Утв. Постановлением Государственного комитета СССР по стандартам от 23 апреля 1979 г. N 1479
Межгосударственный стандарт ГОСТ 13525.1-79
"ПОЛУФАБРИКАТЫ ВОЛОКНИСТЫЕ, БУМАГА И КАРТОН. МЕТОДЫ ОПРЕДЕЛЕНИЯ ПРОЧНОСТИ НА РАЗРЫВ И УДЛИНЕНИЯ ПРИ РАСТЯЖЕНИИ"
Fibre semimanufactures, paper and board. Tensile strength and elongation tests
MKC 85.040
85.060
ОКСТУ 5409
Группа К69
Дата введения установлена 1 июля 1980 г.
Взамен ГОСТ 13525.1-68
Настоящий стандарт распространяется на волокнистые полуфабрикаты, бумагу и картон и устанавливает методы определения прочности на разрыв и относительного удлинения при растяжении.
Стандарт не распространяется на гофрированный картон.
Сущность методов заключается в определении усилия, вызывающего разрушение образца и его удлинение до момента разрыва.
Прочность на разрыв характеризуется следующими величинами:
разрушающим усилием;
удельным сопротивлением разрыву;
индексом прочности при растяжении;
пределом прочности при растяжении;
разрывной длиной.
Стандарт полностью соответствует СТ СЭВ 2426-80 и МС ИСО 1924-1-83.
1. Отбор проб
1.1. Отбор проб древесной массы - по ГОСТ 16489-78.
1.2. Отбор проб целлюлозы - по ГОСТ 7004-93.
1.3. Отбор проб бумаги и картона - по ГОСТ 8047-2001.
1.4. Для испытания древесной массы и целлюлозы изготовляют по пять отливок по ГОСТ 16296-79 и ГОСТ 14363.4-89.
1.5. Из каждой отливки вырезают по два образца шириной (15, 0 ± 0, 1) мм и длиной не менее 150 мм по схеме, указанной в ГОСТ 16296-79 и ГОСТ 14363.4-89.
1.6. Для испытания бумаги и картона от выборки отбирают десять листов и из каждого листа вырезают по одному образцу в машинном и поперечном направлениях размером, мм:
ширина образцов для бумаги - 15, 0 ± 0, 1;
" " " картона - 50, 0 ± 0, 2;
длина образцов для бумаги и картона не менее 250, если другие размеры не установлены в нормативно-технической документации на конкретную продукцию.
(Измененная редакция, Изм. N 1).
1.7. Образцы должны быть с ровными кромками, чистыми, без складок, вмятин и морщин.
2. Аппаратура
2.1. Для испытания используют разрывные машины, отвечающие следующим требованиям:
относительная погрешность измерения силы не должна превышать ± 1 %;
абсолютная погрешность измерения удлинения не должна превышать для машин:
с предельной нагрузкой до 300 Н (30 кгс) включ. - 0, 5 мм;
" " " св. 300 Н (30 кгс) - 1, 0 мм;
ширина зажимов должна соответствовать ширине испытуемых образцов;
зажимы должны удерживать образец без скольжения в течение всего испытания;
расстояние между зажимами должно быть регулируемым и обеспечивать установку значений:
(50 ± 1) мм,
(100 ± 1) мм,
(180 ± 1) мм;
скорость перемещения подвижного зажима должна быть переменной с плавной регулировкой и ее отклонение при любом установочном значении не должно превышать ± 5 %.
2.2. Нож с ограничителем для нарезания образцов требуемой ширины, обеспечивающий параллельность сторон.
2.3. Секундомер.
2.4. Толщиномер, отвечающий требованиям ГОСТ 13199-88.
2.5. Весы лабораторные рычажные с погрешностью взвешивания не более 0, 001 г по ГОСТ 24104-2001.
3. Подготовка к испытанию
3.1. Образцы подвергают кондиционированию по ГОСТ 13523-78 при относительной влажности, температуре воздуха и в течение времени, указанных в нормативно-технической документации на продукцию.
3.2. Расстояние между зажимами разрывной машины устанавливают: 100 мм для полуфабрикатов, 180 мм для бумаги и картона.
Допускается использование расстояния 50 мм, если на это имеются соответствующие указания в нормативно-технической документации на продукцию.
3.3. При определении предела прочности при растяжении предварительно измеряют толщину каждого образца по длине в трех точках по ГОСТ 27015-86.
3.4. Скорость испытания подбирают так, чтобы разрыв образца наступил через (20 ± 5) с от начала нагружения.
3.4а. При определении индекса прочности при растяжении массу материала (бумаги, картона и отливок целлюлозы) площадью 1 м2 определяют соответственно по ГОСТ 13199-88, ГОСТ 14363.4-89.
(Измененная редакция, Изм. N 2).
4. Проведение испытания
4.1. Испытания проводят в кондиционных условиях по ГОСТ 13523-78 при температуре и относительной влажности воздуха, указанных в нормативно-технической документации на продукцию.
4.2. Образец закрепляют в зажимах разрывной машины, не касаясь его испытуемой части, с силой натяжения не более 0, 3 Н (0, 03 кгс) так, чтобы он не скользил во время испытания и чтобы прилагаемая сила имела направление, параллельное его краям.
4.3. Испытывают по 10 образцов полуфабрикатов и по 10 образцов бумаги и картона в машинном и поперечном направлениях или в одном из них в зависимости от указаний в нормативно-технической документации на продукцию.
4.4. Разрушающее усилие должно находиться в области 0, 1 и 0, 9 конечных значений шкалы, а для разрывных машин маятникового типа - в области 0, 2 и 0, 8 конечных значений шкалы.
4.5. Разрушающее усилие и удлинение отсчитывают с точностью до одного деления шкалы.
4.6. Результаты испытаний образцов, разорвавшихся у кромок зажимов, или сместившихся при испытании не учитывают. Повторно испытывают образцы, вырезанные из тех же листов пробы.
(Измененная редакция, Изм. N 1).
4.7. При определении разрывной длины необходимо после испытания разорвавшийся образец срезать у кромки зажимов. Срезанные остатки всех образцов взвешивают вместе с погрешностью не более 0, 001 г.
5. Обработка результатов
5.1. Разрушающее усилие определяют средним арифметическим значением результатов десяти измерений для полуфабрикатов, десяти измерений для бумаги и картона в машинном или поперечном направлениях, либо средним арифметическим для обоих направлений, либо другим значением в зависимости от того, как показатель нормируется в стандартах на продукцию.
Разрушающее усилие F в Н (кгс) выражают числом, округленным с точностью до
0, 1 Н (0, 01 кгс) при F до 50 Н (5 кгс),
1 Н (0, 1 кгс) " F св. 50 Н (5 кгс) до 500 Н (50 кгс),
5 Н (0, 5 кгс) " F св. 500 Н (50 кгс) до 1000 Н (100 кгс),
10 Н (1, 0 кгс) " F св. 1000 Н (100 кгс).
Относительная погрешность определения разрушающего усилия при растяжении не превышает ± 4 % при доверительной вероятности 0, 95.
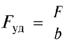
5.1а. Удельное сопротивление разрыву Fуд, кН/м (кгс/мм), вычисляют по формуле

,
где
F - разрушающее усилие, Н (кгс);
b - ширина образца, мм.
5.1б. Индекс прочности при растяжении IF, Н·м/г(кгс·м/г), вычисляют по формуле

,
где
Fуд - удельное сопротивление разрыву, кН/м (кгс/мм);
mа - масса материала площадью 1 м2, г.
Примечание. Числовое значение индекса прочности Н·м/г равно числовому значению разрывной длины в метрах, умноженному на коэффициент 9, 81·103.
5.1а, 5.1б. (Измененная редакция, Изм. N 2).
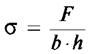
5.2. Предел прочности при растяжении σ, МПа (кгс/мм2), вычисляют по формуле

,
где F - разрушающее усилие по п. 5.1;
b - ширина образца, мм;
h - толщина образца, мм (среднее арифметическое результатов измерений толщины всех испытуемых образцов).
Результат округляют с точностью до 1, 0 МПа (0, 1 кгс/мм2).
Относительная погрешность определения предела прочности при растяжении не превышает ± 10 % при доверительной вероятности 0, 95.
(Измененная редакция, Изм. N 1).
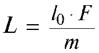
5.3. Разрывную длину L в метрах вычисляют по формуле m

,
где F - разрушающее усилие по п. 5.1;
l0 - номинальное расстояние между зажимами, мм;
m - масса образца, г (среднее арифметическое результатов измерения массы всех испытуемых образцов).
Результат округляют с точностью до 50 при L до 5000 м, до 100 при L св. 5000 м.
Примечание. Допускается показатель разрывной длины выражать в километрах.
Относительная погрешность определения разрывной длины не превышает ± 5 % при доверительной вероятности 0, 95.
(Измененная редакция, Изм. N 2).
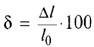
5.4. Относительное удлинение при растяжении δ в процентах вычисляют по формуле

,
где ∆l - среднее арифметическое значение удлинения всех испытуемых образцов, мм;
l0 - номинальное расстояние между зажимами по п. 5.3.
Результат округляют с точностью до 0, 1.
Относительная погрешность определения удлинения при растяжении не превышает ± 20, 0 % при доверительной вероятности 0, 95.
(Измененная редакция, Изм. N 1).