Утв. и введен в действие Комитетом стандартов, мер и измерительных приборов при Совете Министров СССР от 6 мая 1968 г.
Межгосударственный стандарт ГОСТ 13525.6-68
"БУМАГА И КАРТОН. МЕТОД ОПРЕДЕЛЕНИЯ ПОТЕРИ МЕХАНИЧЕСКОЙ ПРОЧНОСТИ ПРИ НАГРЕВАНИИ"
Paper and board. Method for determination of reducing mechanical strenght under heating
МКС 85.060
ОКСТУ 5409
Группа К69
Дата введения - 1 января 1969 г.
Взамен ГОСТ 7497-55 в части разд. VIII
Информационные данные
1. Разработан и внесен Министерством лесной, целлюлозно-бумажной и деревообрабатывающей промышленности СССР
Разработчики
И.Г. Чагарная, Н.В. Голуб
2. Утвержден и введен в действие Комитетом стандартов, мер и измерительных приборов при Совете Министров СССР от 06.05.68
3. Взамен ГОСТ 7497-55 в части разд. VIII
4. Стандарт полностью соответствует СТ СЭВ 6224-88
5. Ссылочные нормативно-технические документы
|
Обозначение НТД, на который дана ссылка
|
Номер пункта
|
|
ГОСТ 8047-2001
|
1.1
|
|
ГОСТ 13523-78
|
4.3
|
6. Ограничение срока действия снято по протоколу N 7-95 Межгосударственного совета по стандартизации, метрологии и сертификации (ИУС 11-95)
7. Издание (июль 2007 г.) с Изменениями N 1, 2, 3, утвержденными в январе 1978 г., апреле 1982 г., марте 1989 г. (ИУС 3-78, 7-82, 6-89)
Настоящий стандарт распространяется на бумагу и картон и устанавливает метод определения величины снижения механической прочности после выдерживания бумаги и картона в термостате в течение установленного времени при определенном температурном режиме.
Потерю механической прочности определяют по показателям сопротивления бумаги и картона продавливанию, излому, раздиранию, разрыву, в зависимости от указаний в соответствующих стандартах на бумагу и картон, и выражают в процентах к соответствующему показателю исходного образца.
(Измененная редакция, Изм. N 3).
1. Отбор проб
1.1. Отбор проб - по ГОСТ 8047.
(Измененная редакция, Изм. N 2).
2. Аппаратура
2.1. Для проведения испытания применяют следующую аппаратуру: термостат или сушильный шкаф, обеспечивающий поддерживание температуры с погрешностью ± 2 °С.
(Измененная редакция, Изм. N 2).
3. Подготовка к испытаниям
3.1. Из отобранной пробы нарезают удвоенное количество образцов бумаги и картона по сравнению с предусмотренным в стандартах на методы испытания.
4. Проведение испытаний
4.1. Половину общего числа образцов подвешивают в предварительно нагретом до требуемой температуры термостате или сушильном шкафу.
Время от момента помещения образцов в термостат или сушильный шкаф до момента достижения требуемой температуры не должно превышать 25 мин.
Образцы в сушильном шкафу или термостате подвешивают так, чтобы обеспечить свободный доступ воздуха со всех сторон. Расстояние образцов от стенок шкафа должно быть не менее 80 мм, а между образцами - не менее 10 мм.
(Измененная редакция, Изм. N 3).
4.2. Температура и время выдерживания образцов в термостате должны предусматриваться соответствующим стандартом на бумагу и картон.
4.3. По истечении установленного времени образцы вынимают из термостата и кондиционируют в соответствии с ГОСТ 13523 вместе с исходными образцами до достижения равновесной влажности. Исходные образцы и образцы, подвергнутые нагреванию в термостате, испытывают по методам, предусмотренным соответствующими стандартами.
(Измененная редакция, Изм. N 1).
5. Обработка результатов испытаний
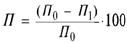
5.1. Потерю механической прочности бумаги и картона П в процентах вычисляют по формуле

,
где П0 - среднее арифметическое результатов определения показателя механической прочности образцов, не подвергнутых нагреванию;
П1 - среднее арифметическое результатов определения показателя механической прочности образцов, подвергнутых нагреванию.
В случае определения термостойкости бумаги и картона Т в процентах показатель вычисляют по формуле
Т=100-П.
(Измененная редакция, Изм. N 1, 3).
5.2. Результаты округляют до десятых долей процента.