ГОСТ 11442-2020 ВЕНТИЛЯТОРЫ ОСЕВЫЕ ОБЩЕГО НАЗНАЧЕНИЯ. ОБЩИЕ ТЕХНИЧЕСКИЕ УСЛОВИЯ
Введен в действие приказом Федерального агентства по техническому регулированию и метрологии от 31 марта 2021 г. N 177-ст
Межгосударственный стандарт ГОСТ 11442-2020
"ВЕНТИЛЯТОРЫ ОСЕВЫЕ ОБЩЕГО НАЗНАЧЕНИЯ. ОБЩИЕ ТЕХНИЧЕСКИЕ УСЛОВИЯ"
General-purpose axial fans. General specifications
ОКС 23.120
Дата введения - 1 июня 2021 г.
Взамен ГОСТ 11442-90
Предисловие
Цели, основные принципы и общие правила проведения работ по межгосударственной стандартизации установлены ГОСТ 1.0 "Межгосударственная система стандартизации. Основные положения" и ГОСТ 1.2 "Межгосударственная система стандартизации. Стандарты межгосударственные, правила и рекомендации по межгосударственной стандартизации. Правила разработки, принятия, обновления и отмены"
Сведения о стандарте
1 Разработан Техническим комитетом по стандартизации ТК 061 "Вентиляция и кондиционирование" и Федеральным государственным унитарным предприятием "Российский научно-технический центр информации по стандартизации, метрологии и оценке соответствия" (ФГУП "СТАНДАРТИНФОРМ")
2 Внесен Федеральным агентством по техническому регулированию и метрологии
3 Принят Межгосударственным советом по стандартизации, метрологии и сертификации (протокол от 30 ноября 2020 г. N 135-П)
За принятие проголосовали:
|
Краткое наименование страны по МК (ИСО 3166) 004-97 |
Код страны по МК (ИСО 3166) 004-97 |
Сокращенное наименование национального органа по стандартизации |
|
Армения |
AM |
ЗАО "Национальный орган по стандартизации и метрологии" Республики Армения |
|
Беларусь |
BY |
Госстандарт Республики Беларусь |
|
Киргизия |
KG |
Кыргызстандарт |
|
Таджикистан |
TJ |
Таджикстандарт |
|
Россия |
RU |
Росстандарт |
|
Узбекистан |
UZ |
Узстандарт |
4 Приказом Федерального агентства по техническому регулированию и метрологии от 31 марта 2021 г. N 177-ст межгосударственный стандарт ГОСТ 11442-2020 введен в качестве национального стандарта Российской Федерации с 1 июня 2021 г.
5 Взамен ГОСТ 11442-90
Введение
Вентиляторы осевые (ВО) применяют в различных отраслях народного хозяйства уже более века. Данный тип вентиляторов - один из самых эффективных способов передачи энергии потоку газа. Ввиду того что, как правило, течение в ВО на расчетном режиме безотрывно, удалось построить теорию по проектированию вентиляторов данного типа (ЦАГИ, МГТУ им. Н.Э. Баумана и др.). Данные методы проектирования позволили успешно разрабатывать в СССР и Российской Федерации вентиляторы, имеющие характеристики на уровне мировых аналогов.
Необходимо отметить, что аэродинамические характеристики и эффективность работы ВО напрямую зависят от условий эксплуатации. По этой причине аэродинамические испытания вентиляторов данного типа следует производить в условиях, приближенных к эксплуатационным.
Настоящий стандарт описывает основные типы ВО, их конструктивные особенности и требования к характеристикам, а также методы контроля и приемки при изготовлении вентиляторов данного типа.
Настоящий стандарт распространяется на вентиляторы осевые (ВО) общего назначения, ориентированные на обычные среды с горизонтально и вертикально расположенной осью вращения и рабочими колесами диаметром от 100 до 2000 мм, создающие полное давление не выше 10 000 Па на одну ступень при плотности перемещаемой среды на входе 1,2 кг/м 3, имеющие окружные скорости концов лопаток не более 120 м/с, предназначенные для перемещения воздуха и других газовых смесей, агрессивность которых по отношению к углеродистым сталям стандартного качества не выше агрессивности воздуха и не содержащих липких веществ, волокнистых материалов с содержанием пыли и других твердых примесей не более 100 мг/м 3 для вентиляторов с расположением привода вне корпуса вентилятора и не более 10 мг/м 3 с расположением привода в потоке перемещаемой среды.
Вентиляторы осевые применяют в системах вентиляции и для производственных целей. Настоящий стандарт устанавливает обязательные требования 1).
──────────────────────────────
1) В Российской Федерации данные требования не являются обязательными.
──────────────────────────────
Требования настоящего стандарта не распространяются на вентиляторы:
а) специального исполнения (взрывозащищенные и коррозионно-стойкие);
б) встроенные в машины, например в кондиционеры.
В настоящем стандарте использованы нормативные ссылки на следующие межгосударственные стандарты:
ГОСТ 2.601 Единая система конструкторской документации. Эксплуатационные документы
ГОСТ 9.014 Единая система защиты от коррозии и старения. Временная противокоррозионная защита изделий. Общие требования
ГОСТ 9.032 Единая система защиты от коррозии и старения. Покрытия лакокрасочные. Группы, технические требования и обозначения
ГОСТ 9.402 Единая система защиты от коррозии и старения. Покрытия лакокрасочные. Подготовка металлических поверхностей к окрашиванию
ГОСТ 12.1.003 Система стандартов безопасности труда. Шум. Общие требования безопасности
ГОСТ 12.1.012 Система стандартов безопасности труда. Вибрационная безопасность. Общие требования
ГОСТ 12.2.007.0 Система стандартов безопасности труда. Изделия электротехнические. Общие требования безопасности
ГОСТ 12.3.019 Система стандартов безопасности труда. Испытания и измерения электрические. Общие требования безопасности
ГОСТ 12.4.026 Система стандартов безопасности труда. Цвета сигнальные, знаки безопасности и разметка сигнальная. Назначение и правила применения. Общие технические требования и характеристики. Методы испытаний
ГОСТ 2991 Ящики дощатые неразборные для грузов массой до 500 кг. Общие технические условия
ГОСТ 10198 Ящики деревянные для грузов массой св. 200 до 20000 кг. Общие технические условия
ГОСТ 10616 Вентиляторы радиальные и осевые. Размеры и параметры
ГОСТ 10921 Вентиляторы радиальные и осевые. Методы аэродинамических испытаний
ГОСТ 12971 Таблички прямоугольные для машин и приборов. Размеры
ГОСТ 14192 Маркировка грузов
ГОСТ 15150 Машины, приборы и другие технические изделия. Исполнения для различных климатических районов. Категории, условия эксплуатации, хранения и транспортирования в части воздействия климатических факторов внешней среды
ГОСТ 15846 Продукция, отправляемая в районы Крайнего Севера и приравненные к ним местности. Упаковка, маркировка, транспортирование и хранение
ГОСТ 25346 (ISO 286-1:2010) Основные нормы взаимозаменяемости. Характеристики изделий геометрические. Система допусков на линейные размеры. Основные положения, допуски, отклонения и посадки
ГОСТ 31350 (ИСО 14694:2003) Вибрация. Вентиляторы промышленные. Требования к производимой вибрации и качеству балансировки
ГОСТ 31351 (ИСО 14695:2003) Вибрация. Вентиляторы промышленные. Измерения вибрации
ГОСТ 31353.3 (ИСО 13347-1:2004) Шум машин. Вентиляторы промышленные. Определение уровней звуковой мощности в лабораторных условиях. Часть 3. Метод охватывающей поверхности
ГОСТ 31961 Вентиляторы промышленные. Показатели энергоэффективности
ГОСТ 34002 (ISO 13349:2010) Вентиляторы. Термины и классификация
Примечание - При пользовании настоящим стандартом целесообразно проверить действие ссылочных стандартов на официальном интернет-сайте Межгосударственного совета по стандартизации метрологии и сертификации (www.easc.by) или по указателям национальных стандартов, издаваемым в государствах, указанных в предисловии, или на официальных сайтах соответствующих национальных органов по стандартизации. Если на ссылочный документ дана недатированная ссылка, то следует использовать документ, действующий на текущий момент, с учетом всех внесенных в него изменений. Если заменен ссылочный документ, на который дана датированная ссылка, то следует использовать указанную версию этого документа. Если после принятия настоящего стандарта в ссылочный документ, на который дана датированная ссылка, внесено изменение, затрагивающее положение, на которое дана ссылка, то это положение применяется без учета данного изменения. Если ссылочный документ отменен без замены, то положение, в котором дана ссылка на него применяется в части, не затрагивающей эту ссылку.
В настоящем стандарте применены термины и определения по ГОСТ 34002 и следующие термины с соответствующими определениями:
3.1 Общие положения
3.1.1 Лопаточные венцы
3.1.1.1 входной направляющий аппарат; ВНА: Неподвижный лопаточный венец на входе в рабочее колесо ступени осевого вентилятора, создающий или изменяющий закрутку потока перед рабочим колесом.
Примечание - Здесь и далее по тексту ступенью именуется одноступенчатый вентилятор по ГОСТ 34002.
3.1.1.2 рабочее колесо К: Вращающийся лопаточный венец, передающий энергию потоку.
Примечание - Одна ступень осевого вентилятора обычно обеспечивает коэффициенты производительности в диапазоне 0,1-0,5 и коэффициенты давления до 1,2.
3.1.1.3 спрямляющий аппарат; СА: Неподвижный лопаточный венец на выходе из рабочего колеса ступени осевого вентилятора, преобразующий кинетическую энергию скорости закручивания за рабочим колесом в статическое давление.
3.1.2 Схемы вентиляторов
3.1.2.1 схема К: Вентилятор, состоящий из рабочего колеса без входного направляющего аппарата и спрямляющего аппарата (см. рисунок 1а).
3.1.2.2 схема К+СА: Вентилятор без входного направляющего аппарата, состоящий из рабочего колеса и спрямляющего аппарата (см. рисунок 1б).
3.1.2.3 схема ВНА+К: Вентилятор, состоящий из входного направляющего аппарата и рабочего колеса без спрямляющего аппарата (см. рисунок 1в).
3.1.2.4 схема ВНА+К+СА: Рабочее колесо с ВНА и СА - полная схема (см. рисунок 1г).
3.1.2.5 вентилятор встречного вращения: Вентилятор, имеющий два рабочих колеса, вращающихся в противоположных направлениях (см. рисунок 1и).
Примечание - Вентиляторы встречного вращения также могут быть оснащены спрямляющим аппаратом и/или входным направляющим аппаратом.
3.1.2.6 вентилятор с меридиональным ускорением потока: Осевой вентилятор, диаметр втулки которого на выходе больше, чем на входе (см. рисунок 1д).
3.1.2.7 реверсивный вентилятор: Вентилятор, конструкция которого позволяет при необходимости направлять поток газа от всасывающего фланца к нагнетательному фланцу и обратно.

К - рабочее колесо; СА - спрямляющий аппарат; ВНА - входной направляющий аппарат; НА - направляющий аппарат
Рисунок 1 - Схемы осевых вентиляторов
3.1.2.8
|
вентилятор левого вращения: Вентилятор, рабочее колесо которого вращается против часовой стрелки (вид со стороны всасывания). [ГОСТ 22270-2018, статья 2.10.16] |
3.1.2.9
|
вентилятор правого вращения (clock wise fan): Вентилятор, рабочее колесо которого вращается по часовой стрелке (вид со стороны всасывания). [ГОСТ 22270-2018, статья 2.10.25] |
3.1.3 Геометрические параметры
3.1.3.1 диаметр рабочего колеса вентилятора D: Максимальное значение диаметра рабочего колеса по внешним кромкам лопаток (как правило, другие размеры определяют в долях от данного диаметра).
Примечание - Предпочтительные значения диаметров D приведены в ГОСТ 10616.
3.1.3.2 внешний радиус рабочего колеса вентилятора R: Максимальное значение радиуса рабочего колеса от оси вращения до внешней кромки лопаток.
3.1.3.3 привод: Устройство, используемое для приведения в действие вентилятора, включающее в себя двигатель, механическую передачу и систему управления (см. рисунок 2).
Примечания
1 Примерами механической передачи являются ременный привод, соединительные муфты.
2 Примерами системы управления являются частотный преобразователь, электронный коммутатор.

Рисунок 2 - Пример вентилятора с приводом
3.1.3.4 диаметр втулки рабочего колеса d: Диаметр центрального, осесимметричного тела рабочего колеса, на котором закреплены лопатки рабочего колеса (см. рисунок 3).
Примечание - Если центральное тело представляет собой диск некруглой формы, крестовину и т.п., то диаметр втулки определяют по расстоянию до последнего спрофилированного сечения лопатки рабочего колеса, ближайшего к оси вращения.

Рисунок 3 - Одноступенчатый осевой вентилятор
3.1.3.5 средний радиус R cp: Средний радиус лопатки, определяющий окружность, которая делит пополам площадь поперечного сечения проточной части вентилятора в плоскости вращения рабочего колеса.
3.1.3.6 установочный радиус лопатки r уст: Радиус, для которого указан угол установки лопатки.
Примечание - Установочный радиус лопатки может совпадать со средним радиусом лопатки.
3.1.3.7 относительный установочный радиус лопатки: Отношение установочного радиуса r уст к внешнему радиусу рабочего колеса (см. рисунок 3).
3.1.3.8 относительный диаметр втулки рабочего колеса γ: Отношение диаметра втулки рабочего колеса d к диаметру рабочего колеса D.
3.1.3.9 угол установки лопатки θ: Угол между плоскостью вращения и касательной к нижней поверхности лопатки в сечении лопатки, перпендикулярном радиальной линии, проведенной через ось вращения и точку, лежащую на оси совмещения профилей на установочном радиусе (см. рисунок 4).

Рисунок 4 - Профиль лопатки рабочего колеса на установочном (среднем) радиусе
Примечание - Угол установки лопатки рабочего колеса θк, входного направляющего аппарата θвна, спрямляющего аппарата θса указывают на среднем радиусе.
3.1.3.10 хорда лопатки b: Расстояние между крайними передней и задней кромками профиля в сечении лопатки, перпендикулярном радиальной линии, проведенной через ось вращения и точку, лежащую на оси совмещения профилей (см. рисунок 4).
3.2 Определения, относящиеся к расчетам
3.2.1 атмосферное давление Р а: Давление, измеренное относительно абсолютного нуля в системе покоя относительно окружающего воздуха.
3.2.2 число Маха М: Отношение скорости движения газа в данной точке газового потока к местной скорости распространения звука.
3.2.3 средняя плотность на выходе/входе в вентилятор ρ: Плотность газообразной среды, рассчитываемая по параметрам изоэнтропически заторможенного потока на выходе/входе: по абсолютному давлению на выходе/входе в вентилятор и по температуре после/перед вентилятором (в градусах Кельвина).
3.2.4 массовый расход q m: Осредненная по времени величина массы воздуха, проходящего в единицу времени через вентилятор в указанном поперечном сечении воздушного тракта.
3.2.5 объемный расход Q v: Отношение массового расхода q m на входе в вентилятор к соответствующей средней по времени плотности на входе ρ.
3.2.6 полное давление вентилятора p v: Разница между давлениями изоэнтропически заторможенного потока на выходе из вентилятора и на входе в него.
Примечание - Полное давление вентилятора определяют как сумму статического и динамического давления, рассчитываемого исходя из массового расхода q m, средней плотности газа на выходе и площади выхода.
3.2.7 динамическое давление на выходе из вентилятора p dv: Динамическое давление по осевой компоненте скорости на выходе из вентилятора, рассчитываемое исходя из массового расхода q m, средней плотности газа на выходе и площади выхода F 2 по формуле
,
(1)
где k - показатель адиабаты перемещаемой среды.
3.2.8 статическое давление вентилятора p sv: Разность между полным давлением вентилятора p v и динамическим давлением на выходе из вентилятора p dv.
3.2.9 частота вращения рабочего колеса n: Число оборотов рабочего колеса за минуту.
3.2.10 окружная скорость рабочего колеса u: Окружная скорость движения внешних кромок лопаток рабочего колеса вентилятора, рассчитываемая по формуле
.
(2)
3.2.11 число Рейнольдса Re; Безразмерное число, характеризующее отношение силы инерции к силе вязкости потока, рассчитываемое по формуле
Re = w1b/γk,
(3)
где b - хорда лопатки рабочего колеса на среднем радиусе, м;
w1 - скорость входа потока в лопаточный венец в относительном движении на среднем радиусе, м/с;
γk - кинематический коэффициент вязкости среды, м 2/с.
3.2.12 площадь рабочего колеса F к: Характерная площадь рабочего колеса вентилятора, рассчитываемая по формуле
.
(4)
3.2.13 площадь выхода из вентилятора F 2: Площадь проходного сечения на выходе из вентилятора, рассчитываемая по внутренней площади выходного фланца.
Примечание - Для вентиляторов без выходного фланца, имеющих втулку в выходном сечении, с компоновкой, соответствующей рисунку 1, площадь выхода из вентилятора F 2 рассчитывают по формуле
F2 = Fк·(1-v2).
(5)
3.2.14 коэффициент полного давления вентилятора ψ: Безразмерный коэффициент, характеризующий полное давление вентилятора, рассчитывают по формуле
.
(6)
3.2.15 коэффициент производительности вентилятора φ: Безразмерный коэффициент, характеризующий расход воздуха через вентилятор, рассчитываемый по формуле
.
(7)
3.2.16 подведенная мощность N e: Входная электрическая мощность, подведенная к электродвигателю.
3.2.17 мощность на валу вентилятора N: Механическая мощность, подведенная к рабочему колесу вентилятора.
3.2.18 полезная мощность вентилятора по полному давлению N v: Мощность, передаваемая вентилятором перемещаемой среде, равная произведению входного объемного расхода Q v и полного давления вентилятора p v.
3.2.19 полезная мощность вентилятора по статическому давлению N sv: Произведение объемного расхода Q v и статического давления вентилятора p sv.
3.3 Определения, относящиеся к эффективности вентилятора
3.3.1 полный КПД вентиляторной установки ηe: Отношение полезной мощности вентиляторной установки по полному давлению N v к подведенной к электродвигателю мощности N e.
3.3.2 полный КПД вентилятора ην: Отношение полезной мощности вентилятора по полному давлению N v к механической мощности, подведенной к валу рабочего колеса вентилятора N.
3.3.3 статический КПД вентилятора ηsν: Отношение полезной мощности по статическому давлению вентилятора N sv к механической мощности, подведенной к валу рабочего колеса вентилятора N.
Примечание - КПД может выражаться в долях единицы. Для перевода в проценты необходимо умножить КПД в долях единицы на 100.
3.3.4 максимальный КПД ηмакс: Максимальное значение КПД вентилятора при изменении сопротивления сети при всех неизменных параметрах (частота вращения, плотность газа и т.д.).
В настоящем стандарте использованы следующие обозначения:
D - диаметр рабочего колеса вентилятора, м;
d - диаметр втулки рабочего колеса, м;
γ - относительный диаметр втулки рабочего колеса;
θ - угол установки лопаток, град;
b - хорда лопатки, м;
R - внешний радиус рабочего колеса вентилятора, м;
R cp - средний радиус, м;
r уст - установочный радиус лопатки, м;
М - число Маха;
ρ - средняя плотность перемещаемой среды на выходе/входе в вентилятор, кг/м 3;
N e - мощность подведенная к электродвигателю, Вт;
N - мощность на валу вентилятора, Вт;
N v - полезная мощность вентилятора по полному давлению, Вт;
N sv - полезная мощность вентилятора по статическому давлению, Вт;
n - частота вращения рабочего колеса, мин -1;
u - окружная скорость рабочего колеса, м/с;
F к - площадь рабочего колеса, м 2;
F 2 - площадь выхода из вентилятора, м 2;
ψ - коэффициент полного давления вентилятора;
φ - коэффициент производительности вентилятора;
Р а - атмосферное давление, Па;
p dv - динамическое давление на выходе из вентилятора, Па;
p v - полное давление вентилятора, Па;
p sv - статическое давление вентилятора, Па;
q m - массовый расход, кг/с;
Q v - входной объемный расход, м 3/с;
ην - полный КПД вентилятора, в долях единицы;
ηsν - статический КПД вентилятора, в долях единицы;
ηмакс - максимальный КПД, в долях единицы;
ηe - полный КПД вентиляторной установки, в долях единицы;
L w - суммарный уровень звуковой мощности, дБ;
f - частота шума вентилятора, Гц.
5.1 Общие положения
5.1.1 Вентиляторы следует изготавливать в соответствии с требованиями настоящего стандарта, ГОСТ 10616 и технической документации на вентиляторы конкретного типа.
5.1.2 Аэродинамические характеристики вентиляторов должны быть получены в соответствии с ГОСТ 10921.
Испытания следует проводить на аттестованном согласно государственной системе обеспечения единства измерений стенде согласно условиям дальнейшей эксплуатации вентилятора (см. рисунок 5).

Рисунок 5 - Эксплуатационные схемы вентиляторов
Если не известно, в каких условиях в дальнейшем будет использован данный вентилятор, на аэродинамической характеристике должно быть указано, на стенде какого типа она получена.
Примечания
1 Рабочим участком аэродинамической характеристики вентилятора осевого считают участок, на котором КПД не более чем на 10 % ниже максимального значения для данного вентилятора.
2 Участок аэродинамической характеристики, лежащий левее разрыва (если разрыв характеристики присутствует), не может рассматриваться в качестве рабочего участка.
5.2 Размеры и исполнения
5.2.1 Номера вентиляторов ВО и номинальные диаметры рабочих колес D должны соответствовать ГОСТ 10616.
5.2.2 Относительный диаметр втулки рабочего колеса ВО (см. рисунок 3), как правило, составляет от 0,25 до 0,8. Вентиляторы также могут иметь упрощенную втулку без цилиндрической обечайки.
5.2.3 Компоновка вентиляторов должна соответствовать схемам, приведенным на рисунке 1. Электродвигатель предпочтительно размещать в габаритах втулки вентилятора.
5.2.4 В случае условий эксплуатации со свободным входом ВО должен быть изготовлен со входным коллектором и испытан на стендах типа А или В.
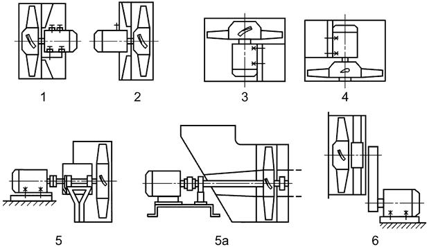
5.2.5 Конструктивные исполнения ВО и их обозначения должны соответствовать указанным на рисунке 6:
- исполнение 1 - рабочее колесо стоит перед электродвигателем, ось вращения - горизонтальная;
- исполнение 2 - рабочее колесо стоит после электродвигателя, ось вращения - горизонтальная;
- исполнение 3 - рабочее колесо стоит перед электродвигателем, ось вращения - вертикальная;
- исполнение 4 - рабочее колесо стоит после электродвигателя, ось вращения - вертикальная;
- исполнения 5 и 5а - электродвигатель вынесен наружу корпуса ВО и соединен с рабочим колесом через муфту;
- исполнение 6 - электродвигатель вынесен наружу корпуса ВО и соединен с рабочим колесом при помощи ременной передачи.

Рисунок 6 - Различные конструктивные исполнения вентиляторов осевых
5.2.6 Температура перемещаемой вентиляторами среды в зависимости от конструктивных исполнений вентиляторов не должна превышать:
50 °С - для исполнений 1, 2, 3, 4, 5;
60 °С - для исполнения 6;
100 °С - для исполнений 5а.
Примечание - Температура перемещаемой вентиляторами среды может быть выше при условии применения соответствующих материалов и/или мер по защите от повышенной температуры.
5.2.7 Лопаточные венцы вентиляторов могут быть выполнены с неповоротными лопатками, а также с лопатками, поворачиваемыми на ходу или на остановленном вентиляторе.
5.2.8 Радиальный зазор между лопатками рабочего колеса и корпусом следует выполнять минимально возможным и не более 1,5 % от длины лопатки.
5.2.9 Вентиляторы одной серии, выполненные по одной аэродинамической схеме, должны иметь одинаковое наименование, присваиваемое организацией-разработчиком.
Наименование может содержать:
- аббревиатуру, определяющую краткое описание вентилятора;
- информацию о параметрах вентилятора на номинальном режиме;
- торговую марку (товарный знак).
5.2.10 Обозначение типа ВО должно содержать:
- наименование;
- букву "В" - вентилятор;
- букву "О" - осевой;
- стократный коэффициент полного давления ψ на режиме максимального полного КПД, округленный до целого числа;
- быстроходность n у на режиме максимального КПД, округленная до целого числа.
Обозначение типоразмера вентилятора состоит:
- из номера вентилятора по ГОСТ 10616;
- количества полюсов электродвигателя;
- угла установки лопаток рабочего колеса θ.
5.2.11 Примеры условных обозначений:
Вентилятор осевой с коэффициентом полного давления 0,12 и быстроходностью, равной 300 по ГОСТ 11442-2020:
ВО-12-300 - ГОСТ 11442-2020
Вентилятор осевой, имеющий диаметр колеса 315 мм, синхронную частоту вращения электродвигателя 1500 об/мин и угол установки лопаток рабочего колеса на среднем радиусе 25 градусов по ГОСТ 11442-2020:
ВО-12-300-3,15-4-25 - ГОСТ 11442-2020
Обозначения вентиляторов устанавливают в технической документации на изделия конкретного типа.
5.3 Технические требования
5.3.1 ВО должны быть отбалансированы по классу точности не ниже BV-3 по ГОСТ 31350. Допускаемые средние квадратические значения виброскорости вентиляторов на месте эксплуатации не должны превышать 6,3 мм/с.
5.3.2 Конструкция рабочего колеса вентилятора должна обеспечивать его прочность при окружной скорости, превышающей на 15 % номинальную частоту вращения рабочего колеса.
5.3.3 Требования к надежности, критерии отказов и критерии предельных состояний должны быть установлены в технической документации на вентиляторы конкретного типа.
5.3.4 Допускаемые отклонения линейных размеров проточной части вентиляторов должны быть в пределах полей допусков не ниже 14-го квалитета или класса точности "средний" по ГОСТ 25346.
5.3.5 Вентиляторы должны иметь защитные покрытия, соответствующие условиям эксплуатации.
Подготовка поверхности перед нанесением лакокрасочного покрытия - по ГОСТ 9.402.
Покрытию не подлежат посадочные поверхности, таблички, а также покупные изделия, имеющие окраску.
5.3.6 Значение радиального биения рабочих колес вентиляторов, измеренное на внешних кромках лопаток, должны быть в пределах полей допусков 14-го квалитета по ГОСТ 25346.
5.3.7 Значение осевого биения рабочего колеса вентилятора, измеренное на внешнем диаметре втулки рабочего колеса, должно быть не более удвоенной величины радиального биения.
5.3.8 Система допусков на размеры элементов проточной части вентилятора должна исключать возможность появления уступов, направленных против потока.
5.3.9 Отклонение действительной аэродинамической характеристики от паспортной в пределах рабочего участка:
- по значению полного давления - не более ± 5 %;
- значению статического давления - не более ± 7 %;
- снижению максимального полного КПД - не более (
- 0,22·ηмакс + 0,13), где ηмакс принимают по паспортной характеристике;
- снижению максимального статического КПД - не более 0,06(1 - ηsмакс), где ηsмакс принимают по паспортной характеристике.
5.3.10 Для ВО в зависимости от схемы исполнения максимальные значения полного КПД (без учета потерь во всасывающих элементах и диффузорах) должны быть не ниже значений, указанных в таблице 1 и приведенных на рисунке 7.
|
Схема вентилятора |
К |
К + СА, ВНА + К |
ВНА + К + СА |
|
Нормы по ην |
2,04·ψ2 - 1,09·ψ + 0,87, для ψ < 0,27; 0,72, для ψ ≥ 0,27 |
0,17·ψ2 - 0,32·ψ + 0,88, для ψ < 0,94; 0,73 для ψ ≥ 0,94 |
0,13·ψ2 - 0,22·ψ + 0,894, для ψ < 0,85; 0,8 для ψ ≥ 0,85 |
|
Примечания 1 Для расчета используют коэффициент давления при максимальном значении полного КПД. 2 Для реверсивных вентиляторов нормы по полному КПД могут быть снижены на 10 %. 3 При испытании на испытательных установках типов В и D нормы по полному КПД могут быть снижены на 5 %. 4 Нормы приведены для вентиляторов с диаметром рабочих колес более 500 мм. При меньших диаметрах необходимо делать поправку, рассчитанную по формуле ην = ην·((0,001519·D)5 - (0,002286·D)4 + (0,003315·D)3 - (0,004929·D)2 + 0,0083·D – 0,2049) (формула получена по данным ГОСТ 31961). | |||

- РК + СА(ВНА + РК);
- ВНА + РК + СА;
- РК
Рисунок 7 - Значения норм полного КПД для различных схем ВО
5.4 Требования к материалам и комплектующим изделиям
5.4.1 Листовой и профильный прокаты для деталей вентиляторов должны соответствовать требованиям, установленным в национальных стандартах.
5.4.2 Трещины на деталях не допускаются. Допускается подварка с последующей зачисткой шва на деталях, не подверженных динамическим нагрузкам, при условии обеспечения прочности.
5.4.3 Допускаемые отклонения размеров отливок должны соответствовать требованиям технической документации и не влиять на характеристики вентилятора. В случае изменения технологии литья вентилятор должен пройти квалификационные испытания.
5.4.4 Применяемые в производстве лакокрасочные материалы, растворители, разбавители, сиккативы, а также вспомогательные материалы должны соответствовать требованиям, установленным на них национальными стандартами и техническими условиями.
Запрещается применять лакокрасочные материалы без аналитических паспортов, а также по истечении срока хранения.
5.4.5 Запасные части вентиляторов должны быть окрашены в основной цвет изделия.
Допускается по согласованию с потребителем запасные части изготавливать в загрунтованном виде.
5.4.6 Электродвигатели, подшипники, виброизоляторы и ремни должны соответствовать требованиям технической документации на изделия конкретного типа.
5.4.7 Конструкция и защитные покрытия вентиляторов должны быть выполнены с учетом требований технической эстетики.
5.5 Комплектность
5.5.1 Вентиляторы комплектуют в соответствии с технической документацией.
5.5.2 По заказу потребителя вентиляторы комплектуют виброизоляторами и/или гибкими вставками.
5.5.3 К вентиляторам должна быть приложена эксплуатационная документация по ГОСТ 2.601, номенклатура которой должна быть указана в технической документации на конкретные вентиляторы.
5.6 Маркировка
5.6.1 На видном месте корпуса каждого вентилятора должна быть прикреплена табличка по ГОСТ 12971, содержащая:
- наименование предприятия-изготовителя и (или) товарный знак;
- обозначение вентилятора;
- частоту вращения рабочего колеса, об/мин;
- номинальный расход воздуха, м 3/ч;
- полное давление при номинальном расходе воздуха, Па;
- установочную мощность вентилятора, кВт;
- массу, кг;
- год выпуска;
- заводской номер;
- обозначение технических условий на вентилятор.
5.6.2 На корпусе вентилятора должно быть указано стрелкой направление вращения рабочего колеса и направление потока воздуха. На рабочее колесо стрелку наносят в тех случаях, когда оно транспортируется отдельно или вентилятор транспортируют в разобранном виде.
5.6.3 Изображение места нанесения и способ выполнения транспортной маркировки - по ГОСТ 14192.
5.7 Упаковка
5.7.1 Вентиляторы транспортируют в упаковке или без упаковки в зависимости от способа транспортирования и района поставки.
5.7.2 При транспортировании железнодорожным и автомобильным транспортом вентиляторы должны быть упакованы в тару, обеспечивающую их сохранность.
5.7.3 При транспортировании воздушным, водным или смешанным железнодорожно-водным транспортом вентиляторы должны быть упакованы в ящики, изготовленные по ГОСТ 2991 или ГОСТ 10198.
5.7.4 Для районов Крайнего Севера и труднодоступных районов упаковка должна соответствовать ГОСТ 15846.
5.7.5 Узлы вентиляторов, не требующие защиты от механических повреждений и атмосферных воздействий, транспортируют без упаковки.
5.7.6 Узлы вентиляторов, требующие защиты от атмосферных воздействий, упаковывают по ГОСТ 15846.
5.7.7 Все механически обработанные и неокрашенные поверхности вентилятора должны быть покрыты антикоррозионным составом, обеспечивающим хранение и транспортирование изделий в соответствии с ГОСТ 9.014.
5.7.8 Сопроводительная документация должна быть помещена во влагонепроницаемую упаковку.
6.1 Рабочие колеса вентиляторов или наружные поверхности фланцев, сопрягаемые с воздуховодами, шкивы, муфты и защитные ограждения подлежат окраске в сигнальный цвет по ГОСТ 12.4.026.
6.2 При использовании вентиляторов со свободным входом/выходом должна быть установлена защитная сетка на входе/выходе.
6.3 В паспорте на вентилятор должно быть указано содержание цветных металлов в различных узлах.
6.4 В паспорте на вентилятор должно быть указано, какие из элементов вентилятора подлежат вторичной переработке.
7.1 Для проверки соответствия вентиляторов требованиям настоящего стандарта и технической документации на конкретный вентилятор проводят приемочный контроль и периодические испытания.
Объем контроля и испытаний установлен в таблице 2.
Перечисленные в таблице 2 испытания проводят на специально оборудованных аттестованных в соответствии с государственной системой обеспечения единства измерений стендах, укомплектованных средствами измерения с действующими свидетельствами о поверке.
Предварительные испытания вентиляторов проводят с целью определения возможности их предъявления на приемочные испытания.
Приемочные испытания вентиляторов проводят с целью определения целесообразности их постановки на производство и/или использования по назначению.
Квалификационные испытания вентиляторов проводят с целью оценки готовности предприятия к выпуску вентиляторов данного типа в заданных объемах.
Приемо-сдаточные или предъявительские испытания вентиляторов проводят при приемочном контроле и контроле качества.
Периодические испытания вентиляторов проводят с целью контроля стабильности качества продукции и возможности продолжения ее выпуска в сроки, установленные технической документацией.
7.1.1 Выпускаемые вентиляторы подвергают сплошному контролю по графам 2-4, 10-12 таблицы 2, производят запуск каждого вентилятора, после чего предъявляют на приемо-сдаточные испытания.
|
Наименование показателей |
Категории испытаний |
Методы контроля по настоящему стандарту |
Пределы (допуски) | |||
|
Предварительные |
Приемочные |
Квалификационные, периодические |
Приемо-сдаточные, предъявительские | |||
|
1 Габаритные, присоединительные и установочные размеры |
+ |
+ |
+ |
+ |
8.1 |
5.2.1, 5.2.2, 5.3.4, техническая документация |
|
2 Радиальные зазоры между лопатками рабочего колеса и корпусом |
+ |
+ |
+ |
+ |
8.1 |
5.2.8 |
|
3 Биение рабочего колеса (проверять до сборки) |
+ |
- |
- |
- |
8.2 |
5.3.6, 5.3.7 |
|
4 Прочностные испытания |
+ |
- |
+ |
+ |
8.3 |
5.3.2 |
|
5 Масса |
- |
- |
+ |
+ |
8.4 |
Согласно технической документации |
|
6 Аэродинамические параметры номинального режима 1) |
- |
+ |
- |
+ |
8.5 |
5.1.2, 5.3.9, 5.3.10 |
|
7 Полная аэродинамическая характеристика |
- |
- |
+ |
- |
8.5 |
5.1.2, 5.3.10 |
|
8 Акустическая характеристика |
- |
- |
+ |
+ |
8.6 |
Согласно технической документации |
|
9 Сопротивление заземления |
- |
+ |
+ |
+ |
8.9 |
10.7 |
|
10 Лакокрасочные покрытия |
5.3.5, 5.4.4, 6.1 | |||||
|
а) толщина покрытия |
- |
- |
+ |
+ |
8.10 | |
|
б) качество покрытия |
+ |
+ |
+ |
+ |
8.10 | |
|
11 Комплектность, упаковка и маркировка |
+ |
+ |
+ |
+ |
8.11 |
Согласно технической документации |
|
12 Вибрационные характеристики |
- |
+ |
+ |
+ |
8.7 |
5.3.1, 10.8 |
|
13 Показатели надежности |
- |
- |
Согласно технической документации |
Согласно технической документации |
8.8 |
Согласно технической документации |
|
1) Допускается определение параметров на режиме, близком к номинальному, в области расходов, отличающихся на ± 10 % от номинального. | ||||||
7.1.2 Приемо-сдаточные испытания осуществляют по количественному признаку в соответствии с установленной на предприятии системой менеджмента качества. Планы контроля для конкретных типоразмеров должны быть указаны в технической документации.
За партию принимают вентиляторы одного типоразмера и модификации по диаметру рабочего колеса, укомплектованные двигателями одного типоразмера.
7.2 В процессе приемо-сдаточных испытаний запрещают производить доработку и разбраковку продукции.
7.3 Партию вентиляторов, не выдержавшую приемо-сдаточных испытаний, после разбраковки и установки дефектов повторно направляют на приемку по пунктам несоответствия. Результаты повторных приемо-сдаточных испытаний считают окончательными и распространяются на всю партию.
7.4 На периодические испытания предъявляют продукцию, прошедшую приемочный контроль.
7.5 Периодическим испытаниям подвергают не менее двух образцов вентиляторов разных типоразмеров.
Показатели по графам 1, 2, 5-12 таблицы 2 проверяют не реже одного раза в год, по 13 не реже одного раза в три года, а также при модернизации и изменении конструкции вентиляторов.
7.6 Вентиляторы, выпуск которых изготовителем возобновлен после перерыва, продолжительность которого превысила срок проведения периодических испытаний, подвергают периодическим испытаниям перед началом серийного выпуска.
7.7 Результаты периодических испытаний должны быть оформлены протоколом.
8.1 Габаритные, присоединительные и установочные размеры вентиляторов, радиальные зазоры между лопатками рабочего колеса на соответствие технической документации проверяют при помощи мерительных инструментов, обеспечивающих требуемую точность.
8.2 Радиальное и осевое биения рабочего колеса проверяют на стенде при помощи средств измерения, обеспечивающих заданную точность. Биения должны соответствовать значениям, указанным в технической документации.
Биения могут быть проверены на стадии изготовления рабочего колеса.
8.3 Рабочее колесо каждого выпускаемого вентилятора должно быть подвергнуто изготовителем прочностным испытаниям путем не менее двух кратковременных (не менее 30 с) разгонов при увеличении частоты вращения до значения, превышающего на 15 % номинальное. Контроль проводят посредством внешнего осмотра рабочего колеса на наличие деформаций, трещин или других дефектов.
8.4 Массу вентиляторов до 8-го номера включительно проверяют взвешиванием в сборе, выше номера 8 - допускается взвешиванием узлов оборудования, наименование которых приводят в технической документации на конкретный вентилятор.
8.5 Аэродинамические параметры номинального режима и полную аэродинамическую характеристику вентиляторов проверяют в соответствии с ГОСТ 10921.
При условии геометрического подобия и автомодельных чисел Рейнольдса не менее [(0,25-0,3)·106] допускается производить аэродинамические испытания с использованием модели, образцов с меньшими номерами и при пониженных оборотах.
8.6 Акустические характеристики вентиляторов проверяют специальным оборудованием в соответствии с методикой, изложенной в ГОСТ 31353.3. При испытаниях определяют уровни звуковой мощности в октавных полосах на входе, выходе и вокруг корпуса вентилятора в зависимости от того, в компоновке какого типа в дальнейшем будет использован вентилятор.
Если не известно, в компоновке какого типа будет использован вентилятор, следует произвести измерения уровней звуковой мощности в различных компоновках (на входе, выходе и вокруг корпуса вентилятора).
Для вентиляторов с диаметрами рабочих колес, равными или более 800 мм, акустические характеристики допускается определять по испытаниям модельных вентиляторов или промышленных образцов вентиляторов данного типа меньших номеров [при условии геометрического подобия и автомодельных чисел Рейнольдса не менее [(0,25-0,3)·106], но не менее 5-го номера с последующим пересчетом по формулам:
;
(8)
.
(9)
Примечание - В формулах (8), (9) со штрихом обозначены параметры натурного вентилятора.
8.7 Вибрационные характеристики вентиляторов проверяют согласно ГОСТ 31351.
8.8 Показатели надежности проверяют в соответствии с технической документацией на конкретный тип вентиляторов.
8.9 Сопротивление между болтом заземления и каждой доступной прикосновению металлической нетоковедущей частью вентилятора проверяют до его подключения к источнику питания путем измерений с помощью измерительных приборов, обеспечивающих требуемую точность, при соблюдении требований безопасности по ГОСТ 12.3.019.
8.10 Лакокрасочные покрытия вентилятора проверяют:
- по внешнему виду - по ГОСТ 9.032;
- по толщине покрытия - средствами измерения, указанными в соответствующей технической документации.
8.11 Состояние комплектности, упаковки и маркировки контролируют визуально в соответствии с технической документацией на конкретный вентилятор.
9.1 Вентиляторы транспортируют любым видом транспорта в соответствии с правилами перевозки грузов, действующими на данном виде транспорта.
9.2 Вентиляторы следует транспортировать в условиях, исключающих их механическое повреждение.
9.3 Транспортирование по железной дороге проводят на платформах, в полувагонах и в вагонах.
9.4 При перевозке вентиляторов железнодорожным транспортом размещение и крепление грузов в ящичной упаковке, а также неупакованных грузов должно быть проведено в соответствии с техническими условиями погрузки и крепления грузов, принятыми в каждой стране.
9.5 В зависимости от размеров и массы вентиляторы могут транспортироваться в собранном или в разобранном виде.
9.6 Вентиляторы следует хранить в условиях, исключающих их механическое повреждение. Условия хранения вентиляторов должны обеспечивать их защиту от прямых атмосферных воздействий по ГОСТ 15150.
10.1 Требования по эксплуатации должны быть приведены в руководстве по эксплуатации на вентилятор.
10.2 Вентиляторы должны эксплуатироваться в климатических условиях, предусмотренных технической документацией, и на режимах, соответствующих рабочему участку по ГОСТ 10616 аэродинамической характеристики.
10.3 В условиях эксплуатации необходимо систематически проводить техническое обслуживание и планово-предупредительный ремонт вентиляторов в соответствии с порядком и сроками проведения этих работ, указанных в эксплуатационной документации.
10.4 Монтаж электрооборудования должен быть выполнен в соответствии с требованиями следующих документов: "Правила устройства электроустановок" (ПУЭ), "Заземление и защитные меры электробезопасности" и "Электродвигатели и их коммутационные аппараты", отдельно принятых в каждой стране.
10.5 Все подвижные выступающие части вентилятора должны быть ограждены.
10.6 Вентилятор и электродвигатель должны быть заземлены в соответствии с требованиями ГОСТ 12.2.007.0.
10.7 Значение сопротивления между заземляющим болтом (винтом, шпилькой) и каждой доступной прикосновению металлической токоведущей частью изделия, которая может оказаться под напряжением, не должно превышать 0,1 Ом по ГОСТ 12.2.007.0.
10.8 Вибрация, создаваемая вентилятором на рабочем месте, не должна превышать значений, установленных ГОСТ 12.1.012.
В случае превышения указанных значений конструкцией вентиляционных систем должны быть предусмотрены средства их снижения до значений, нормированных ГОСТ 12.1.012.
10.9 Уровни шума, создаваемые вентилятором на рабочем месте, не должны превышать значений, приведенных в ГОСТ 12.1.003. В случае превышения указанных значений конструкцией вентиляционных систем должны быть предусмотрены средства их снижения до значений, нормированных ГОСТ 12.1.003.
10.10 При монтаже воздуховодов к вентилятору следует избегать уступов против движения потока газа. Уступы, превышающие 1 % от диаметра, могут приводить к сильному ухудшению аэродинамической характеристики вентилятора.
11.1 Изготовитель должен гарантировать соответствие вентиляторов требованиям настоящего стандарта при соблюдении правил эксплуатации, транспортирования, хранения и монтажа.
11.2 Гарантийный срок эксплуатации вентиляторов не менее 18 мес со дня ввода их в эксплуатацию.
11.3 Гарантийная наработка установлена в технической документации на конкретный тип вентилятора, но не менее установленной наработки на отказ.
11.4 Гарантийный срок хранения без переконсервации - 1 год со дня изготовления вентилятора. Способы переконсервации установлены в технической документации на конкретный тип вентилятора.


