Утв. и введен в действие постановлением Комитета стандартов, мер и измерительных приборов при Совете Министров СССР от 17 апреля 1968 г.
Межгосударственный стандарт ГОСТ 13525.4-68
"БУМАГА И КАРТОН. МЕТОД ОПРЕДЕЛЕНИЯ СОРНОСТИ"
Paper and Board. Method for the determination of flaw
Группа К69
МКС 85.060
ОКСТУ 5409
Дата введения - 1 января 1970 г.
Взамен ГОСТ 7501-56 в части разд. I и II
Информационные данные
1. Разработан и внесен Министерством лесной, целлюлозно-бумажной и деревообрабатывающей промышленности СССР
Разработчик
Е.П. Ковальчук
2. Утвержден и введен в действие Постановлением Комитета стандартов, мер и измерительных приборов при Совете Министров СССР от 17.04.68
3. Стандарт полностью соответствует СТ СЭВ 4163-83
4. Взамен ГОСТ 7501-56 в части разд. I и II
5. Ссылочные нормативно-технические документы
|
Обозначение НТД, на который дана ссылка
|
Номер пункта
|
|
ГОСТ 2239-79
|
2.1
|
|
ГОСТ 6825-91
|
2.1
|
|
ГОСТ 8047-2001
|
1.1
|
6. Ограничение срока действия снято по протоколу N 2-93 Межгосударственного совета по стандартизации, метрологии и сертификации (ИУС 2-93)
7. Издание (июль 2007 г.) с Изменениями N 1, 2, 3, 4, утвержденными в марте 1978 г., мае 1982 г., марте 1984 г., июне 1987 г. (ИУС 5-78, 8-82, 6-84, 10-87)
Настоящий стандарт распространяется на бумагу и картон и устанавливает метод определения сорности при норме 5 и более соринок на 1 м2.
Метод основан на определении количества видимых невооруженным глазом в отраженном свете контрастных посторонних включений, отличающихся по внешнему виду от общего фона бумаги и картона.
(Измененная редакция, Изм. N 4).
1. Отбор проб
1.1. Отбор проб производят по ГОСТ 8047 со следующим дополнением: из листов пробы произвольно отбирают три листа для испытаний и из каждого листа вырезают по одному образцу.
1.2. Образцы бумаги или картона для определения сорности должны иметь площадь 1/16 м2 и размеры (250±1)·(250±1) мм или соответствующие формату А4.
1.1, 1.2. (Измененная редакция, Изм. N 2, 3).
1.3. Образцы бумаги для испытаний не должны иметь складок, морщин, перегибов и водяных знаков.
2. Аппаратура
2.1. Для проведения испытания должны применяться:
шаблон для вырезания образцов размером (250·250) мм.
Отклонение линейных размеров шаблона не должно превышать ± 0, 2 мм;
шаблон, изготовленный из прозрачной бесцветной пленки с нанесенными на ней черными фигурами различной конфигурации следующих площадей в мм2: 0, 1; 0, 2; 0, 3; 0, 5; 1, 0; 1, 5; 2, 0; 2, 5; 3, 0; 4, 0; 5, 0 (чертеж); отклонение площади фигур от номинального значения не должно превышать ± 20 %;
Схематичное изображение конфигурации соринок
лампа накаливания электрическая мощностью 100 Вт типа Б 220-230-100 по ГОСТ 2239 или лампа люминесцентная по ГОСТ 6825.
(Измененная редакция, Изм. N 3, 4).
3. Проведение испытаний
3.1. Испытания проводят при дневном рассеянном или искусственном свете, обеспечивающем освещенность не менее 600 люкс.
При искусственном освещении следует пользоваться электролампой в 100 Вт или лампой дневного света, расположенной на высоте 35 см и на расстоянии 25 см от середины образца по горизонтали.
Образец бумаги или картона кладут на чистую белую бумажную подложку прямо перед собой так, чтобы свет падал с левой стороны.
3.2. Соринки площадью, соответствующей пределам, указанным в нормативно-технической документации на продукцию, отмечают карандашом, если нормированы несколько пределов, то соринки, площади которых соответствуют разным пределам, отмечают разными знаками.
Испытанию подвергают обе стороны каждого образца. Если в нормативно-технической документации на продукцию конкретного вида предусмотрен показатель сорности одной стороны, то соринки считают только на указанной стороне.
Сквозные соринки отмечают и подсчитывают с обеих сторон, если в нормативно-технической документации на продукцию нет других указаний.
При подсчете учтенные соринки перечеркивают.
3.3. Площади соринок проверяют совмещением их с соответствующими по конфигурации и площади фигурами шаблона.
Соринки, которые полностью закрываются соответствующей фигурой шаблона, рассматриваются как имеющие меньшую площадь, чем площадь этой фигуры шаблона.
3.1-3.3. (Измененная редакция, Изм. N 1, 2, 3).
3.4. (Исключен, Изм. N 2).
4. Обработка результатов
4.1. При определении сорности подсчитывают суммарное количество соринок с обеих сторон образца.
(Измененная редакция, Изм. N 2).
4.2. (Исключен, Изм. N 2).
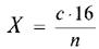
4.3. Сорность X выражают общим количеством соринок на обеих сторонах образца в пересчете на 1 м2 бумаги или картона

,
где с - суммарное количество соринок на всех испытанных образцах пробы с двух сторон (или с одной стороны в случае соответствующих указаний в нормативно-технической документации на конкретную продукцию);
n - количество испытанных образцов.
(Измененная редакция, Изм. N 3, 4).
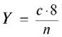
4.4. Среднюю сорность Y выражают средним количеством соринок на обеих сторонах всех испытуемых образцов в пересчете на 1 м2 поверхности бумаги или картона

.
4.5. Результат округляют до целого числа.
4.4, 4.5. (Введены дополнительно, Изм. N 3).