Зарегистрировано в Минюсте России 14 января 2019 г. N 53344
МИНИСТЕРСТВО ПРИРОДНЫХ РЕСУРСОВ И ЭКОЛОГИИ РОССИЙСКОЙ ФЕДЕРАЦИИ
ФЕДЕРАЛЬНАЯ СЛУЖБА ПО ГИДРОМЕТЕОРОЛОГИИ И МОНИТОРИНГУ ОКРУЖАЮЩЕЙ СРЕДЫ
ПРИКАЗ
от 31 октября 2018 г. N 460
ОБ УТВЕРЖДЕНИИ ПОРЯДКА ОПРЕДЕЛЕНИЯ ПЛОТНОСТИ РАДИОАКТИВНОГО ЗАГРЯЗНЕНИЯ ПОЧВ ТЕРРИТОРИЙ НАСЕЛЕННЫХ ПУНКТОВ ВСЛЕДСТВИЕ КАТАСТРОФЫ НА ЧЕРНОБЫЛЬСКОЙ АЭС
В соответствии со статьей 7 Закона Российской Федерации от 15 мая 1991 г. N 1244-1 "О социальной защите граждан, подвергшихся воздействию радиации вследствие катастрофы на Чернобыльской АЭС" (Ведомости Съезда народных депутатов РСФСР и Верховного Совета РСФСР, 1991, N 21, ст. 699; Ведомости Съезда народных депутатов Российской Федерации и Верховного Совета Российской Федерации, 1992, N 32, ст. 1861; Собрание законодательства Российской Федерации, 1995, N 48, ст. 4561; 1996, N 51, ст. 5680; 1997, N 47, ст. 5341; 1999, N 16, ст. 1937; N 28, ст. 3460; 2000, N 33, ст. 3348; 2001, N 7, ст. 610; N 33, ст. 3413; 2002, N 30, ст. 3033; N 50, ст. 4929; 2003, N 43, ст. 4108; 2004, N 18, ст. 1689; N 35, ст. 3607; 2006, N 6, ст. 637; N 30, ст. 3288; N 50, ст. 5285; 2007, N 45, ст. 5421; N 46, ст. 5554; 2008, N 9, ст. 817; N 29, ст. 3410; N 30, ст. 3616; N 52, ст. 6224, ст. 6236; 2009, N 18, ст. 2152; N 30, ст. 3739; 2011, N 23, ст. 3270; N 29, ст. 4297; N 47, ст. 6608; N 49, ст. 7024; 2012, N 26, ст. 3446; N 53, ст. 7654; 2013, N 19, ст. 2331; N 27, ст. 3443, ст. 3446, ст. 3477; N 51, ст. 6693; 2014, N 26, ст. 3406; N 30, ст. 4217; N 40, ст. 5322; N 52, ст. 7539; 2015, N 27, ст. 3967; N 48, ст. 6724; 2016, N 1, ст. 8; N 27, ст. 4238; N 52, ст. 7493, ст. 7510; 2017, N 1, ст. 50; N 45, ст. 6581; 2018, N 11, ст. 1582, ст. 1591; N 24, ст. 3411, N 31, ст. 4861) приказываю:
1. Утвердить Порядок определения плотности радиоактивного загрязнения почв территорий населенных пунктов вследствие катастрофы на Чернобыльской АЭС.
2. Контроль за исполнением настоящего приказа оставляю за собой.
Руководитель Росгидромета
М.Е.ЯКОВЕНКО
Утвержден
приказом Росгидромета
от 31.10.2018 N 460
ПОРЯДОК ОПРЕДЕЛЕНИЯ ПЛОТНОСТИ РАДИОАКТИВНОГО ЗАГРЯЗНЕНИЯ ПОЧВ ТЕРРИТОРИЙ НАСЕЛЕННЫХ ПУНКТОВ ВСЛЕДСТВИЕ КАТАСТРОФЫ НА ЧЕРНОБЫЛЬСКОЙ АЭС
I. Общие положения
1. Настоящий Порядок разработан в целях установления метода определения плотности радиоактивного загрязнения почв территорий населенных пунктов вследствие катастрофы на Чернобыльской АЭС.
2. Настоящий Порядок применяется для определения плотности радиоактивного загрязнения почв территорий населенных пунктов вследствие катастрофы на Чернобыльской АЭС цезием-137.
3. Настоящий Порядок устанавливает для населенных пунктов, расположенных на территориях, подвергшихся радиоактивному загрязнению вследствие катастрофы на Чернобыльской АЭС (далее - населенный пункт):
- состав и последовательность действий при осуществлении обследования радиоактивного загрязнения почв территории населенного пункта;
- состав и последовательность действий при осуществлении расчета плотности радиоактивного загрязнения почв территории населенного пункта;
- дополнительные меры по обеспечению достоверности данных, полученных при определении плотности радиоактивного загрязнения почв территории населенного пункта, и случаи их применения.
4. Работы по определению плотности радиоактивного загрязнения почв территорий населенных пунктов выполняются организациями, осуществляющими деятельность в области гидрометеорологии и в смежных с ней областях.
II. Состав и последовательность действий при осуществлении обследования радиоактивного загрязнения почв территории населенного пункта
5. Обследование радиоактивного загрязнения почв территории населенного пункта включает:
- комплекс мероприятий по определению мощности амбиентного эквивалента дозы гамма-излучения (далее - дозиметрическое обследование населенного пункта);
- отбор проб почвы на территории населенного пункта и его ареала;
- подготовку проб почвы к гамма-спектрометрическому анализу;
- измерение активности цезия-137 в пробах почвы методом гамма-спектрометрического анализа.
5.1. Дозиметрическое обследование населенного пункта проводится на пробных площадках.
5.1.1. Репрезентативная часть исследуемой территории населенного пункта, предназначенная для отбора проб почвы (далее - пробная площадка), выбирается на месте, где не проводилось работ, связанных с перемещением или досыпкой грунта за время, прошедшее после аварии на Чернобыльской АЭС. Пробная площадка не должна располагаться под водостоками.
5.1.2. Количество пробных площадок в населенном пункте должно быть не менее 10, и может быть увеличено в зависимости от размера населенного пункта и степени неоднородности загрязнения.
5.1.3. Реальный размер пробной площадки определяется на месте в виде квадрата или прямоугольника с размером сторон от 1 м до 3 м.
5.1.4. На каждой пробной площадке выбираются пять контрольных точек - областей или участков обследуемой территории населенного пункта, предназначенных для измерений контролируемых радиационных величин (непосредственно или через отбор проб почвы). Одна контрольная точка должна располагаться ближе к центру, а остальные четыре по углам пробной площадки.
5.1.5. В контрольных точках предварительно производится измерение мощности амбиентного эквивалента дозы (МАЭД), Зв/ч, мЗв/ч, мкЗв/ч - отношения приращения амбиентного эквивалента дозы dH*(d) за интервал времени dt к величине этого интервала МАЭД на двух высотах: на высоте от 2 см до 4 см и на высоте (1±0, 1) м от поверхности почвы.
5.1.6. Измерение МАЭД должно проводиться при отсутствии атмосферных осадков.
5.2. Проба почвы определенного объема, взятая однократно из почвенного горизонта (единичная проба почвы) отбирается в той контрольной точке, где результаты измерений МАЭД для заданных высот отличаются не более чем в 1, 5 раза и наиболее близки к среднему значению МАЭД по результатам пяти измерений.
5.2.1. Проба почвы отбирается на глубине не менее 30 см на участке, предварительно очищенном от растительности.
5.2.2. Пробоотборник забивают в почву, подкапывают лопатой, аккуратно подрезают по нижней кромке цилиндра. Затем пробу почвы извлекают из цилиндра.
5.2.3. Для каждой единичной пробы почвы заполняется сопроводительный талон, в котором указываются:
- наименование организации, проводившей отбор пробы почвы;
- наименование места отбора проб почв (название населенного пункта, включая код ОКТМО, его местонахождение (район, область));
- координаты точки отбора пробы почвы;
- дата отбора пробы почвы;
- глубина отбора пробы почвы;
- МАЭД на высоте 1 м;
- МАЭД на высоте 0, 04 м;
- состояние поверхности почвы;
- механический состав почвы;
- тип пробоотборника (диаметр основания, глубина пробоотбора).
5.3. Подготовка проб почвы к гамма-спектрометрическому анализу включает:
- удаление из пробы почвы крупных камней и корней, высушивание пробы почвы до воздушно-сухого состояния;
- гомогенизацию и взвешивание пробы почвы;
- приготовление счетного образца (далее - СОБ), - пробы почвы или части пробы почвы, подготовленной в установленном порядке и предназначенной для проведения измерения активности радионуклида, путем помещения части пробы почвы в измерительную кювету (форма контейнера Маринелли или форма цилиндра) стандартного объема (100, 250 или 500 см3) и взвешивание СОБ;
- маркировку СОБ, внесение в рабочий журнал шифра СОБ, номера единичной пробы почвы, информации о форме и объеме кюветы, массе СОБ (нетто), массе пробы.
5.4. Измерение активности цезия-137 в СОБ проводится методом гамма-спектрометрического анализа.
5.4.1. Результаты гамма-спектрометрических измерений регистрируются в журнале измерений и должны включать в себя следующую информацию:
- активность цезия-137 в СОБ Асоб, Бк;
- относительную расширенную неопределенность результата измерения для уровня доверия P = 0, 95, %, Ũ(0, 95);
- относительную стандартную статистическую неопределенность результата измерения Ũ1A, %.
5.4.2. Предельная допустимая погрешность гамма-спектрометрического анализа проб почвы должна быть не более 40%.
III. Состав и последовательность действий при осуществлении расчета плотности радиоактивного загрязнения почв территории населенного пункта
6. Для расчета средней плотности радиоактивного загрязнения почвы территории населенного пункта используются данные проведенных обследований радиоактивного загрязнения почв территорий населенных пунктов, а также информация Единого государственного фонда данных о состоянии окружающей среды, ее загрязнении (далее - ЕГФД) о содержании радиоактивных веществ в почве на территории населенных пунктов Российской Федерации, загрязненных в результате аварий на радиационно опасных объектах.
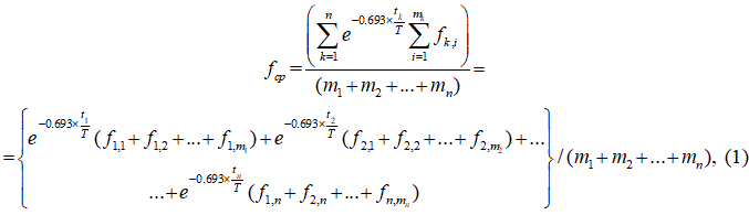
7. Если в населенном пункте не было дополнительных обследований радиоактивного загрязнения почвы в текущем году, то среднюю плотность загрязнения почвы цезием-137, fср, Ки/км2, рассчитывают по формуле (1):

где n - количество обследований радиоактивного загрязнения почвы территории населенного пункта до настоящего времени;
tk - период времени между k-м обследованием радиоактивного загрязнения почвы территории населенного пункта цезием-137 и настоящим временем, лет;
mk - количество проб почвы при k-м обследовании радиоактивного загрязнения почвы территории населенного пункта;
T - период полураспада цезия-137, лет;
fk, i - плотность загрязнения почвы цезием-137 в точке i при k-м обследовании радиоактивного загрязнения почвы территории населенного пункта, Ки/км2.
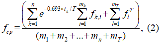
8. В случае, если в населенном пункте проводились обследования радиоактивного загрязнения почвы в текущем году, то среднюю плотность загрязнения почвы цезием-137 рассчитывают по формуле (2):

где:
flT - плотность загрязнения почвы территории населенного пункта цезием-137 в текущем году, Ки/км2;
mT - количество проб почвы, полученных в текущем году.
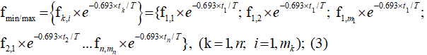
9. Расчет минимального и максимального значений плотности загрязнения почвы территории населенного пункта осуществляется путем выборки минимальных и максимальных значений плотности загрязнения из всей совокупности имеющихся данных, при этом:
- если на территории населенного пункта не было измерений плотности загрязнения почвы цезием-137 в текущем году, то максимальная и минимальная плотность загрязнения почвы цезием-137 выбирается из всех значений, имеющихся в ЕГФД по конкретному населенному пункту, и рассчитываются по формуле (3):

- если на территории населенного пункта были дополнительные измерения плотности радиоактивного загрязнения почвы в текущем году, то выборка происходит из всех значений ЕГФД в совокупности с данными текущих измерений плотности радиоактивного загрязнения почвы и максимальная и минимальная плотность загрязнения почвы цезием-137 рассчитываются по формуле (4):

IV. Дополнительные меры по обеспечению достоверности данных, полученных при определении плотности радиоактивного загрязнения почв территории населенного пункта, и случаи их применения
10. При обработке результатов определения плотности радиоактивного загрязнения почв территории населенного пункта должны применяться следующие дополнительные меры для обеспечения достоверности полученных данных:
- если в ходе гамма-спектрометрического анализа проб почвы получены сомнительные (экстремально высокие или низкие значения по сравнению с остальным массивом данных) результаты, пробы почвы должны быть повторно перемерены;
- если повторные измерения проб почвы подтверждаются, и значение плотности загрязнения почвы цезием-137 превышает среднее значение более чем в 10 раз, необходимо сравнить этот результат с данными о плотности загрязнения почвы цезием-137 на территории соседних (ближайших) населенных пунктов, содержащихся в ЕГФД. При этом, если на территории соседних (ближайших) населенных пунктов в соответствии с данными ЕГФД не были обнаружены значения плотности радиоактивного загрязнения почвы цезием - 137, равные или большие, чем анализируемая повышенная плотность радиоактивного загрязнения, то измеренные экстремально высокие значения плотности радиоактивного загрязнения не используются при расчете среднего значения плотности радиоактивного загрязнения почвы населенного пункта, а в журнале измерений делается пометка о локальной точке радиоактивного загрязнения;
- если повторные измерения подтверждаются, а измеренное значение плотности загрязнения цезием-137 составляет меньше 0, 5fmin, то полученное значение плотности загрязнения цезием-137 на территории населенного пункта также не учитывается при расчете среднего значения плотности радиоактивного загрязнения.