Утв. и введен в действие приказом Федерального агентства по техническому регулированию и метрологии от 10 октября 2019 г. N 953-ст
Национальный стандарт РФ ГОСТ Р 58594-2019
"ПОЧВЫ. МЕТОД ОПРЕДЕЛЕНИЯ ОБМЕННОЙ КИСЛОТНОСТИ"
Soils. Method for determination of exchangeable acidity
ОКС 13.080
Дата введения - 1 января 2020 г.
Введен впервые
Предисловие
1 Разработан Федеральным государственным бюджетным научным учреждением "Всероссийский научно-исследовательский институт агрохимии имени Д.Н. Прянишникова" (ФГБНУ "ВНИИ агрохимии")
2 Внесен Техническим комитетом по стандартизации ТК 025 "Качество почв, грунтов и органических удобрений"
3 Утвержден и введен в действие Приказом Федерального агентства по техническому регулированию и метрологии от 10 октября 2019 г. N 953-ст
4 Введен впервые
1 Область применения
Настоящий стандарт устанавливает метод определения обменной кислотности в почвах, вскрышных и вмещающих породах при проведении почвенного, агрохимического, мелиоративного обследования угодий, контроля за состоянием почв, а также при других изыскательных и исследовательских работах.
Суммарная относительная погрешность метода составляет 25 % при обменной кислотности до 0,1 моль в 100 г почвы, 10 % - св. 0,1 до 0,5 моль в 100 г почвы, 7,5 % - св. 0,5 моль в 100 г почвы.
2 Нормативные ссылки
В настоящем стандарте использованы нормативные ссылки на следующие межгосударственные стандарты:
ГОСТ 1770 (ИСО 1042-83, ИСО 4788-80) Посуда мерная лабораторная стеклянная. Цилиндры, мензурки, колбы, пробирки. Общие технические условия
ГОСТ 4328 Реактивы. Натрия гидроокись. Технические условия
ГОСТ 4919.1 Реактивы и особо чистые вещества. Методы приготовления растворов индикаторов в части приготовления фенолфталеина, индикатора
ГОСТ 6709 Вода дистиллированная. Технические условия
ГОСТ 12026 Бумага фильтровальная лабораторная. Технические условия
ГОСТ 16287 Электроды стеклянные промышленные для определения активности ионов водорода ГСП. Технические условия
ГОСТ 17792 Электрод сравнения хлорсеребряный насыщенный образцовый 2-го разряда
ГОСТ 25336 Посуда и оборудование лабораторные стеклянные. Типы, основные параметры и размеры
ГОСТ 25794.1 Реактивы. Методы приготовления титрованных растворов для кислотно-основного титрования
ГОСТ 26483 Почвы. Приготовление солевой вытяжки и определение ее рН по методу ЦИНАО
ГОСТ 27593 Почвы. Термины и определения
ГОСТ 29227 (ИСО 835-1-81) Посуда лабораторная стеклянная. Пипетки градуированные. Часть 1. Общие требования
ГОСТ 29251 (ИСО 385-1-84) Посуда лабораторная стеклянная. Бюретки. Часть 1. Общие требования
Примечание - При пользовании настоящим стандартом целесообразно проверить действие ссылочных стандартов в информационной системе общего пользования - на официальном сайте Федерального агентства по техническому регулированию и метрологии в сети Интернет или по ежегодному информационному указателю "Национальные стандарты", который опубликован по состоянию на 1 января текущего года, и по выпускам ежемесячного информационного указателя "Национальные стандарты" за текущий год. Если заменен ссылочный стандарт, на который дана недатированная ссылка, то рекомендуется использовать действующую версию этого стандарта с учетом всех внесенных в данную версию изменений. Если заменен ссылочный стандарт, на который дана датированная ссылка, то рекомендуется использовать версию этого стандарта с указанным выше годом утверждения (принятия). Если после утверждения настоящего стандарта в ссылочный стандарт, на который дана датированная ссылка, внесено изменение, затрагивающее положение, на которое дана ссылка, то это положение рекомендуется применять без учета данного изменения. Если ссылочный стандарт отменен без замены, то положение, в котором дана ссылка на него, рекомендуется применять в части, не затрагивающей эту ссылку.
3 Термины и определения
В настоящем стандарте применены термины и определения по ГОСТ 27593.
4 Сущность метода
Сущность метода определения обменной кислотности заключается в извлечении обменных ионов водорода и алюминия из почвы раствором хлористого калия концентрации 1 моль/дм3 при соотношении почвы и раствора 1:2,5 и последующем потенциометрическом титровании фильтрата гидроокисью натрия до рН 8,2.
5 Метод отбора проб
Отбор проб проводят по ГОСТ 26483.
6 Средства измерений, аппаратура, материалы и реактивы
6.1 Средства измерений
рН-метр или иономер с погрешностью измерения не более 0,1 рН.
Электрод стеклянный для определения активности ионов водорода по ГОСТ 16287.
Электрод сравнения хлорсеребряный насыщенный образцовый 2-го разряда по ГОСТ 17792 или аналогичный.
Дозаторы с погрешностью дозирования не более 1 % или пипетки по ГОСТ 29227 и бюретки 2-го класса точности по ГОСТ 29251.
6.2 Аппаратура
Блок автоматического титрования БАТ-15 или аналогичный.
Мешалка магнитная.
Стаканы химические вместимостью 100 см3 по ГОСТ 25336.
Посуда мерная лабораторная 2-го класса точности по ГОСТ 1770 (ИСО 1042-83, ИСО 4788-80).
6.3 Материалы и реактивы
Натрия гидроокись по ГОСТ 4328, х. ч. или ч. д. а.
Вода дистиллированная по ГОСТ 6709.
Бумага фильтровальная по ГОСТ 12026.
Фенолфталеин, индикатор по ГОСТ 4919.1, ч. д. а., раствор массовой концентрации 10 г/дм3.
7 Подготовка к проведению анализа
Приготовление раствора гидроокиси натрия концентрации 0,1 моль/дм3 (0,1 н) по ГОСТ 25794.1.
8 Проведение анализа
8.1 Приготовление вытяжки из почвы
Для анализа используют фильтры вытяжек, приготовленных по ГОСТ 26483.
8.2 Определение обменной кислотности
В химический стакан отбирают 25 см3 фильтрата вытяжки.
Стакан помещают на магнитную мешалку.
В раствор погружают электродную пару.
Бюретку заполняют раствором гидроокиси натрия концентрации 0,1 моль/дм3.
На блоке автоматического титрования устанавливают значение эквивалентной точки, равное 8,2 рН, и время выдержки, равное 30 с.
Включают блок автоматического титрования, магнитную мешалку и открывают кран бюретки.
По окончании титрования определяют расход гидроокиси натрия по бюретке.
Аналогично проводят титрование 25 см3 фильтрата холостого опыта.
Примечание - При отсутствии блока автоматического титрования анализируемые пробы титруют вручную, контролируя рН с помощью рН-метра или индикатора раствора фенолфталеина, до появления слабо-розовой окраски.
9 Обработка результатов
9.1 Обменную кислотность (X) в миллимолях в 100 г почвы вычисляют по формуле

,
где V - объем раствора гидроокиси натрия, израсходованный на титрование пробы вытяжки, см3;
V0 - объем раствора гидроокиси натрия, израсходованный на титрование пробы холостого опыта, см3;
V1 - объем пробы вытяжки, взятый для титрования, см3;
с - концентрация раствора гидроокиси натрия, ммоль/см3;
250 - коэффициент пересчета на 100 г почвы.
За результат анализа принимают значение единичного определения обменной кислотности.
Результат анализа выражают в миллимолях в 100 г почвы с округлением до второго десятичного знака.
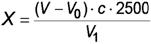
9.1.1 Обменную кислотность (X) в миллимолях в 1000 г почвы вычисляют по формуле

,
где V - объем раствора гидроокиси натрия, израсходованный на титрование пробы вытяжки, см3;
V0 - объем раствора гидроокиси натрия, израсходованный на титрование пробы холостого опыта, см3;
V1 - объем пробы вытяжки, взятый для титрования, см3;
с - концентрация раствора гидроокиси натрия, ммоль/см3;
2500 - коэффициент пересчета на 1000 г почвы, с округлением до второго десятичного знака.
9.2 Допускаемые относительные отклонения от среднего арифметического результатов повторных анализов при выборочном статистическом контроле при вероятности Р = 0,95 составляют 35 % при обменной кислотности до 0,1 ммоль в 100 г почвы, 15 % - св. 0,1 до 0,5 ммоль в 100 г почвы, 10 % - св. 0,5 ммоль в 100 г почвы.