ |
hydride generation atomic absorption spectrometry |
Атомно-абсорбционная спектрометрия с гидридной генерацией |
|
IC |
ИХ |
ion chromatography |
Ионная хроматография |
|
ICP-AES |
ИСП-АЭС |
inductively coupled plasma atomic emission spectrometry |
Атомно-эмиссионная спектрометрия с индуктивно связанной плазмой |
|
ICP-OES |
ИСП-ОЭС |
inductively coupled plasma optical emission spectrometry |
Оптическая эмиссионная спектрометрия с индуктивно связанной плазмой |
|
ICP-MS |
ИСП-МС |
inductively coupled plasma mass spectrometry |
Масс-спектрометрия с индуктивно связанной плазмой |
|
INAA |
ИНАА |
instrumental neutron activation analysis |
Инструментальный нейтронно-активационный анализ |
|
ISE |
ИСЭ |
ion selective electrode |
Ион-селективный электрод |
|
XRF |
РФА |
X-ray fluorescence spectrometry |
Рентгенофлуоресцентная спектрометрия |
|
Сущность методов определения микроэлементов в твердых топливах заключается либо в измерении их количественного содержания в исходном топливе инструментальными методами (ИНАА, РФА), либо в разложении пробы топлива путем озоления, высокотемпературного нагрева или перевода в раствор с последующим определением содержания микроэлементов в продуктах разложения подходящими химическими, физико-химическими или инструментальными методами. Выбор метода определения микроэлементов или способа разложения пробы зависит от формы нахождения микроэлементов в топливе, их свойств и ожидаемого содержания в пробе. При определении микроэлементов, не образующих летучих соединений при температуре 500 °С (например, бериллий, хром, кобальт, медь, марганец, никель), анализ, как правило, проводят из золы топлива. Пробы топлива озоляют при температуре (500 ± 0) °С, после чего переводят микроэлементы в раствор путем обработки золы смесью кислот или сплавления золы со смесью боратов и растворения плава в кислотах. |
Примечание - Дополнительные положения введены для приведения структуры настоящего стандарта в соответствие с правилами, установленными в ГОСТ 1.5-2001 (подраздел 3.1).
На рисунке 1 приведена схема испытания твердых топлив при определении микроэлементов.
Примечание - Краткий обзор способов разложения проб твердого топлива с целью определения в них содержания микроэлементов приведен в приложении А.
a) Если для анализа используют озоленную пробу, зольность пробы определяют для дальнейшего пересчета результатов на топливо.
b) Раствор, получаемый путем выщелачивания сплава с боратом, может быть также использован для определения элемента методом ИСП-МС, если при этом обеспечена необходимая чувствительность.
c) Обозначенный на схеме пунктирной линией способ получения анализируемого раствора путем обработки топлива смесью кислот является альтернативным растворению в смеси кислот предварительно озоленной пробы.
Рисунок 1 - Схема испытания твердых топлив при определении микроэлементов
При выборе метода определения микроэлементов следует обратить внимание на то, что чувствительность (предел обнаружения) метода должна быть достаточной для определения концентраций этих элементов в твердых топливах, а прецизионность метода должна удовлетворять соответствующим требованиям. Типичные диапазоны концентраций микроэлементов в товарных углях, требуемые пределы обнаружения и требуемая прецизионность спектральных методов анализа приведены в таблице 2.
Правильность результатов измерений, полученных методами, выбранными для определения микроэлементов, оценивают предпочтительно путем использования стандартных образцов (СО) утвержденного типа, а также сравнением с результатами, полученными с помощью референтных методик (см. ДА.7 приложения ДА) в соответствии с требованиями ГОСТ Р ИСО 5725-1 - ГОСТ Р ИСО 5725-6 и ГОСТ 33654.
СО топлива широко распространены и применяются для контроля возможных потерь определяемого элемента в ходе испытания, а также при проведении отдельных процедур. СО золы топлива используют для контроля в тех методах, в которых озоление пробы является составной частью методики определения.
Анализ СО следует проводить одновременно с каждой партией проб, и результат этого анализа, а также аттестованное значение содержания определяемого элемента, указанное в документации на СО, необходимо приводить в протоколе испытаний.
|
Элемент |
Диапазон концентрацийа), мг/кгb) |
Требуемый предел обнаружения, мг/кгb) |
Требуемая прецизионностьc), мг/кгb) |
|
As |
От 0, 5 до 25, 0 |
0, 1 |
0, 1 |
|
В |
От 5 до 400 |
5 |
5 |
|
Be |
От 0, 1 до 20 |
0, 1 |
0, 1 |
|
Cd |
От 0, 05 до 0, 090 |
0, 01 |
0, 005 |
|
Cl |
От < 0, 01 % до 0, 2 % |
0, 01 % |
0, 01 % |
|
Со |
От 0, 5 до 30 |
1 |
1 |
|
Cr |
От 0, 5 до 60 |
1 |
1 |
|
Cu |
От 0, 5 до 50 |
1 |
1 |
|
F |
От 20 до 500 |
50 |
10 |
|
Hg |
От 0, 01 до 1, 0 |
0, 01 |
0, 005 |
|
Mn |
От 5 до 300 |
1 |
1 |
|
Мо |
От 0, 1 до 10 |
1 |
0, 1 |
|
Ni |
От 0, 5 до 50 |
1 |
1 |
|
Pb |
От 2 до 80 |
1 |
1 |
|
Sb |
От 0, 1 до 10 |
0, 1 |
0, 1 |
|
Se |
От 0, 2 до 10 |
0, 1 |
0, 1 |
|
Th |
От 0, 5 до 10 |
0, 1 |
0, 1 |
|
Tl |
От 0, 1 до 10 |
0, 1 |
0, 1 |
|
U |
От 0, 5 до 10 |
0, 1 |
0, 1 |
|
V |
От 2 до 100 |
1 |
1 |
|
Zn |
От 5 до 300 |
1 |
1 |
|
a) Данные по Свэйну [3]. b) За исключением тех случаев, в которых указана единица измерения - % абс. c) Как указана или 10 % отн. (в зависимости от того, какая величина больше). | |||
|
Проба твердого минерального топлива для определения микроэлементов представляет собой аналитическую пробу, измельченную до - 212 мкм, приготовленную по ГОСТ 10742, ГОСТ 23083 или ГОСТ 11303. Допускается использовать аналитическую пробу, измельченную до - 200 мкм. Проба должна находиться в воздушно-сухом состоянии, для чего ее раскладывают тонким слоем и выдерживают на воздухе при комнатной температуре в течение минимального времени, необходимого для достижения равновесия между влажностью пробы и влажностью окружающего воздуха. Одновременно со взятием навески топлива для определения микроэлементов отбирают навески для определения содержания аналитической влаги по ГОСТ 33503, ГОСТ 27589 или ГОСТ 11305 для пересчета результатов на другие состояния топлива, отличные от воздушно-сухого. |
Примечание - Дополнительный подраздел введен для учета требований к пробе для анализа.
Процедура озоления проб при температуре (500 ± 10) °С аналогична процедуре, изложенной в ГОСТ 32981. Пробы озоляют в лабораторной муфельной печи с естественной вентиляцией, используя тигли из фарфора, платины или прозрачного кварцевого стекла или лотки из огнеупорной керамики, подготовленные в соответствии с приложением ДА. Толщина слоя топлива в тигле (лотке) не должна превышать 0, 15 г/см2. Взвешенные тигли (лотки) с навесками помещают в холодную муфельную печь. Печь постепенно нагревают с такой скоростью, чтобы через 1 ч температура печи достигла 300 °С, а через 2 ч - (500 ± 10) °С. Выдерживают пробу при этой температуре до полного окисления углеродсодержащего материала, но не более 18 ч. Для ускорения процесса озоления допускается периодически (один раз в час) осторожно перемешивать пробу, не допуская при этом механических потерь пробы. После охлаждения и взвешивания золу тщательно растирают в агатовой ступке.
Взвешивание тиглей (лотков) с исходным топливом и зольным остатком проводят с целью вычисления зольности в условиях проведения испытания. Полученное значение зольности используют для пересчета результатов определения микроэлементов в золе на исходное твердое топливо.
Мышьяк и селен определяют в виде их водородных соединений методом атомно-абсорбционной или атомно-флуоресцентной спектрометрии с генерацией гидридов (ААС-ГГ, АФС-ГГ). Навеску топлива спекают со смесью Эшка при температуре 800 °С, а затем обрабатывают соляной кислотой. Метод определения мышьяка и селена в твердых топливах регламентирован в ГОСТ Р 54242.
В золе топлива селен отсутствует, так как теряется в значительной степени или полностью при температуре даже ниже, чем 500 °С. Мышьяк может быть определен в золе твердого топлива, полученной в лаборатории при температуре не выше 500 °С, по нормативному документу*. Для определения мышьяка в золе топлива может быть рекомендована методика, включающая растворение золы путем сплавления со смесью метабората/тетрабората лития или путем разложения смесью кислот (азотной, соляной и фтористоводородной). В растворе определяют мышьяк в виде водородного соединения методом ААС-ГГ или АФС-ГГ. Мышьяк и селен также могут быть определены методом ИСП-МС, если есть возможность устранить интерференцию, вызванную хлоридом аргона.
──────────────────────────────
* См. [4].
В ГОСТ 10478 регламентирован физико-химический метод определения мышьяка в твердом топливе, предусматривающий разложение навески топлива спеканием со смесью Эшка. Мышьяк отделяют от мешающих примесей отгонкой в виде трихлорида, который поглощают концентрированной азотной кислотой для окисления мышьяка до As (V). После упаривания азотной кислоты остаток обрабатывают при нагревании раствором серной кислоты. В сернокислом растворе As (V) образует с молибдатом аммония в присутствии сульфата гидразина окрашенное комплексное соединение - мышьяковомолибденовую синь. Содержание мышьяка в топливе определяют спектрофотометрическим методом по интенсивности окраски раствора с использованием градуировочного графика.
Бор относится к летучим элементам, поэтому озоление топлива с целью разложения пробы и получения анализируемого раствора при определении бора не применяют.
Метод определения бора регламентирован нормативным документом*. Для определения бора пробу топлива спекают со смесью Эшка при температуре 800 °С, а затем растворяют в соляной кислоте. Процедура приготовления анализируемого раствора аналогична той, которая изложена в стандартном методе определения мышьяка и селена по ГОСТ Р 54242.
──────────────────────────────
* См. [1].
Бор в растворе определяют методом атомно-эмиссионной спектрометрии с индуктивно связанной плазмой (ИСП-АЭС) [1] или методом масс-спектрометрии с индуктивно связанной плазмой (ИСП-МС).
Методы определения всех перечисленных в настоящем подразделе элементов (кроме тория и урана) регламентированы нормативным документом**.
──────────────────────────────
** См. [4].
Рекомендуемый ход анализа описан ниже.
Пробу угля озоляют при максимальной температуре (500 ± 10) °С для удаления углеродсодержащего материала. Приготовленную для анализа золу сплавляют со смесью метабората и тетрабората лития по [2] или разлагают смесью кислот (соляной, азотной и фтористоводородной).
Торий и уран также могут быть определены описанным методом, но при растворении золы в смеси кислот следует учитывать, что эти элементы могут образовывать нерастворимые фтористые соединения. Для предотвращения такого образования следует соблюдать некоторые меры предосторожности. Торий и уран следует определять в течение первых 2 ч после приготовления раствора золы в смеси кислот или раствор следует частично упарить для удаления фтористоводородной кислоты.
В полученный таким образом раствор добавляют борную кислоту для образования комплексных соединений с фторидами.
Концентрации микроэлементов в растворе определяют спектрометрическими методами. Традиционно использовали метод ААС, в настоящее время его в большинстве случаев заменили на методы ИСП-АЭС и ИСП-МС.
Примечания
1 Некоторые из этих микроэлементов могут быть определены методом РФА, однако чувствительности этого метода недостаточно для точного определения бериллия, кадмия, тория и урана.
2 Кадмий (ГОСТ 32981) и свинец также могут быть определены методом ААС-ГП.
3 В область распространения нормативного документа** входит также мышьяк.
──────────────────────────────
** См. [4].
Хлор относится к легколетучим элементам, поэтому в золе топлива хлор не определяют. Методы определения хлора регламентированы ГОСТ 9326 и ГОСТ 33502, включающими разные способы разложения пробы и разные методы определения хлора в полученных растворах.
По ГОСТ 9326 для определения хлора пробу спекают со смесью Эшка, растворяя спек в азотной кислоте, или сжигают в калориметрической бомбе в присутствии поглотительного раствора. В растворе хлор определяют химическими методами (меркуриметрическое титрование или титрование по Фольгарду) или с использованием хлорид-селективного электрода (ИСЭ). Метод по ГОСТ 33502 заключается в разложении пробы сжиганием в калориметрической бомбе и определении хлора в растворе с использованием хлорид-селективного электрода (ИСЭ) (метод стандартных добавок).
Для переведения хлора в раствор может быть также применено разложение навески топлива путем пирогидролиза. Процедура аналогична той, что регламентирована в ГОСТ 32982. В поглотительном растворе хлор определяют методом ионной хроматографии (ИХ) или методом ИСП-АЭС.
Удобным и точным методом прямого определения хлора в топливе является метод РФА.
Примечание - Хлор обычно относят не к микроэлементам, а к элементам, присутствующим в угле в малых количествах, и выражают его содержание в процентах (см. таблицу 2).
Фтор определяют одним из двух стандартных методов. Метод по ГОСТ 32982 заключается в пирогидролитическом разложении навески пробы и определении в растворе ионов фтора с использованием фторид-селективного электрода (ИСЭ) или ионной хроматографии (ИХ). Этот метод может быть применен для определения фтора в золах топлив. Метод по ГОСТ 33501 заключается в сжигании навески топлива в калориметрической бомбе и последующем определении в растворе фторид-ионов с использованием фторид-селективного электрода (ИСЭ).
Примечание - Метод по ГОСТ 33501 прошел успешную проверку на углях с зольностью 25 % и менее.
Ртуть определяют по ГОСТ 32980. Навеску топлива сжигают в калориметрической бомбе в атмосфере кислорода, при этом ртуть абсорбируется разбавленным раствором азотной кислоты, добавляемой в бомбу перед сжиганием. В полученном из смыва бомбы растворе после его фильтрования ртуть восстанавливают хлоридом олова и определяют методом беспламенной атомно-абсорбционной спектрометрии с атомизацией методом холодного пара (ААС-ХП).
Известно несколько методов определения ртути, альтернативных по точности стандартному методу. Для разложения топлива можно обработать пробу кислотами в автоклаве, помещенном в микроволновую печь, или в закрытом сосуде на водяной бане, или кипятить в смеси азотной и серной кислот с обратным холодильником в соответствии с нормативным документом*.
Существуют инструментальные методы анализа, в которых топливо сжигают, а ртуть поглощают в коллекторе с проволокой из золота. Затем коллектор нагревают и ртуть испаряется. Концентрацию ртути определяют прямым анализом пламени по нормативному документу**.
──────────────────────────────
* См. [5].
** См. [6].
В углях, как в природном сырье, содержатся радионуклиды. Их радиоактивность может быть измерена гамма-спектрометрами с высокой разрешающей способностью [7].
Массовую долю микроэлемента в сухом топливе Эd, мг/кг, рассчитывают по формуле
(1)
где Эа - массовая доля микроэлемента Э в воздушно-сухой пробе топлива, мг/кг;
Wа - массовая доля влаги в воздушно-сухой пробе топлива (аналитической влаги), %.
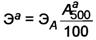
Если определение микроэлемента проводят из предварительно озоленной пробы топлива, массовую долю микроэлемента в воздушно-сухом топливе, мг/кг, рассчитывают по формуле
(2)
где ЭА - массовая доля микроэлемента Э в золе, мг/кг золы;
Результаты испытаний округляют в соответствии с таблицей 3. Микроэлементы в протоколе приводят в виде символов в алфавитном порядке.
|
Элемент |
Уровень концентраций, мг/кга) |
Значение округляют до значения, мг/кга) |
|
As, Sb, Se |
От 0, 1 до 10 |
0, 1 |
|
В |
От 5 до 50 > 50 |
5 10 % отн. |
|
Be |
От 0, 1 до 10, 0 |
0, 1 |
|
Cd, Hg |
От 0, 01 до 0, 10 |
0, 01 |
|
Cl |
От 0, 01 % до 0, 15 % |
0, 01 % |
|
F |
< 100 100 ≤ CF < 500 |
1 5 |
|
Co, Cr, Cu, Mn, Ni, Tl, Zn |
От 1 до 10 > 10 |
0, 1 10 % отн. |
|
Pb |
От 4, 5 до 9, 5 |
0, 1 |
|
Th, U |
От 0, 1 до 10 |
0, 1 |
|
a) За исключением тех случаев, в которых указана единица измерения процент. | ||
Прецизионность результатов измерений приведена в соответствующих стандартах, регламентирующих методы определения микроэлементов.
Протокол испытаний должен содержать:
a) полную идентификацию анализируемой пробы;
b) ссылку на выбранный метод анализа;
c) концентрацию каждого микроэлемента в пробе топлива, выраженную в миллиграммах на килограмм;
d) состояние топлива, на которое выражен результат;
e) массовую долю влаги воздушно-сухой пробы, если результаты выражены на воздушно-сухое состояние топлива.
Приложение А
(справочное)
Известны различные способы разложения угля или золы угля для приготовления растворов, используемых при определении микроэлементов различными аналитическими методами, такими как ИСП-АЭС и ИСП-МС.
Большинство способов заключается в сплавлении золы с плавнями или в обработке ее смесью кислот, в состав которой входит фтористоводородная кислота. Другая группа способов заключается в разложении топлива смесью кислот, включающей фтористоводородную кислоту, а также в обработке перекисью водорода с целью окисления органической массы топлива [8]. Единственный способ переведения угля в раствор, не требующий применения фтористоводородной кислоты, заключается в разложении угля при высокой температуре и давлении в автоклаве с использованием микроволновой печи [9].
Необходимость применения при разложении угля фтористоводородной кислоты в настоящее время обсуждается. Предметом обсуждения является вопрос о том, все ли определяемые элементы могут быть извлечены из минеральной массы угля в отсутствие фтористоводородной кислоты.
Не достигнуто согласие по вопросу о преимуществах и недостатках методов, основанных на разложении непосредственно угля и на предварительном озолении пробы и разложении полученной золы.
Способ разложения угля смесью кислот с целью получения растворов, в которых измеряют содержание микроэлементов, имеет некоторые преимущества, например, удается избежать потерь летучих элементов. Основной недостаток этого способа - отсутствие уверенности в том, что при разложении угля смесью кислот и перекисью водорода все определяемые элементы переходят из органической массы угля в раствор. С другой стороны, озоление угля может приводить к загрязнению пробы, а также к потере некоторых микроэлементов. К загрязнению пробы может приводить любая процедура в процессе определения микроэлементов, но риск загрязнения может быть снижен. Также могут быть приняты меры, предотвращающие потери некоторых микроэлементов при озолении. Такие элементы, как В, Hg, Se и галогены, при озолении улетучиваются. Потери же других микроэлементов во время озоления угля при температуре ниже или равной 500 °С не происходит.
В настоящем стандарте не рассмотрены специальные методы анализа. Каждый химик-аналитик самостоятельно решает, какой метод необходимо применить, проверяя его путем анализа соответствующих СО (угля или золы угля). Желательно при выборе метода заранее оценить, не приведет ли какая-либо из процедур к повышенному риску загрязнения пробы или потери определяемых микроэлементов. Так, например, если определяемые элементы не извлекаются из СО угля или, наоборот, улетучиваются при озолении СО угля, такой метод для определения этих элементов не подходит.
Приложение ДА
(справочное)
(Настоящее приложение объединяет требования к оборудованию и реактивам, изложенные в отдельных стандартах на методы определения микроэлементов, входящих в раздел 2, а также требования руководства по технике лабораторных работ при определении содержаний микроэлементов.)
ДА.1 При определении микроэлементов необходимо принимать меры, позволяющие исключить возможность внесения загрязнений в пробу для анализа из лабораторной посуды, атмосферы, реактивов и оборудования.
ДА.2 В стандартах на методы определения микроэлементов описания конкретных моделей или типов приборов не приводят, ограничиваясь, как правило, только наименованием и общими требованиями, предъявляемыми к измерительной аппаратуре, используемой для данного метода.
Подготовку приборов к работе и оптимизацию условий измерения проводят в соответствии с инструкцией по эксплуатации прибора от изготовителя. Готовность прибора к работе проверяют испытанием СО или аттестованных смесей (ДА.7). Для этих целей допускается использовать собственные стандартные образцы лабораторий.
ДА.3 Для проведения анализа используют лабораторную посуду из стекла по ГОСТ 25336 и ГОСТ 1770, посуду из прозрачного кварцевого стекла по ГОСТ 19908, фарфора по ГОСТ 9147 и платины по ГОСТ 6563, а также из полимерных материалов.
Посуду из стекла, не бывшую в употреблении, моют моющими средствами, рекомендуемыми руководством по технике лабораторных работ, после чего тщательно промывают проточной водой и ополаскивают дистиллированной водой (ДА.4).
Посуду из фарфора, керамики или кварца, используемую для озоления проб, предварительно прокаливают до постоянной массы при температуре озоления, а после охлаждения хранят в эксикаторе.
Изделия из платины кипятят в водном растворе соляной кислоты (1:1) или в разбавленном растворе азотной кислоты (5:95), промывают проточной водой и ополаскивают дистиллированной водой (ДА.4).
Для хранения дистиллированной воды (ДА.4) и растворов, а также для кислотного разложения зол применяют пластиковые сосуды из полиэтилена высокого давления, полипропилена или тефлона, герметично закрывающиеся завинчивающимися крышками. Перед использованием сосуды заполняют раствором азотной кислоты (1:9) и выдерживают не менее 48 ч, а затем промывают проточной водой и ополаскивают дистиллированной водой (ДА.4). Сосуды, предназначенные для кислотного разложения зол, должны выдерживать температуру 130 °С и давление, развивающееся в процессе разложения пробы, в течение нескольких часов. Перед каждым использованием сосуды проверяют на отсутствие трещин путем умеренного сдавливания.
ДА.4 При определении микроэлементов в твердом топливе используют специально подготовленную дистиллированную воду. Дистиллированную воду по ГОСТ 6709 дважды перегоняют в аппаратуре из кварцевого стекла или подвергают деионизации. Воду хранят в герметично закрытой таре из полиэтилена высокого давления или полипропилена (ДА.3).
ДА.5 При проведении анализа следует использовать химические реактивы, степень чистоты которых не ниже ч. д. а по ГОСТ 13867.
ДА.6 Для приготовления градуировочных растворов применяют химические реактивы (оксиды и соли определяемых элементов) высокой степени чистоты - не менее 99, 99 % масс.
Для градуировки спектрометров градуировочные растворы могут быть приготовлены также из государственных стандартных образцов (ГСО) состава водных растворов элементов, аттестованных в соответствии с требованиями ГОСТ 8.315, путем соответствующего разбавления. Наряду с ГСО состава растворов индивидуальных элементов допускается использовать многокомпонентные ГСО.
ДА.7 Для контроля правильности результатов определения микроэлементов в топливах предпочтительно используют СО утвержденного типа, аттестованные в соответствии с требованиями ГОСТ 8.315, или сравнивают полученные результаты с результатами измерений, проведенных с использованием референтных методик, соответствующих требованиям ГОСТ 8.010. При отсутствии в Государственном реестре необходимых ГСО утвержденного типа допускается использовать аттестованные смеси (АС), содержание определяемого компонента в которых установлено на основе использования референтных методик. ГСО и АС должны быть близкими по составу и содержанию элементов к анализируемым пробам.
Приложение ДБ
(справочное)
Таблица ДБ.1
|
Обозначение ссылочного национального стандарта |
Степень соответствия |
Обозначение и наименование ссылочного международного стандарта |
|
ГОСТ Р ИСО 5725-1-2002 |
IDT |
ISO 5725-1:1994 "Точность (правильность и прецизионность) методов и результатов измерений. Часть 1. Общие принципы и определения" |
|
ГОСТ Р ИСО 5725-2-2002 |
IDT |
ISO 5725-2:1994 "Точность (правильность и прецизионность) методов и результатов измерений. Часть 2. Основной метод определения повторяемости и воспроизводимости стандартного метода измерений" |
|
ГОСТ Р ИСО 5725-3-2002 |
IDT |
ISO 5725-3:1994 "Точность (правильность и прецизионность) методов и результатов измерений. Часть 3. Промежуточные показатели прецизионности стандартного метода измерений" |
|
ГОСТ Р ИСО 5725-4-2002 |
IDT |
ISO 5725-4:1994 "Точность (правильность и прецизионность) методов и результатов измерений. Часть 4. Основные методы определения правильности стандартного метода измерений" |
|
ГОСТ Р ИСО 5725-5-2002 |
IDT |
ISO 5725-5:1998 "Точность (правильность и прецизионность) методов и результатов измерений. Часть 5. Альтернативные методы определения прецизионности стандартного метода измерений" |
|
ГОСТ Р ИСО 5725-6-2002 |
IDT |
ISO 5725-6:1994 "Точность (правильность и прецизионность) методов и результатов измерений. Часть 6. Использование значений точности на практике" |
|
ГОСТ 17070-2014 |
NEQ |
ISO 1213-2:1992 "Твердые минеральные топлива. Словарь. Часть 2. Термины, относящиеся к отбору, испытанию и анализу проб" |
|
Примечание - В настоящей таблице использованы следующие условные обозначения степени соответствия стандартов: - IDT - идентичные стандарты; - NEQ - неэквивалентные стандарты. | ||
Приложение ДВ
(справочное)
Таблица ДВ.1
|
Структура настоящего стандарта |
Структура международного стандарта ISO 23380:2013 |
|
3 Термины, определения и сокращения (разделы 3, 4) |
3 Термины и определения |
|
4 Сущность методов |
4 Аббревиатуры |
|
5 Требования к чувствительности и точности методов определения микроэлементов (разделы 6, 8) |
5 Обзор методов |
|
6 Приготовление пробы (-) |
5.1 Общие положения* |
|
6.1 Приготовление пробы твердого топлива для определения микроэлементов (-) |
5.2 Мышьяк и селен |
|
6.2 Приготовление пробы золы для определения микроэлементов (5.1) |
5.3 Бор |
|
7 Обзор методов определения микроэлементов (раздел 5) |
5.4 Сурьма, бериллий, кадмий, хром, кобальт, медь, свинец, марганец, молибден, никель, таллий, ванадий, цинк, торий и уран |
|
7.1 Мышьяк и селен (5.2) |
5.4.1 Общие положения |
|
7.2 Бор (5.3) |
5.4.2 Радионуклиды |
|
7.3 Сурьма, бериллий, кадмий, хром, кобальт, медь, свинец, марганец, молибден, никель, таллий, ванадий, цинк, торий и уран (5.4.1) |
5.5 Хлор |
|
7.4 Хлор (5.5) |
5.6 Фтор |
|
7.5 Фтор (5.6) |
5.7 Ртуть |
|
7.6 Ртуть (5.7) |
6 Использование сертифицированных материалов сравнения* |
|
7.7 Радионуклиды (5.4.2) |
7 Обработка результатов |
|
8 Обработка и представление результатов (разделы 7, 9) |
8 Чувствительность |
|
9 Прецизионность (раздел 10) |
9 Представление результатов |
|
10 Протокол испытаний (раздел 11) |
10 Прецизионность |
|
Приложение А Альтернативные способы приготовления растворов при разложении углей |
11 Протокол испытаний |
|
Приложение ДА Общие требования к оборудованию и реактивам, применяемым при определении следовых элементов |
Приложение А Схема анализа при определении микроэлементов |
|
Приложение ДБ Сведения о соответствии ссылочных межгосударственных стандартов международным стандартам, использованным в качестве ссылочных в примененном международном стандарте |
Приложение В Альтернативные способы получения раствора при анализе угля |
|
Приложение ДВ Сопоставление структуры настоящего стандарта со структурой примененного в нем международного стандарта |
- |
|
* Данный раздел (подраздел) исключен, т.к. его положения размещены в других разделах настоящего стандарта. Примечания 1 Сопоставление структуры стандартов приведено, начиная с раздела 3, т.к. предыдущие разделы (за исключением предисловия) идентичны. 2 После заголовков разделов (подразделов) настоящего стандарта в скобках приведены номера аналогичных им разделов (подразделов, пунктов) международного стандарта. | |
Библиография
|
[1] |
AS 1038.10.3 |
Уголь и кокс. Анализ и испытания. Определение микроэлементов. Уголь и кокс. Определение содержания бора методом ИСП-АЭС (Coal and coke - Analysis and testing - Determination of trace elements - Coal and coke - Determination of boron content - ICP-AES method) |
|
[2] |
AS 1038.14.1 |
Уголь и кокс. Анализ и испытания. Зола углей высокого ранга и зола кокса. Макро- и микроэлементы. Метод с использованием сплавления с боратом и пламенной атомно-абсорбционной спектрометрии (Coal and coke - Analysis and testing - Higher rank coal ash and coke ash - Major and minor elements - Borate fusion/flame atomic absorption spectrometric method) |
|
[3] |
Свэйн Д. Микроэлементы в угле (Swaine D.J. Trace elements in Coal. Butterworths, London, 1990) | |
|
[4] |
АСТМ Д6357 |
Стандартные методы определения следовых элементов в угле, коксе и остатках от сжигания угля с помощью атомно-эмиссионного анализа с индуктивно связанной плазмой, масс-спектрометрического анализа с индуктивно связанной плазмой и атомно-абсорбционной спектрометрии с атомизацией в графитовой печи |
|
(ASTM D6357) |
(Test Methods for Determination of Trace Elements in Coal, Coke, & Combustion Residues from Coal Utilization Processes by Inductively Coupled Plasma Atomic Emission, Inductively Coupled Plasma Mass, & Graphite Furnace Atomic Absorption Spectrometry) | |
|
[5] |
АСТМ Д6414 |
Стандартный метод определения общей ртути в угле и остатках от сжигания угля с использованием экстракции кислотой или мокрого окисления и атомно-абсорбционного анализа с атомизацией холодным паром |
|
(ASTM D6414) |
(Standard Test Method for Total Mercury in Coal and Coal Combustion Residues by Acid Extraction or Wet Oxidation/Cold Vapor Atomic Absorption) | |
|
[6] |
АСТМ Д6722 |
Стандартный метод определения общей ртути в угле и остатках от сжигания угля путем прямого анализа пламени |
|
(ASTM D6722) |
(Standard Test Method for Total Mercury in Coal and Coal Combustion Residues by Direct Combustion Analysis) | |
|
[7] |
Фарди и др. Анализ углей и зол уноса на содержание микроэлементов и природных радионуклидов (Fardy J.J, McOrist G.C. and Farrar Y.J. The analysis of coal and flyash for trace elements and natural radioactivity. Proceedings Australian Coal Science Conference. Churchill, 3 to 5 December 1984, pp. 159 to 16) | |
|
[8] |
CEN/TS 15297 |
Твердые биотоплива. Определение микроэлементов (Solid biofuels - Determination of minor elements) |
|
[9] |
Ванг Дж. и др. Разложение проб в микроволновой печи при высокой температуре смесью HNO3/H2O2 с целью определения следовых элементов в углях методами ИСП-ОЭС и ИСП-МС (Wang J., Nakazato Т., Sakanishi K., Yamada О., Tao Н. and Saito I. Microwave digestion with HNO3/H2O2 mixture at high temperatures for determination of trace elements in coal by ICP-OES and ICP-MS. Analytica Chimica Acta, 514(1), 2004, pp. 115 to 124) | |


